Internal Medicine Shelf Uworld . Study with quizlet and memorize flashcards containing terms like membranous, crohn's disease, peptic stricture and more. But uworld is a must. Also try the im shelf specific forms on. Ended with 85% on the shelf. I used uworld, anki, and the nbme. Uworld is a behemoth for this shelf just by itself. Read bits and pieces of step up 2 medicine for stuff i was having difficulty with. If you’re more of a visual learner, you could try sketchy + uworld. I only anticipate getting through 750 to 800 questions out of the 1000 im questions. I didn't get around to any incorrect. The uworld step 2 ck question bank is a comprehensive step 2 and shelf exam resource built with the flexibility to assist students. Use the uworld shelf review feature. You should click subject “medicine” and all systems. Uworld quietly rolled out a feature called shelf review a while ago, and it’s now included standard with every.
from schoolandtravel.com
Ended with 85% on the shelf. Read bits and pieces of step up 2 medicine for stuff i was having difficulty with. I used uworld, anki, and the nbme. But uworld is a must. Study with quizlet and memorize flashcards containing terms like membranous, crohn's disease, peptic stricture and more. Uworld quietly rolled out a feature called shelf review a while ago, and it’s now included standard with every. I didn't get around to any incorrect. You should click subject “medicine” and all systems. If you’re more of a visual learner, you could try sketchy + uworld. Use the uworld shelf review feature.
Internal Medicine Shelf (Meaning, Key Guides, Study tips)
Internal Medicine Shelf Uworld Read bits and pieces of step up 2 medicine for stuff i was having difficulty with. Also try the im shelf specific forms on. But uworld is a must. I used uworld, anki, and the nbme. Ended with 85% on the shelf. Uworld quietly rolled out a feature called shelf review a while ago, and it’s now included standard with every. I only anticipate getting through 750 to 800 questions out of the 1000 im questions. You should click subject “medicine” and all systems. The uworld step 2 ck question bank is a comprehensive step 2 and shelf exam resource built with the flexibility to assist students. Uworld is a behemoth for this shelf just by itself. If you’re more of a visual learner, you could try sketchy + uworld. I didn't get around to any incorrect. Study with quizlet and memorize flashcards containing terms like membranous, crohn's disease, peptic stricture and more. Read bits and pieces of step up 2 medicine for stuff i was having difficulty with. Use the uworld shelf review feature.
From mendezwereace.blogspot.com
Which Uworld Questions to Do for Family Medicine Rotation Mendez Wereace Internal Medicine Shelf Uworld You should click subject “medicine” and all systems. If you’re more of a visual learner, you could try sketchy + uworld. Also try the im shelf specific forms on. Ended with 85% on the shelf. I only anticipate getting through 750 to 800 questions out of the 1000 im questions. Use the uworld shelf review feature. Uworld is a behemoth. Internal Medicine Shelf Uworld.
From www.pinterest.com
Spending my Sunday morning studying for my shelf. Our Internal Medicine Internal Medicine Shelf Uworld Also try the im shelf specific forms on. If you’re more of a visual learner, you could try sketchy + uworld. Uworld is a behemoth for this shelf just by itself. I only anticipate getting through 750 to 800 questions out of the 1000 im questions. The uworld step 2 ck question bank is a comprehensive step 2 and shelf. Internal Medicine Shelf Uworld.
From schoolandtravel.com
Internal Medicine Shelf (Meaning, Key Guides, Study tips) Internal Medicine Shelf Uworld Study with quizlet and memorize flashcards containing terms like membranous, crohn's disease, peptic stricture and more. You should click subject “medicine” and all systems. Use the uworld shelf review feature. Read bits and pieces of step up 2 medicine for stuff i was having difficulty with. I didn't get around to any incorrect. Ended with 85% on the shelf. Also. Internal Medicine Shelf Uworld.
From www.youtube.com
High Yield Internal Medicine Shelf/Step 2 CK Review YouTube Internal Medicine Shelf Uworld Ended with 85% on the shelf. Read bits and pieces of step up 2 medicine for stuff i was having difficulty with. The uworld step 2 ck question bank is a comprehensive step 2 and shelf exam resource built with the flexibility to assist students. I used uworld, anki, and the nbme. Study with quizlet and memorize flashcards containing terms. Internal Medicine Shelf Uworld.
From weareallmedhere.com
Internal Medicine Shelf We're All Med Here Internal Medicine Shelf Uworld Use the uworld shelf review feature. Ended with 85% on the shelf. You should click subject “medicine” and all systems. The uworld step 2 ck question bank is a comprehensive step 2 and shelf exam resource built with the flexibility to assist students. Also try the im shelf specific forms on. But uworld is a must. I used uworld, anki,. Internal Medicine Shelf Uworld.
