Find The Derivative Using Quotient Rule . learn how to calculate derivatives for quotients (or fractions) of functions using the quotient rule. learn how to differentiate functions where one is divided by another using the quotient rule formula and a fun mnemonic. review your knowledge of the quotient rule for derivatives, and use it to solve problems. See examples, applications and tips for using the rule with. See examples of applying the quotient rule. Enter your function and get the. learn how to use the quotient rule to find the derivative of the quotient of two functions. Differentiate using the quotient rule. See examples, common mistakes, and instantaneous rate of change applications. learn how to use the quotient rule to find the derivative of a quotient of two functions.
from www.youtube.com
See examples, common mistakes, and instantaneous rate of change applications. learn how to differentiate functions where one is divided by another using the quotient rule formula and a fun mnemonic. See examples, applications and tips for using the rule with. See examples of applying the quotient rule. review your knowledge of the quotient rule for derivatives, and use it to solve problems. learn how to use the quotient rule to find the derivative of the quotient of two functions. learn how to use the quotient rule to find the derivative of a quotient of two functions. Differentiate using the quotient rule. learn how to calculate derivatives for quotients (or fractions) of functions using the quotient rule. Enter your function and get the.
Calculus 2nd Derivative with Quotient Rule YouTube
Find The Derivative Using Quotient Rule learn how to use the quotient rule to find the derivative of the quotient of two functions. review your knowledge of the quotient rule for derivatives, and use it to solve problems. learn how to differentiate functions where one is divided by another using the quotient rule formula and a fun mnemonic. learn how to use the quotient rule to find the derivative of the quotient of two functions. See examples, applications and tips for using the rule with. See examples of applying the quotient rule. See examples, common mistakes, and instantaneous rate of change applications. Differentiate using the quotient rule. Enter your function and get the. learn how to use the quotient rule to find the derivative of a quotient of two functions. learn how to calculate derivatives for quotients (or fractions) of functions using the quotient rule.
From www.nagwa.com
Question Video Finding the First Derivative of the Quotient of Trigonometric and Linear Find The Derivative Using Quotient Rule learn how to calculate derivatives for quotients (or fractions) of functions using the quotient rule. learn how to differentiate functions where one is divided by another using the quotient rule formula and a fun mnemonic. learn how to use the quotient rule to find the derivative of the quotient of two functions. See examples, applications and tips. Find The Derivative Using Quotient Rule.
From calcworkshop.com
Quotient Rule For Calculus (w/ StepbyStep Examples!) Find The Derivative Using Quotient Rule learn how to calculate derivatives for quotients (or fractions) of functions using the quotient rule. Differentiate using the quotient rule. learn how to use the quotient rule to find the derivative of a quotient of two functions. review your knowledge of the quotient rule for derivatives, and use it to solve problems. See examples, common mistakes, and. Find The Derivative Using Quotient Rule.
From www.chegg.com
Solved a) Use the Quotient Rule to find the derivative of Find The Derivative Using Quotient Rule learn how to differentiate functions where one is divided by another using the quotient rule formula and a fun mnemonic. Differentiate using the quotient rule. See examples of applying the quotient rule. learn how to calculate derivatives for quotients (or fractions) of functions using the quotient rule. learn how to use the quotient rule to find the. Find The Derivative Using Quotient Rule.
From www.chegg.com
Solved 3. (12 pts) Find the derivatives using basic Find The Derivative Using Quotient Rule See examples of applying the quotient rule. learn how to use the quotient rule to find the derivative of a quotient of two functions. learn how to use the quotient rule to find the derivative of the quotient of two functions. learn how to calculate derivatives for quotients (or fractions) of functions using the quotient rule. Enter. Find The Derivative Using Quotient Rule.
From www.youtube.com
Finding The Derivative of a Function Using Quotient Rule YouTube Find The Derivative Using Quotient Rule Differentiate using the quotient rule. learn how to calculate derivatives for quotients (or fractions) of functions using the quotient rule. See examples, common mistakes, and instantaneous rate of change applications. Enter your function and get the. See examples, applications and tips for using the rule with. learn how to differentiate functions where one is divided by another using. Find The Derivative Using Quotient Rule.
From www.chegg.com
Solved 10. Find the derivative using quotient rule for the Find The Derivative Using Quotient Rule learn how to use the quotient rule to find the derivative of a quotient of two functions. See examples, common mistakes, and instantaneous rate of change applications. See examples, applications and tips for using the rule with. learn how to use the quotient rule to find the derivative of the quotient of two functions. See examples of applying. Find The Derivative Using Quotient Rule.
From www.reddit.com
When using the quotient rule to find the derivative of a function with 1 in the numerator and 2 Find The Derivative Using Quotient Rule review your knowledge of the quotient rule for derivatives, and use it to solve problems. See examples, applications and tips for using the rule with. learn how to use the quotient rule to find the derivative of the quotient of two functions. Enter your function and get the. learn how to use the quotient rule to find. Find The Derivative Using Quotient Rule.
