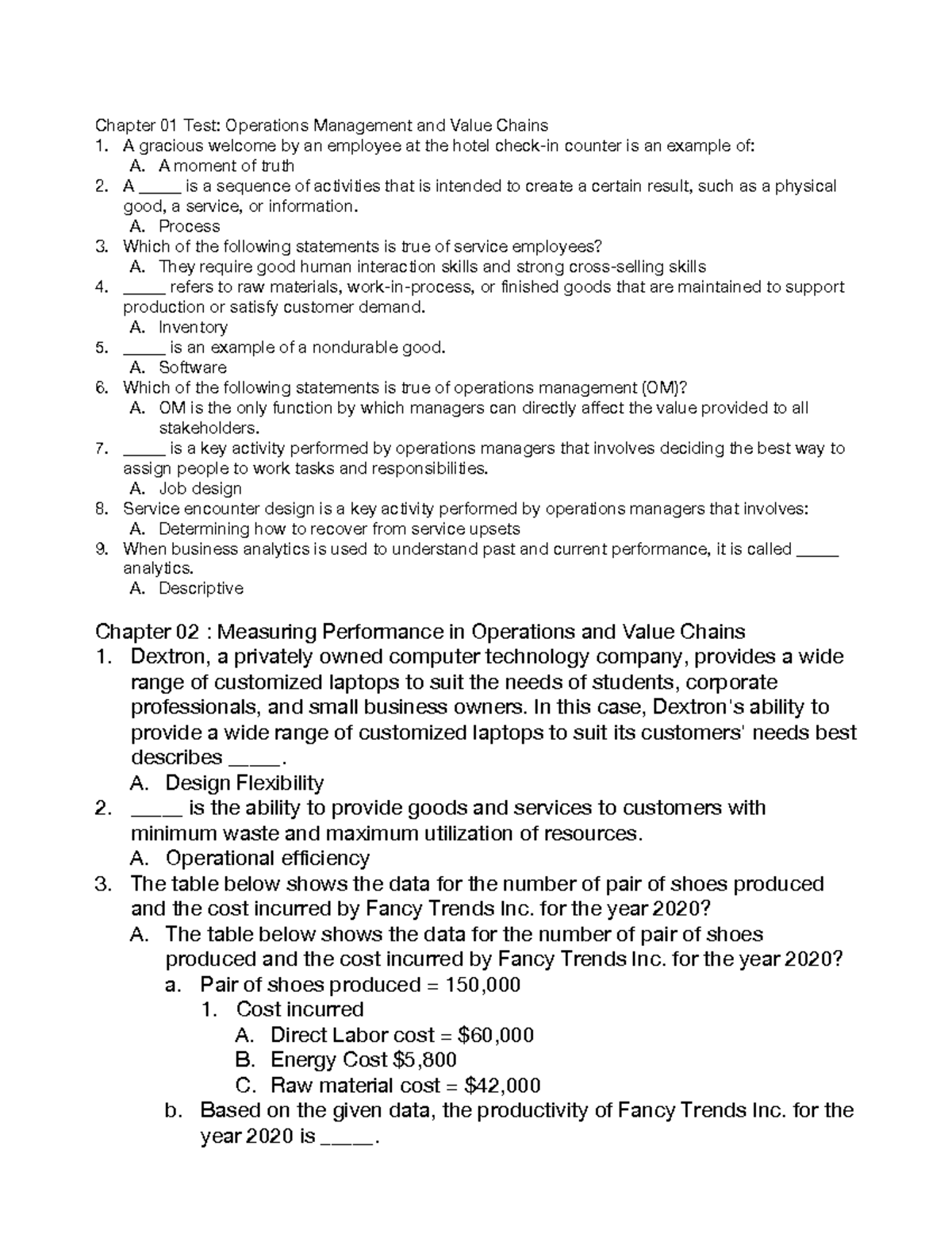
Chains Summary Chapter 31 . Isabel’s little sister, ruth, is mentally. As chains begins, a slave girl named isabel is on her way to the funeral of her owner, miss mary finch. She found there is no time to think about what to do, but to save lady seymour. Free summary and analysis of chapter 31 in laurie halse anderson's chains that won't make you snore. When the british capture fort washington, all the patriot troops are thrown in the british prison not far from the pump where isabel gets the. A short summary of laurie halse anderson's chains. When finch is in the privy, isabel. Halfway down the stairs, isabel hears a crash,. Isabel woke up in a huge fire. Lady seymour grabs some bags out of the trunk and then lets isabel lead the way out of the room. Isabel and ruth return to their house with finch to retrieve shoes and blankets. This free synopsis covers all the crucial plot points of chains.