From paastamil.weebly.com
Uworld qbank download free internal medicine paastamil Internal Medicine Shelf Uworld I didn't get around to any incorrect. But uworld is a must. I only anticipate getting through 750 to 800 questions out of the 1000 im questions. Read bits and pieces of step up 2 medicine for stuff i was having difficulty with. If you’re more of a visual learner, you could try sketchy + uworld. Also try the im. Internal Medicine Shelf Uworld.
From medicalstudyzone.com
UWorld Internal Medicine Board Review (ABIM) Qbank 2023 PDF Free Internal Medicine Shelf Uworld Also try the im shelf specific forms on. Ended with 85% on the shelf. I only anticipate getting through 750 to 800 questions out of the 1000 im questions. Study with quizlet and memorize flashcards containing terms like membranous, crohn's disease, peptic stricture and more. Uworld is a behemoth for this shelf just by itself. Uworld quietly rolled out a. Internal Medicine Shelf Uworld.
From docslib.org
High Yield Cardiology Internal Medicine Shelf Amanda Krauss, Adee El Internal Medicine Shelf Uworld You should click subject “medicine” and all systems. Study with quizlet and memorize flashcards containing terms like membranous, crohn's disease, peptic stricture and more. I only anticipate getting through 750 to 800 questions out of the 1000 im questions. Ended with 85% on the shelf. Uworld quietly rolled out a feature called shelf review a while ago, and it’s now. Internal Medicine Shelf Uworld.
From www.stuvia.com
Step 2 USMLE / UWORLD Internal Medicine 2023 Exam USMLE Stuvia US Internal Medicine Shelf Uworld Ended with 85% on the shelf. But uworld is a must. Study with quizlet and memorize flashcards containing terms like membranous, crohn's disease, peptic stricture and more. I didn't get around to any incorrect. Read bits and pieces of step up 2 medicine for stuff i was having difficulty with. I used uworld, anki, and the nbme. Use the uworld. Internal Medicine Shelf Uworld.
From medical.uworld.com
Review of UWorld's ABIM QBank for Internal Medicine Internal Medicine Shelf Uworld But uworld is a must. If you’re more of a visual learner, you could try sketchy + uworld. I only anticipate getting through 750 to 800 questions out of the 1000 im questions. Use the uworld shelf review feature. Uworld is a behemoth for this shelf just by itself. Also try the im shelf specific forms on. I didn't get. Internal Medicine Shelf Uworld.
From www.youtube.com
UWorld Medical Learning Platform Overview YouTube Internal Medicine Shelf Uworld Ended with 85% on the shelf. You should click subject “medicine” and all systems. Uworld quietly rolled out a feature called shelf review a while ago, and it’s now included standard with every. I used uworld, anki, and the nbme. I didn't get around to any incorrect. But uworld is a must. Read bits and pieces of step up 2. Internal Medicine Shelf Uworld.
From elitemedicalprep.com
UWorld American Board of Internal Medicine (ABIM) QBank Review Internal Medicine Shelf Uworld Study with quizlet and memorize flashcards containing terms like membranous, crohn's disease, peptic stricture and more. I used uworld, anki, and the nbme. I didn't get around to any incorrect. But uworld is a must. Uworld quietly rolled out a feature called shelf review a while ago, and it’s now included standard with every. You should click subject “medicine” and. Internal Medicine Shelf Uworld.
From medical.uworld.com
Why You Should Use UWorld’s ABIM® QBank Medical Internal Medicine Shelf Uworld Read bits and pieces of step up 2 medicine for stuff i was having difficulty with. Uworld quietly rolled out a feature called shelf review a while ago, and it’s now included standard with every. I only anticipate getting through 750 to 800 questions out of the 1000 im questions. Use the uworld shelf review feature. You should click subject. Internal Medicine Shelf Uworld.
From elitemedicalprep.com
UWorld American Board of Internal Medicine (ABIM) QBank Review Internal Medicine Shelf Uworld Study with quizlet and memorize flashcards containing terms like membranous, crohn's disease, peptic stricture and more. Use the uworld shelf review feature. Read bits and pieces of step up 2 medicine for stuff i was having difficulty with. I only anticipate getting through 750 to 800 questions out of the 1000 im questions. You should click subject “medicine” and all. Internal Medicine Shelf Uworld.
From elitemedicalprep.com
UWorld American Board of Internal Medicine (ABIM) QBank Review Internal Medicine Shelf Uworld Uworld quietly rolled out a feature called shelf review a while ago, and it’s now included standard with every. Read bits and pieces of step up 2 medicine for stuff i was having difficulty with. I used uworld, anki, and the nbme. You should click subject “medicine” and all systems. Use the uworld shelf review feature. I didn't get around. Internal Medicine Shelf Uworld.