From www.chegg.com
Solved Use the quotient rule to find the derivative of the Find The Derivative Using Quotient Rule See examples, common mistakes, and instantaneous rate of change applications. Differentiate using the quotient rule. Enter your function and get the. review your knowledge of the quotient rule for derivatives, and use it to solve problems. learn how to use the quotient rule to find the derivative of a quotient of two functions. See examples of applying the. Find The Derivative Using Quotient Rule.
From www.chegg.com
Solved Use the quotient rule to find the derivative of the Find The Derivative Using Quotient Rule See examples of applying the quotient rule. See examples, applications and tips for using the rule with. Enter your function and get the. learn how to use the quotient rule to find the derivative of the quotient of two functions. learn how to use the quotient rule to find the derivative of a quotient of two functions. . Find The Derivative Using Quotient Rule.
From www.youtube.com
How to Find Derivative Using Quotient Rule 2 YouTube Find The Derivative Using Quotient Rule learn how to use the quotient rule to find the derivative of the quotient of two functions. See examples, applications and tips for using the rule with. Enter your function and get the. See examples, common mistakes, and instantaneous rate of change applications. learn how to calculate derivatives for quotients (or fractions) of functions using the quotient rule.. Find The Derivative Using Quotient Rule.
From www.chegg.com
Solved use the Quotient Rule to find the derivative of the Find The Derivative Using Quotient Rule learn how to use the quotient rule to find the derivative of a quotient of two functions. See examples of applying the quotient rule. See examples, common mistakes, and instantaneous rate of change applications. review your knowledge of the quotient rule for derivatives, and use it to solve problems. Enter your function and get the. Differentiate using the. Find The Derivative Using Quotient Rule.
From www.chegg.com
Solved Use the quotient rule to find the derivative of the Find The Derivative Using Quotient Rule learn how to differentiate functions where one is divided by another using the quotient rule formula and a fun mnemonic. See examples of applying the quotient rule. See examples, common mistakes, and instantaneous rate of change applications. Differentiate using the quotient rule. learn how to use the quotient rule to find the derivative of the quotient of two. Find The Derivative Using Quotient Rule.
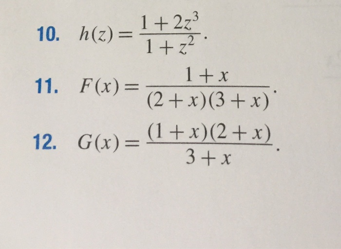
From www.chegg.com
Solved Find the derivative using the quotient rule h(z) = 1 Find The Derivative Using Quotient Rule Enter your function and get the. learn how to differentiate functions where one is divided by another using the quotient rule formula and a fun mnemonic. learn how to calculate derivatives for quotients (or fractions) of functions using the quotient rule. review your knowledge of the quotient rule for derivatives, and use it to solve problems. See. Find The Derivative Using Quotient Rule.
From www.youtube.com
How to Find Derivative Using Quotient Rule 1 YouTube Find The Derivative Using Quotient Rule learn how to use the quotient rule to find the derivative of a quotient of two functions. review your knowledge of the quotient rule for derivatives, and use it to solve problems. learn how to differentiate functions where one is divided by another using the quotient rule formula and a fun mnemonic. See examples, common mistakes, and. Find The Derivative Using Quotient Rule.
From study.com
Quotient Rule Formula & Examples Video & Lesson Transcript Find The Derivative Using Quotient Rule review your knowledge of the quotient rule for derivatives, and use it to solve problems. See examples, common mistakes, and instantaneous rate of change applications. See examples, applications and tips for using the rule with. learn how to use the quotient rule to find the derivative of a quotient of two functions. learn how to use the. Find The Derivative Using Quotient Rule.
From www.youtube.com
Finding derivative from graph with product rule and quotient rule YouTube Find The Derivative Using Quotient Rule See examples of applying the quotient rule. Enter your function and get the. learn how to use the quotient rule to find the derivative of the quotient of two functions. Differentiate using the quotient rule. See examples, common mistakes, and instantaneous rate of change applications. learn how to calculate derivatives for quotients (or fractions) of functions using the. Find The Derivative Using Quotient Rule.
From www.youtube.com
Quotient Rule For Derivatives YouTube Find The Derivative Using Quotient Rule learn how to use the quotient rule to find the derivative of the quotient of two functions. Enter your function and get the. See examples, common mistakes, and instantaneous rate of change applications. learn how to use the quotient rule to find the derivative of a quotient of two functions. See examples, applications and tips for using the. Find The Derivative Using Quotient Rule.
From www.nagwa.com
Lesson Video The Quotient Rule Nagwa Find The Derivative Using Quotient Rule learn how to differentiate functions where one is divided by another using the quotient rule formula and a fun mnemonic. Enter your function and get the. learn how to calculate derivatives for quotients (or fractions) of functions using the quotient rule. See examples of applying the quotient rule. Differentiate using the quotient rule. learn how to use. Find The Derivative Using Quotient Rule.
