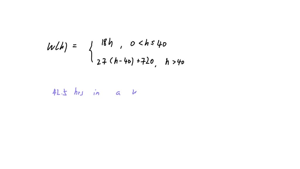
A Carpenter Charges $720 For 18 Hours Of Work . She charges the same amount of money for each hour of work. To do this, we can divide the total amount charged ($720) by the. 1 calculate the rate per hour by dividing the total charge by the total hours worked: A carpenter charges $720 for 18 hours of work. A carpenter charges for 18 hours=$720. She charges the same amount of money for each hour of work. 5 a carpenter charges $720 for 18 hours of work. This can be accomplished by dividing the total cost by the. First, we need to find out how much the carpenter charges per hour. To find the correct response, you'll need to determine the individual's hourly rate. 720 / 18 = 40 A carpenter charges for 18. We have to find the table which represents correct relationship between hours and charges.
from www.newspapers.com
A carpenter charges for 18. This can be accomplished by dividing the total cost by the. A carpenter charges $720 for 18 hours of work. 1 calculate the rate per hour by dividing the total charge by the total hours worked: She charges the same amount of money for each hour of work. We have to find the table which represents correct relationship between hours and charges. 720 / 18 = 40 A carpenter charges for 18 hours=$720. 5 a carpenter charges $720 for 18 hours of work. First, we need to find out how much the carpenter charges per hour.
Donald Carpenter Facing Charges
A Carpenter Charges $720 For 18 Hours Of Work This can be accomplished by dividing the total cost by the. This can be accomplished by dividing the total cost by the. A carpenter charges for 18. First, we need to find out how much the carpenter charges per hour. To do this, we can divide the total amount charged ($720) by the. 5 a carpenter charges $720 for 18 hours of work. She charges the same amount of money for each hour of work. 720 / 18 = 40 1 calculate the rate per hour by dividing the total charge by the total hours worked: To find the correct response, you'll need to determine the individual's hourly rate. A carpenter charges $720 for 18 hours of work. She charges the same amount of money for each hour of work. We have to find the table which represents correct relationship between hours and charges. A carpenter charges for 18 hours=$720.
From hxeqgwecc.blob.core.windows.net
What Do Carpenters Charge Per Day at Katharine Aquino blog A Carpenter Charges $720 For 18 Hours Of Work This can be accomplished by dividing the total cost by the. We have to find the table which represents correct relationship between hours and charges. A carpenter charges $720 for 18 hours of work. 720 / 18 = 40 To do this, we can divide the total amount charged ($720) by the. She charges the same amount of money for. A Carpenter Charges $720 For 18 Hours Of Work.
From www.chegg.com
Solved 1. A subcontractor hires a resource crew of three A Carpenter Charges $720 For 18 Hours Of Work To do this, we can divide the total amount charged ($720) by the. To find the correct response, you'll need to determine the individual's hourly rate. She charges the same amount of money for each hour of work. We have to find the table which represents correct relationship between hours and charges. First, we need to find out how much. A Carpenter Charges $720 For 18 Hours Of Work.
From www.gauthmath.com
Solved A carpenter charges 720 for 18 hours of work. She charges the same amount of money for A Carpenter Charges $720 For 18 Hours Of Work First, we need to find out how much the carpenter charges per hour. 1 calculate the rate per hour by dividing the total charge by the total hours worked: This can be accomplished by dividing the total cost by the. A carpenter charges for 18 hours=$720. 720 / 18 = 40 She charges the same amount of money for each. A Carpenter Charges $720 For 18 Hours Of Work.
From celebmafia.com
Charisma Carpenter 07/17/2023 • CelebMafia A Carpenter Charges $720 For 18 Hours Of Work 5 a carpenter charges $720 for 18 hours of work. 720 / 18 = 40 To find the correct response, you'll need to determine the individual's hourly rate. First, we need to find out how much the carpenter charges per hour. A carpenter charges for 18 hours=$720. A carpenter charges for 18. We have to find the table which represents. A Carpenter Charges $720 For 18 Hours Of Work.
From brainly.com
A carpenter charges a flat fee of 150 plus 45 per hour. Which table represents this situation A Carpenter Charges $720 For 18 Hours Of Work A carpenter charges for 18 hours=$720. She charges the same amount of money for each hour of work. She charges the same amount of money for each hour of work. To find the correct response, you'll need to determine the individual's hourly rate. To do this, we can divide the total amount charged ($720) by the. First, we need to. A Carpenter Charges $720 For 18 Hours Of Work.
From www.numerade.com
SOLVEDA carpenter charges 42 per hour for his time and 20 per hour for his apprentice's time A Carpenter Charges $720 For 18 Hours Of Work A carpenter charges $720 for 18 hours of work. A carpenter charges for 18. She charges the same amount of money for each hour of work. A carpenter charges for 18 hours=$720. We have to find the table which represents correct relationship between hours and charges. 1 calculate the rate per hour by dividing the total charge by the total. A Carpenter Charges $720 For 18 Hours Of Work.