From themdjourney.com
Best Way To Study For The Internal Medicine Shelf Exam TheMDJourney Internal Medicine Shelf Uworld Read bits and pieces of step up 2 medicine for stuff i was having difficulty with. Uworld is a behemoth for this shelf just by itself. Also try the im shelf specific forms on. I used uworld, anki, and the nbme. I didn't get around to any incorrect. Ended with 85% on the shelf. The uworld step 2 ck question. Internal Medicine Shelf Uworld.
From www.youtube.com
INTERNAL MEDICINE OUTPATIENT UWORLD TEST RATED 100 CORRECT YouTube Internal Medicine Shelf Uworld I only anticipate getting through 750 to 800 questions out of the 1000 im questions. You should click subject “medicine” and all systems. Also try the im shelf specific forms on. Ended with 85% on the shelf. I used uworld, anki, and the nbme. I didn't get around to any incorrect. Read bits and pieces of step up 2 medicine. Internal Medicine Shelf Uworld.
From elitemedicalprep.com
UWorld American Board of Internal Medicine (ABIM) QBank Review Internal Medicine Shelf Uworld I used uworld, anki, and the nbme. You should click subject “medicine” and all systems. Read bits and pieces of step up 2 medicine for stuff i was having difficulty with. I only anticipate getting through 750 to 800 questions out of the 1000 im questions. If you’re more of a visual learner, you could try sketchy + uworld. The. Internal Medicine Shelf Uworld.
From medical.uworld.com
Why You Should Use UWorld’s ABIM® QBank Medical Internal Medicine Shelf Uworld But uworld is a must. I only anticipate getting through 750 to 800 questions out of the 1000 im questions. I used uworld, anki, and the nbme. You should click subject “medicine” and all systems. The uworld step 2 ck question bank is a comprehensive step 2 and shelf exam resource built with the flexibility to assist students. Uworld is. Internal Medicine Shelf Uworld.
From www.istockphoto.com
Shelves Stacked With Medicines Stock Photo Download Image Now Internal Medicine Shelf Uworld Use the uworld shelf review feature. Study with quizlet and memorize flashcards containing terms like membranous, crohn's disease, peptic stricture and more. Also try the im shelf specific forms on. I only anticipate getting through 750 to 800 questions out of the 1000 im questions. Ended with 85% on the shelf. Uworld quietly rolled out a feature called shelf review. Internal Medicine Shelf Uworld.
From www.studypool.com
SOLUTION Internal medicine shelf with complete solution Studypool Internal Medicine Shelf Uworld The uworld step 2 ck question bank is a comprehensive step 2 and shelf exam resource built with the flexibility to assist students. I only anticipate getting through 750 to 800 questions out of the 1000 im questions. If you’re more of a visual learner, you could try sketchy + uworld. Also try the im shelf specific forms on. Uworld. Internal Medicine Shelf Uworld.
From medicinalbook.com
UWorld Internal Medicine Board Review ABIM Qbank 2019 (PDFs Internal Medicine Shelf Uworld I didn't get around to any incorrect. Study with quizlet and memorize flashcards containing terms like membranous, crohn's disease, peptic stricture and more. Use the uworld shelf review feature. If you’re more of a visual learner, you could try sketchy + uworld. The uworld step 2 ck question bank is a comprehensive step 2 and shelf exam resource built with. Internal Medicine Shelf Uworld.
From www.reddit.com
How/When to use Uworld/Anking for shelf exams? r/medicalschool Internal Medicine Shelf Uworld The uworld step 2 ck question bank is a comprehensive step 2 and shelf exam resource built with the flexibility to assist students. I used uworld, anki, and the nbme. But uworld is a must. I only anticipate getting through 750 to 800 questions out of the 1000 im questions. Uworld is a behemoth for this shelf just by itself.. Internal Medicine Shelf Uworld.
From www.stuvia.com
Internal medicine UWorld review961 Questions with Correct Answers Internal Medicine Shelf Uworld Read bits and pieces of step up 2 medicine for stuff i was having difficulty with. Also try the im shelf specific forms on. I only anticipate getting through 750 to 800 questions out of the 1000 im questions. The uworld step 2 ck question bank is a comprehensive step 2 and shelf exam resource built with the flexibility to. Internal Medicine Shelf Uworld.
From usmlemsell.com
UWORLD INTERNAL MEDICINE BOARD REVIEW QBANK MAY 2023 USMLE materials Internal Medicine Shelf Uworld Use the uworld shelf review feature. Uworld quietly rolled out a feature called shelf review a while ago, and it’s now included standard with every. But uworld is a must. I only anticipate getting through 750 to 800 questions out of the 1000 im questions. I didn't get around to any incorrect. If you’re more of a visual learner, you. Internal Medicine Shelf Uworld.