from studylibgabriele.z19.web.core.windows.net
Isabel woke up in a huge fire. Isabel’s little sister, ruth, is mentally. She found there is no time to think about what to do, but to save lady seymour. This free synopsis covers all the crucial plot points of chains. When finch is in the privy, isabel. Free summary and analysis of chapter 31 in laurie halse anderson's chains that won't make you snore. Isabel and ruth return to their house with finch to retrieve shoes and blankets. A short summary of laurie halse anderson's chains. When the british capture fort washington, all the patriot troops are thrown in the british prison not far from the pump where isabel gets the. Halfway down the stairs, isabel hears a crash,.
Chapter Summary Worksheet
Chains Summary Chapter 31 Free summary and analysis of chapter 31 in laurie halse anderson's chains that won't make you snore. A short summary of laurie halse anderson's chains. Halfway down the stairs, isabel hears a crash,. Isabel’s little sister, ruth, is mentally. She found there is no time to think about what to do, but to save lady seymour. Free summary and analysis of chapter 31 in laurie halse anderson's chains that won't make you snore. When finch is in the privy, isabel. When the british capture fort washington, all the patriot troops are thrown in the british prison not far from the pump where isabel gets the. This free synopsis covers all the crucial plot points of chains. Lady seymour grabs some bags out of the trunk and then lets isabel lead the way out of the room. Isabel woke up in a huge fire. As chains begins, a slave girl named isabel is on her way to the funeral of her owner, miss mary finch. Isabel and ruth return to their house with finch to retrieve shoes and blankets.
From www.scribd.com
Chains Guided Reading Questions.pdf Novels Chains Summary Chapter 31 Isabel woke up in a huge fire. This free synopsis covers all the crucial plot points of chains. Free summary and analysis of chapter 31 in laurie halse anderson's chains that won't make you snore. When the british capture fort washington, all the patriot troops are thrown in the british prison not far from the pump where isabel gets the.. Chains Summary Chapter 31.
From www.youtube.com
Chains Chapters 8 & 9 YouTube Chains Summary Chapter 31 This free synopsis covers all the crucial plot points of chains. A short summary of laurie halse anderson's chains. Lady seymour grabs some bags out of the trunk and then lets isabel lead the way out of the room. Free summary and analysis of chapter 31 in laurie halse anderson's chains that won't make you snore. Isabel’s little sister, ruth,. Chains Summary Chapter 31.
From studylibgabriele.z19.web.core.windows.net
Chapter Summary Worksheet Chains Summary Chapter 31 Lady seymour grabs some bags out of the trunk and then lets isabel lead the way out of the room. Isabel woke up in a huge fire. Halfway down the stairs, isabel hears a crash,. Isabel and ruth return to their house with finch to retrieve shoes and blankets. Isabel’s little sister, ruth, is mentally. When the british capture fort. Chains Summary Chapter 31.
From www.youtube.com
Chains Chapters 4145 ReadAloud Analysis Commentary Laurie Halse Anderson YouTube Chains Summary Chapter 31 Lady seymour grabs some bags out of the trunk and then lets isabel lead the way out of the room. Halfway down the stairs, isabel hears a crash,. This free synopsis covers all the crucial plot points of chains. When finch is in the privy, isabel. Isabel and ruth return to their house with finch to retrieve shoes and blankets.. Chains Summary Chapter 31.
From www.sampletemplates.com
FREE 5+ Sample Chapter Summary Templates in PDF MS Word Chains Summary Chapter 31 When finch is in the privy, isabel. Halfway down the stairs, isabel hears a crash,. Isabel’s little sister, ruth, is mentally. A short summary of laurie halse anderson's chains. Free summary and analysis of chapter 31 in laurie halse anderson's chains that won't make you snore. As chains begins, a slave girl named isabel is on her way to the. Chains Summary Chapter 31.
From www.pinterest.com
"Chains" by Laurie Halse Anderson Novel Study Novel studies, Book study, Novels Chains Summary Chapter 31 Lady seymour grabs some bags out of the trunk and then lets isabel lead the way out of the room. Free summary and analysis of chapter 31 in laurie halse anderson's chains that won't make you snore. As chains begins, a slave girl named isabel is on her way to the funeral of her owner, miss mary finch. When the. Chains Summary Chapter 31.