From shuntool.com
The Cost Of Sharp Precision Carpenters And The Art Of Fair Pricing ShunTool A Carpenter Charges $720 For 18 Hours Of Work To find the correct response, you'll need to determine the individual's hourly rate. A carpenter charges $720 for 18 hours of work. She charges the same amount of money for each hour of work. She charges the same amount of money for each hour of work. 5 a carpenter charges $720 for 18 hours of work. 720 / 18 =. A Carpenter Charges $720 For 18 Hours Of Work.
From www.chegg.com
Solved 1. Carpenter Charlie charges 15 per hour plus a flat A Carpenter Charges $720 For 18 Hours Of Work 5 a carpenter charges $720 for 18 hours of work. She charges the same amount of money for each hour of work. A carpenter charges $720 for 18 hours of work. 720 / 18 = 40 This can be accomplished by dividing the total cost by the. A carpenter charges for 18 hours=$720. To find the correct response, you'll need. A Carpenter Charges $720 For 18 Hours Of Work.
From cameramath.com
The table shows how much a carpenter charges for w... CameraMath A Carpenter Charges $720 For 18 Hours Of Work 5 a carpenter charges $720 for 18 hours of work. A carpenter charges $720 for 18 hours of work. We have to find the table which represents correct relationship between hours and charges. A carpenter charges for 18 hours=$720. 1 calculate the rate per hour by dividing the total charge by the total hours worked: This can be accomplished by. A Carpenter Charges $720 For 18 Hours Of Work.
From thestartupboy.com
How Do You A Licensed Carpenter? A Carpenter Charges $720 For 18 Hours Of Work First, we need to find out how much the carpenter charges per hour. We have to find the table which represents correct relationship between hours and charges. This can be accomplished by dividing the total cost by the. A carpenter charges $720 for 18 hours of work. She charges the same amount of money for each hour of work. She. A Carpenter Charges $720 For 18 Hours Of Work.
From www.cracksbook.com
How Much Do Carpenters Charge For Labor Picture Of Carpenter A Carpenter Charges $720 For 18 Hours Of Work To do this, we can divide the total amount charged ($720) by the. 1 calculate the rate per hour by dividing the total charge by the total hours worked: 5 a carpenter charges $720 for 18 hours of work. 720 / 18 = 40 To find the correct response, you'll need to determine the individual's hourly rate. She charges the. A Carpenter Charges $720 For 18 Hours Of Work.
From www.checkatrade.com
Carpenter Near Me Find Your Local Expert Checkatrade A Carpenter Charges $720 For 18 Hours Of Work To find the correct response, you'll need to determine the individual's hourly rate. A carpenter charges for 18 hours=$720. 720 / 18 = 40 First, we need to find out how much the carpenter charges per hour. To do this, we can divide the total amount charged ($720) by the. We have to find the table which represents correct relationship. A Carpenter Charges $720 For 18 Hours Of Work.
From www.numerade.com
A carpenter charges 720 for 18 hours of work. She charges the same amount of money for each hour A Carpenter Charges $720 For 18 Hours Of Work We have to find the table which represents correct relationship between hours and charges. She charges the same amount of money for each hour of work. 720 / 18 = 40 A carpenter charges for 18. To do this, we can divide the total amount charged ($720) by the. She charges the same amount of money for each hour of. A Carpenter Charges $720 For 18 Hours Of Work.
From www.gauthmath.com
Solved A carpenter charges 720 for 18 hours of work. She charges the same amount of money for A Carpenter Charges $720 For 18 Hours Of Work 720 / 18 = 40 First, we need to find out how much the carpenter charges per hour. 5 a carpenter charges $720 for 18 hours of work. This can be accomplished by dividing the total cost by the. She charges the same amount of money for each hour of work. We have to find the table which represents correct. A Carpenter Charges $720 For 18 Hours Of Work.
From www.cracksbook.com
How Much Should Carpenters Charge Picture Of Carpenter A Carpenter Charges $720 For 18 Hours Of Work A carpenter charges for 18 hours=$720. This can be accomplished by dividing the total cost by the. She charges the same amount of money for each hour of work. She charges the same amount of money for each hour of work. 5 a carpenter charges $720 for 18 hours of work. To do this, we can divide the total amount. A Carpenter Charges $720 For 18 Hours Of Work.
From brainly.com
A carpenter charges 720 for 18 hours of work. She charges the same amount of money for each A Carpenter Charges $720 For 18 Hours Of Work A carpenter charges $720 for 18 hours of work. To do this, we can divide the total amount charged ($720) by the. To find the correct response, you'll need to determine the individual's hourly rate. 5 a carpenter charges $720 for 18 hours of work. A carpenter charges for 18 hours=$720. A carpenter charges for 18. This can be accomplished. A Carpenter Charges $720 For 18 Hours Of Work.