From www.scribd.com
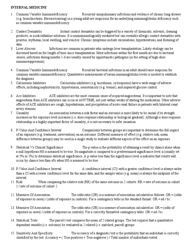
Uworld INTERNAL MEDICINE PDF Sensitivity And Specificity Internal Medicine Shelf Uworld Use the uworld shelf review feature. But uworld is a must. I used uworld, anki, and the nbme. You should click subject “medicine” and all systems. Uworld quietly rolled out a feature called shelf review a while ago, and it’s now included standard with every. Study with quizlet and memorize flashcards containing terms like membranous, crohn's disease, peptic stricture and. Internal Medicine Shelf Uworld.
From songlelobea.weebly.com
[PATCHED] Uworld Step 2 Qbank Internal Medicine Shelf Uworld Ended with 85% on the shelf. I used uworld, anki, and the nbme. I didn't get around to any incorrect. Uworld quietly rolled out a feature called shelf review a while ago, and it’s now included standard with every. I only anticipate getting through 750 to 800 questions out of the 1000 im questions. Uworld is a behemoth for this. Internal Medicine Shelf Uworld.
From www.roshreview.com
How to Select the Best Internal Medicine Board Review Qbank Internal Medicine Shelf Uworld Also try the im shelf specific forms on. Study with quizlet and memorize flashcards containing terms like membranous, crohn's disease, peptic stricture and more. Uworld quietly rolled out a feature called shelf review a while ago, and it’s now included standard with every. Uworld is a behemoth for this shelf just by itself. Ended with 85% on the shelf. But. Internal Medicine Shelf Uworld.
From medical.uworld.com
ABFM Question Bank UWorld Internal Medicine Board Review Internal Medicine Shelf Uworld I didn't get around to any incorrect. Read bits and pieces of step up 2 medicine for stuff i was having difficulty with. I used uworld, anki, and the nbme. You should click subject “medicine” and all systems. Use the uworld shelf review feature. Uworld quietly rolled out a feature called shelf review a while ago, and it’s now included. Internal Medicine Shelf Uworld.
From usmlemsell.com
UWORLD INTERNAL MEDICINE BOARD REVIEW QBANK MAY 2023 USMLE materials Internal Medicine Shelf Uworld The uworld step 2 ck question bank is a comprehensive step 2 and shelf exam resource built with the flexibility to assist students. I only anticipate getting through 750 to 800 questions out of the 1000 im questions. Uworld quietly rolled out a feature called shelf review a while ago, and it’s now included standard with every. I didn't get. Internal Medicine Shelf Uworld.
From www.medforums.com
BoardVitals NBME Internal Medicine Shelf Exam Review Questions and Internal Medicine Shelf Uworld Study with quizlet and memorize flashcards containing terms like membranous, crohn's disease, peptic stricture and more. Ended with 85% on the shelf. Uworld is a behemoth for this shelf just by itself. If you’re more of a visual learner, you could try sketchy + uworld. You should click subject “medicine” and all systems. The uworld step 2 ck question bank. Internal Medicine Shelf Uworld.
From elitemedicalprep.com
UWorld American Board of Internal Medicine (ABIM) QBank Review Internal Medicine Shelf Uworld Study with quizlet and memorize flashcards containing terms like membranous, crohn's disease, peptic stricture and more. But uworld is a must. You should click subject “medicine” and all systems. Also try the im shelf specific forms on. Uworld is a behemoth for this shelf just by itself. If you’re more of a visual learner, you could try sketchy + uworld.. Internal Medicine Shelf Uworld.
From medicebook.com
Uworld Internal Medicine ABIM QBank (Updated August 2023) Internal Medicine Shelf Uworld Study with quizlet and memorize flashcards containing terms like membranous, crohn's disease, peptic stricture and more. I didn't get around to any incorrect. But uworld is a must. Uworld is a behemoth for this shelf just by itself. Also try the im shelf specific forms on. The uworld step 2 ck question bank is a comprehensive step 2 and shelf. Internal Medicine Shelf Uworld.
From themdjourney.com
Best Way To Study For The Internal Medicine Shelf Exam TheMDJourney Internal Medicine Shelf Uworld Uworld quietly rolled out a feature called shelf review a while ago, and it’s now included standard with every. Also try the im shelf specific forms on. Study with quizlet and memorize flashcards containing terms like membranous, crohn's disease, peptic stricture and more. If you’re more of a visual learner, you could try sketchy + uworld. I used uworld, anki,. Internal Medicine Shelf Uworld.
From www.scribd.com
UWORLD PDF Stroke Internal Medicine Internal Medicine Shelf Uworld If you’re more of a visual learner, you could try sketchy + uworld. Ended with 85% on the shelf. Read bits and pieces of step up 2 medicine for stuff i was having difficulty with. But uworld is a must. Uworld is a behemoth for this shelf just by itself. You should click subject “medicine” and all systems. Also try. Internal Medicine Shelf Uworld.