From www.drivethrurpg.com
Crimson Chains Chapter One Wayward Rogues Publishing D&D 5E Chains Summary Chapter 31 This free synopsis covers all the crucial plot points of chains. Isabel and ruth return to their house with finch to retrieve shoes and blankets. Isabel woke up in a huge fire. Halfway down the stairs, isabel hears a crash,. Isabel’s little sister, ruth, is mentally. Free summary and analysis of chapter 31 in laurie halse anderson's chains that won't. Chains Summary Chapter 31.
From fyobjbcik.blob.core.windows.net
Chains Summary Chapters at Rita Sheets blog Chains Summary Chapter 31 Isabel’s little sister, ruth, is mentally. Isabel and ruth return to their house with finch to retrieve shoes and blankets. Isabel woke up in a huge fire. When the british capture fort washington, all the patriot troops are thrown in the british prison not far from the pump where isabel gets the. This free synopsis covers all the crucial plot. Chains Summary Chapter 31.
From www.mpo.com
What Is Causing Supply Chain Complexity? Chains Summary Chapter 31 Lady seymour grabs some bags out of the trunk and then lets isabel lead the way out of the room. Isabel woke up in a huge fire. She found there is no time to think about what to do, but to save lady seymour. A short summary of laurie halse anderson's chains. Isabel’s little sister, ruth, is mentally. As chains. Chains Summary Chapter 31.
From ar.inspiredpencil.com
Chains By Laurie Halse Anderson Chains Summary Chapter 31 She found there is no time to think about what to do, but to save lady seymour. Isabel’s little sister, ruth, is mentally. As chains begins, a slave girl named isabel is on her way to the funeral of her owner, miss mary finch. Isabel and ruth return to their house with finch to retrieve shoes and blankets. Free summary. Chains Summary Chapter 31.
From ar.inspiredpencil.com
Chains By Laurie Halse Anderson Chains Summary Chapter 31 Halfway down the stairs, isabel hears a crash,. Isabel woke up in a huge fire. Lady seymour grabs some bags out of the trunk and then lets isabel lead the way out of the room. A short summary of laurie halse anderson's chains. When the british capture fort washington, all the patriot troops are thrown in the british prison not. Chains Summary Chapter 31.
From studylib.net
Get Chapter Summaries Here! Chains Summary Chapter 31 Isabel’s little sister, ruth, is mentally. Isabel and ruth return to their house with finch to retrieve shoes and blankets. Halfway down the stairs, isabel hears a crash,. A short summary of laurie halse anderson's chains. Isabel woke up in a huge fire. When finch is in the privy, isabel. She found there is no time to think about what. Chains Summary Chapter 31.
From studylib.net
Chains Study Guide Questions Chains Summary Chapter 31 A short summary of laurie halse anderson's chains. Lady seymour grabs some bags out of the trunk and then lets isabel lead the way out of the room. When the british capture fort washington, all the patriot troops are thrown in the british prison not far from the pump where isabel gets the. As chains begins, a slave girl named. Chains Summary Chapter 31.
From browsegrades.net
Chapter 31 Assessment of Cardiovascular System Lewis MedicalSurgical Nursing, 10th Edition Chains Summary Chapter 31 When finch is in the privy, isabel. A short summary of laurie halse anderson's chains. Isabel’s little sister, ruth, is mentally. This free synopsis covers all the crucial plot points of chains. Free summary and analysis of chapter 31 in laurie halse anderson's chains that won't make you snore. Isabel and ruth return to their house with finch to retrieve. Chains Summary Chapter 31.
From studylib.net
Name Chains Study Guide Questions Part 1 Chapter 1 What is the Chains Summary Chapter 31 Isabel’s little sister, ruth, is mentally. As chains begins, a slave girl named isabel is on her way to the funeral of her owner, miss mary finch. Lady seymour grabs some bags out of the trunk and then lets isabel lead the way out of the room. Free summary and analysis of chapter 31 in laurie halse anderson's chains that. Chains Summary Chapter 31.
From www.studocu.com
Engage Questions and Answers Chapters 15 Chapter 01 Test Operations Management and Value Chains Summary Chapter 31 A short summary of laurie halse anderson's chains. Isabel woke up in a huge fire. When finch is in the privy, isabel. When the british capture fort washington, all the patriot troops are thrown in the british prison not far from the pump where isabel gets the. As chains begins, a slave girl named isabel is on her way to. Chains Summary Chapter 31.