From www.teepublic.com
Carpenter Extra Charges Funny Sticker TeePublic A Carpenter Charges $720 For 18 Hours Of Work This can be accomplished by dividing the total cost by the. 5 a carpenter charges $720 for 18 hours of work. To find the correct response, you'll need to determine the individual's hourly rate. 1 calculate the rate per hour by dividing the total charge by the total hours worked: We have to find the table which represents correct relationship. A Carpenter Charges $720 For 18 Hours Of Work.
From www.slideserve.com
PPT The Anatomy of a Great Luton Handyman Charges PowerPoint Presentation ID11457282 A Carpenter Charges $720 For 18 Hours Of Work 5 a carpenter charges $720 for 18 hours of work. A carpenter charges for 18 hours=$720. This can be accomplished by dividing the total cost by the. A carpenter charges $720 for 18 hours of work. To do this, we can divide the total amount charged ($720) by the. To find the correct response, you'll need to determine the individual's. A Carpenter Charges $720 For 18 Hours Of Work.
From www.slideserve.com
PPT Translating Mixed Operations PowerPoint Presentation, free download ID2651230 A Carpenter Charges $720 For 18 Hours Of Work 5 a carpenter charges $720 for 18 hours of work. She charges the same amount of money for each hour of work. To find the correct response, you'll need to determine the individual's hourly rate. 1 calculate the rate per hour by dividing the total charge by the total hours worked: A carpenter charges $720 for 18 hours of work.. A Carpenter Charges $720 For 18 Hours Of Work.
From www.cracksbook.com
How Much Do Carpenters Charge Per Square Foot In India Picture Of Carpenter A Carpenter Charges $720 For 18 Hours Of Work To do this, we can divide the total amount charged ($720) by the. A carpenter charges $720 for 18 hours of work. First, we need to find out how much the carpenter charges per hour. She charges the same amount of money for each hour of work. She charges the same amount of money for each hour of work. A. A Carpenter Charges $720 For 18 Hours Of Work.
From www.coursehero.com
[Solved] Please assist. 19. The table shows how much a carpenter charges for... Course Hero A Carpenter Charges $720 For 18 Hours Of Work We have to find the table which represents correct relationship between hours and charges. She charges the same amount of money for each hour of work. A carpenter charges $720 for 18 hours of work. 5 a carpenter charges $720 for 18 hours of work. 720 / 18 = 40 This can be accomplished by dividing the total cost by. A Carpenter Charges $720 For 18 Hours Of Work.
From www.creativefabrica.com
Carpenter Extra Charges Graphic by Graphics BD · Creative Fabrica A Carpenter Charges $720 For 18 Hours Of Work To find the correct response, you'll need to determine the individual's hourly rate. A carpenter charges for 18 hours=$720. We have to find the table which represents correct relationship between hours and charges. She charges the same amount of money for each hour of work. This can be accomplished by dividing the total cost by the. 720 / 18 =. A Carpenter Charges $720 For 18 Hours Of Work.
From hammerheadcarpentry.com.au
Adelaide Carpenter Hammerhead Carpentry & Construction A Carpenter Charges $720 For 18 Hours Of Work 720 / 18 = 40 A carpenter charges for 18. To find the correct response, you'll need to determine the individual's hourly rate. To do this, we can divide the total amount charged ($720) by the. 1 calculate the rate per hour by dividing the total charge by the total hours worked: She charges the same amount of money for. A Carpenter Charges $720 For 18 Hours Of Work.
From brainly.com
5 A carpenter charges 720 for 18 hours of work. She charges the same amount of money foreach A Carpenter Charges $720 For 18 Hours Of Work To do this, we can divide the total amount charged ($720) by the. A carpenter charges for 18. 720 / 18 = 40 1 calculate the rate per hour by dividing the total charge by the total hours worked: She charges the same amount of money for each hour of work. A carpenter charges $720 for 18 hours of work.. A Carpenter Charges $720 For 18 Hours Of Work.
From www.fixr.com
Carpenter Cost per Hour Carpenter Hourly Rate Fixr A Carpenter Charges $720 For 18 Hours Of Work This can be accomplished by dividing the total cost by the. A carpenter charges $720 for 18 hours of work. 720 / 18 = 40 A carpenter charges for 18 hours=$720. To find the correct response, you'll need to determine the individual's hourly rate. 5 a carpenter charges $720 for 18 hours of work. A carpenter charges for 18. We. A Carpenter Charges $720 For 18 Hours Of Work.
From www.youtube.com
How much do carpenters charge?? YOUR FEEDBACK! (part 2) YouTube A Carpenter Charges $720 For 18 Hours Of Work She charges the same amount of money for each hour of work. 1 calculate the rate per hour by dividing the total charge by the total hours worked: To do this, we can divide the total amount charged ($720) by the. A carpenter charges $720 for 18 hours of work. To find the correct response, you'll need to determine the. A Carpenter Charges $720 For 18 Hours Of Work.
From brainly.ph
10. A carpenter charges P68.75 per hour and a painter charges P87.50 per hour. Bothworkers are A Carpenter Charges $720 For 18 Hours Of Work To find the correct response, you'll need to determine the individual's hourly rate. A carpenter charges for 18. A carpenter charges $720 for 18 hours of work. A carpenter charges for 18 hours=$720. 1 calculate the rate per hour by dividing the total charge by the total hours worked: She charges the same amount of money for each hour of. A Carpenter Charges $720 For 18 Hours Of Work.
From www.chegg.com
Solved 19. The table shows how much a carpenter charges for A Carpenter Charges $720 For 18 Hours Of Work A carpenter charges for 18. A carpenter charges for 18 hours=$720. This can be accomplished by dividing the total cost by the. First, we need to find out how much the carpenter charges per hour. We have to find the table which represents correct relationship between hours and charges. She charges the same amount of money for each hour of. A Carpenter Charges $720 For 18 Hours Of Work.
From www.wmix94.com
Jury convicts Christopher man of child sex assault, similar charges remain in neighboring county A Carpenter Charges $720 For 18 Hours Of Work A carpenter charges for 18 hours=$720. We have to find the table which represents correct relationship between hours and charges. 720 / 18 = 40 A carpenter charges $720 for 18 hours of work. A carpenter charges for 18. 5 a carpenter charges $720 for 18 hours of work. She charges the same amount of money for each hour of. A Carpenter Charges $720 For 18 Hours Of Work.
From www.slideserve.com
PPT SpringBoard Unit 2 PowerPoint Presentation, free download ID3162437 A Carpenter Charges $720 For 18 Hours Of Work A carpenter charges for 18. To find the correct response, you'll need to determine the individual's hourly rate. First, we need to find out how much the carpenter charges per hour. To do this, we can divide the total amount charged ($720) by the. She charges the same amount of money for each hour of work. 720 / 18 =. A Carpenter Charges $720 For 18 Hours Of Work.
From askfilo.com
8) A carpenter has a call out fee (basic charges) 1 point of ₹ 100 and al.. A Carpenter Charges $720 For 18 Hours Of Work A carpenter charges for 18. 1 calculate the rate per hour by dividing the total charge by the total hours worked: She charges the same amount of money for each hour of work. First, we need to find out how much the carpenter charges per hour. This can be accomplished by dividing the total cost by the. We have to. A Carpenter Charges $720 For 18 Hours Of Work.
From www.pinterest.com
Carpentry, T Shirt, Funny, Mens Tops, Supreme T Shirt, Woodworking, Tee Shirt, Funny Parenting A Carpenter Charges $720 For 18 Hours Of Work We have to find the table which represents correct relationship between hours and charges. She charges the same amount of money for each hour of work. A carpenter charges for 18. 5 a carpenter charges $720 for 18 hours of work. She charges the same amount of money for each hour of work. A carpenter charges $720 for 18 hours. A Carpenter Charges $720 For 18 Hours Of Work.
From www.newspapers.com
Donald Carpenter Facing Charges A Carpenter Charges $720 For 18 Hours Of Work 720 / 18 = 40 A carpenter charges for 18. First, we need to find out how much the carpenter charges per hour. She charges the same amount of money for each hour of work. To find the correct response, you'll need to determine the individual's hourly rate. We have to find the table which represents correct relationship between hours. A Carpenter Charges $720 For 18 Hours Of Work.
From www.redbubble.com
"Carpenter Extra Charges Funny Carpentry . Essential ." Sticker by hribarzjseag Redbubble A Carpenter Charges $720 For 18 Hours Of Work A carpenter charges for 18. A carpenter charges $720 for 18 hours of work. To do this, we can divide the total amount charged ($720) by the. 5 a carpenter charges $720 for 18 hours of work. A carpenter charges for 18 hours=$720. She charges the same amount of money for each hour of work. We have to find the. A Carpenter Charges $720 For 18 Hours Of Work.
From storables.com
9 Superior Carpentry Gloves For 2024 Storables A Carpenter Charges $720 For 18 Hours Of Work To find the correct response, you'll need to determine the individual's hourly rate. 5 a carpenter charges $720 for 18 hours of work. She charges the same amount of money for each hour of work. 720 / 18 = 40 A carpenter charges $720 for 18 hours of work. 1 calculate the rate per hour by dividing the total charge. A Carpenter Charges $720 For 18 Hours Of Work.