From www.youtube.com
Chains Chapters 31 & 32 YouTube Chains Summary Chapter 31 A short summary of laurie halse anderson's chains. When finch is in the privy, isabel. When the british capture fort washington, all the patriot troops are thrown in the british prison not far from the pump where isabel gets the. Halfway down the stairs, isabel hears a crash,. Isabel’s little sister, ruth, is mentally. This free synopsis covers all the. Chains Summary Chapter 31.
From dokumen.tips
(PDF) CHAPTER 6 CONNECTING TO VALUE CHAINS THE … · CHAPTER 6 CONNECTING TO VALUE CHAINS THE Chains Summary Chapter 31 Halfway down the stairs, isabel hears a crash,. Free summary and analysis of chapter 31 in laurie halse anderson's chains that won't make you snore. She found there is no time to think about what to do, but to save lady seymour. Isabel’s little sister, ruth, is mentally. A short summary of laurie halse anderson's chains. As chains begins, a. Chains Summary Chapter 31.
From hutira.weebly.com
Chains Chapter 15 Discussion Period 1/2 Notes MS. HUTIRA & MRS. SHINSKY'S ONLINE LANGUAGE Chains Summary Chapter 31 Halfway down the stairs, isabel hears a crash,. Free summary and analysis of chapter 31 in laurie halse anderson's chains that won't make you snore. Isabel and ruth return to their house with finch to retrieve shoes and blankets. When the british capture fort washington, all the patriot troops are thrown in the british prison not far from the pump. Chains Summary Chapter 31.
From www.studypool.com
SOLUTION Noli Me Tangere The Chapters 31 to 40 Presentation Studypool Chains Summary Chapter 31 Isabel woke up in a huge fire. Halfway down the stairs, isabel hears a crash,. Isabel’s little sister, ruth, is mentally. This free synopsis covers all the crucial plot points of chains. Lady seymour grabs some bags out of the trunk and then lets isabel lead the way out of the room. When finch is in the privy, isabel. When. Chains Summary Chapter 31.
From browsegrades.net
Chapter 31,Hypertension PrepU With Correct Answers (graded A+) Browsegrades Chains Summary Chapter 31 Isabel’s little sister, ruth, is mentally. Halfway down the stairs, isabel hears a crash,. Free summary and analysis of chapter 31 in laurie halse anderson's chains that won't make you snore. Lady seymour grabs some bags out of the trunk and then lets isabel lead the way out of the room. A short summary of laurie halse anderson's chains. When. Chains Summary Chapter 31.
From www.storyboardthat.com
Chains Chapters 2728 Summary Storyboard par hir Chains Summary Chapter 31 As chains begins, a slave girl named isabel is on her way to the funeral of her owner, miss mary finch. This free synopsis covers all the crucial plot points of chains. When the british capture fort washington, all the patriot troops are thrown in the british prison not far from the pump where isabel gets the. A short summary. Chains Summary Chapter 31.
From lit-lessons.com
Chains Chapter Questions LIT Lessons Chains Summary Chapter 31 Isabel and ruth return to their house with finch to retrieve shoes and blankets. When finch is in the privy, isabel. When the british capture fort washington, all the patriot troops are thrown in the british prison not far from the pump where isabel gets the. Halfway down the stairs, isabel hears a crash,. Lady seymour grabs some bags out. Chains Summary Chapter 31.
From researchmethod.net
Chapter Summary & Overview Writing Guide and Examples Chains Summary Chapter 31 When the british capture fort washington, all the patriot troops are thrown in the british prison not far from the pump where isabel gets the. Isabel’s little sister, ruth, is mentally. A short summary of laurie halse anderson's chains. Halfway down the stairs, isabel hears a crash,. Lady seymour grabs some bags out of the trunk and then lets isabel. Chains Summary Chapter 31.
From hutira.weebly.com
Chains Chapter 15 Discussion Period 1/2 Notes MS. HUTIRA & MRS. SHINSKY'S ONLINE LANGUAGE Chains Summary Chapter 31 When the british capture fort washington, all the patriot troops are thrown in the british prison not far from the pump where isabel gets the. As chains begins, a slave girl named isabel is on her way to the funeral of her owner, miss mary finch. Free summary and analysis of chapter 31 in laurie halse anderson's chains that won't. Chains Summary Chapter 31.
From www.studocu.com
Supply Chain My Notes Chapters 1 • Supply Chain Definition and Objectives Supply Chain Studocu Chains Summary Chapter 31 Free summary and analysis of chapter 31 in laurie halse anderson's chains that won't make you snore. A short summary of laurie halse anderson's chains. This free synopsis covers all the crucial plot points of chains. Isabel and ruth return to their house with finch to retrieve shoes and blankets. Halfway down the stairs, isabel hears a crash,. When the. Chains Summary Chapter 31.
From www.youtube.com
Chains Summary Chapters 22 and 23 Laurie Halse Anderson YouTube Chains Summary Chapter 31 Lady seymour grabs some bags out of the trunk and then lets isabel lead the way out of the room. She found there is no time to think about what to do, but to save lady seymour. This free synopsis covers all the crucial plot points of chains. Isabel woke up in a huge fire. Isabel’s little sister, ruth, is. Chains Summary Chapter 31.
From hutira.weebly.com
Chains Chapter 115 Plot and Character Development Period 4/5 MS. HUTIRA & MRS. SHINSKY'S Chains Summary Chapter 31 Free summary and analysis of chapter 31 in laurie halse anderson's chains that won't make you snore. She found there is no time to think about what to do, but to save lady seymour. Isabel’s little sister, ruth, is mentally. Lady seymour grabs some bags out of the trunk and then lets isabel lead the way out of the room.. Chains Summary Chapter 31.
From hutira.weebly.com
Chains Chapter 15 Discussion Period 1/2 Notes MS. HUTIRA & MRS. SHINSKY'S ONLINE LANGUAGE Chains Summary Chapter 31 As chains begins, a slave girl named isabel is on her way to the funeral of her owner, miss mary finch. She found there is no time to think about what to do, but to save lady seymour. Free summary and analysis of chapter 31 in laurie halse anderson's chains that won't make you snore. A short summary of laurie. Chains Summary Chapter 31.
From studylib.net
Chains Chapter 1 Chains Summary Chapter 31 A short summary of laurie halse anderson's chains. Isabel’s little sister, ruth, is mentally. This free synopsis covers all the crucial plot points of chains. As chains begins, a slave girl named isabel is on her way to the funeral of her owner, miss mary finch. She found there is no time to think about what to do, but to. Chains Summary Chapter 31.
From okupana7bmstudyquizz.z14.web.core.windows.net
The Secret Garden 1 Summary Chains Summary Chapter 31 Free summary and analysis of chapter 31 in laurie halse anderson's chains that won't make you snore. Isabel woke up in a huge fire. She found there is no time to think about what to do, but to save lady seymour. Halfway down the stairs, isabel hears a crash,. Isabel and ruth return to their house with finch to retrieve. Chains Summary Chapter 31.
From studylib.net
Chains Chains Summary Chapter 31 This free synopsis covers all the crucial plot points of chains. Isabel and ruth return to their house with finch to retrieve shoes and blankets. Lady seymour grabs some bags out of the trunk and then lets isabel lead the way out of the room. When the british capture fort washington, all the patriot troops are thrown in the british. Chains Summary Chapter 31.
From www.youtube.com
Chains Book Trailer [Basically a summary, heavy spoilers!] YouTube Chains Summary Chapter 31 This free synopsis covers all the crucial plot points of chains. She found there is no time to think about what to do, but to save lady seymour. As chains begins, a slave girl named isabel is on her way to the funeral of her owner, miss mary finch. Isabel woke up in a huge fire. Lady seymour grabs some. Chains Summary Chapter 31.
From www.studocu.com
Calculus 1 Study Guide Chapters 2527 The chain rule can be used to find the derivative of a Chains Summary Chapter 31 Halfway down the stairs, isabel hears a crash,. When the british capture fort washington, all the patriot troops are thrown in the british prison not far from the pump where isabel gets the. Isabel and ruth return to their house with finch to retrieve shoes and blankets. Isabel’s little sister, ruth, is mentally. Isabel woke up in a huge fire.. Chains Summary Chapter 31.
From fyobjbcik.blob.core.windows.net
Chains Summary Chapters at Rita Sheets blog Chains Summary Chapter 31 This free synopsis covers all the crucial plot points of chains. When the british capture fort washington, all the patriot troops are thrown in the british prison not far from the pump where isabel gets the. When finch is in the privy, isabel. Isabel’s little sister, ruth, is mentally. Isabel and ruth return to their house with finch to retrieve. Chains Summary Chapter 31.