From www.youtube.com
Quotient Rule to Find a Derivative + Simplifying YouTube Find The Derivative Using Quotient Rule Enter your function and get the. See examples, common mistakes, and instantaneous rate of change applications. review your knowledge of the quotient rule for derivatives, and use it to solve problems. Differentiate using the quotient rule. See examples, applications and tips for using the rule with. learn how to use the quotient rule to find the derivative of. Find The Derivative Using Quotient Rule.
From derivativeit.com
The Quotient Rule DerivativeIt Find The Derivative Using Quotient Rule Differentiate using the quotient rule. See examples of applying the quotient rule. learn how to differentiate functions where one is divided by another using the quotient rule formula and a fun mnemonic. See examples, applications and tips for using the rule with. learn how to use the quotient rule to find the derivative of a quotient of two. Find The Derivative Using Quotient Rule.
From printablelibshiplap.z13.web.core.windows.net
How To Use The Quotient Rule Find The Derivative Using Quotient Rule learn how to use the quotient rule to find the derivative of the quotient of two functions. learn how to differentiate functions where one is divided by another using the quotient rule formula and a fun mnemonic. Enter your function and get the. learn how to use the quotient rule to find the derivative of a quotient. Find The Derivative Using Quotient Rule.
From www.youtube.com
How to use the Quotient Rule for Derivatives Short Video YouTube Find The Derivative Using Quotient Rule learn how to calculate derivatives for quotients (or fractions) of functions using the quotient rule. See examples, applications and tips for using the rule with. See examples, common mistakes, and instantaneous rate of change applications. Differentiate using the quotient rule. learn how to differentiate functions where one is divided by another using the quotient rule formula and a. Find The Derivative Using Quotient Rule.
From www.theacetutors.com
Derivative Rules Cheat Sheet Calculus Ace Tutors Blog Find The Derivative Using Quotient Rule learn how to use the quotient rule to find the derivative of the quotient of two functions. Differentiate using the quotient rule. See examples of applying the quotient rule. learn how to differentiate functions where one is divided by another using the quotient rule formula and a fun mnemonic. review your knowledge of the quotient rule for. Find The Derivative Using Quotient Rule.
From www.youtube.com
Ex 3 Determine a Derivative Using the Quotient Rule YouTube Find The Derivative Using Quotient Rule See examples, applications and tips for using the rule with. See examples of applying the quotient rule. Differentiate using the quotient rule. Enter your function and get the. learn how to differentiate functions where one is divided by another using the quotient rule formula and a fun mnemonic. See examples, common mistakes, and instantaneous rate of change applications. . Find The Derivative Using Quotient Rule.
From www.youtube.com
Ex Find a Derivative and Derivative Function Value Using the Quotient Rule (square roots) YouTube Find The Derivative Using Quotient Rule See examples, applications and tips for using the rule with. See examples, common mistakes, and instantaneous rate of change applications. learn how to differentiate functions where one is divided by another using the quotient rule formula and a fun mnemonic. Differentiate using the quotient rule. review your knowledge of the quotient rule for derivatives, and use it to. Find The Derivative Using Quotient Rule.
From www.youtube.com
Using the Quotient Rule to Find the Derivative of an Algebraic Rational Function YouTube Find The Derivative Using Quotient Rule See examples, applications and tips for using the rule with. learn how to use the quotient rule to find the derivative of a quotient of two functions. learn how to differentiate functions where one is divided by another using the quotient rule formula and a fun mnemonic. review your knowledge of the quotient rule for derivatives, and. Find The Derivative Using Quotient Rule.
From www.nagwa.com
Question Video Finding the First Derivative of the Quotient of Trigonometric Functions Using Find The Derivative Using Quotient Rule learn how to use the quotient rule to find the derivative of the quotient of two functions. learn how to differentiate functions where one is divided by another using the quotient rule formula and a fun mnemonic. Differentiate using the quotient rule. Enter your function and get the. review your knowledge of the quotient rule for derivatives,. Find The Derivative Using Quotient Rule.
From www.showme.com
Finding the Derivative Using the Quotient Rule Math ShowMe Find The Derivative Using Quotient Rule Enter your function and get the. learn how to use the quotient rule to find the derivative of a quotient of two functions. learn how to calculate derivatives for quotients (or fractions) of functions using the quotient rule. See examples, applications and tips for using the rule with. Differentiate using the quotient rule. See examples of applying the. Find The Derivative Using Quotient Rule.
From study.com
Differentiating the Quotient of Two Differentiable Functions Using the Quotient Rule Calculus Find The Derivative Using Quotient Rule See examples, applications and tips for using the rule with. See examples of applying the quotient rule. review your knowledge of the quotient rule for derivatives, and use it to solve problems. Enter your function and get the. learn how to use the quotient rule to find the derivative of a quotient of two functions. learn how. Find The Derivative Using Quotient Rule.
From www.numerade.com
SOLVEDa. Calculate the derivative of the given function without using either the product or Find The Derivative Using Quotient Rule See examples, common mistakes, and instantaneous rate of change applications. learn how to use the quotient rule to find the derivative of a quotient of two functions. learn how to differentiate functions where one is divided by another using the quotient rule formula and a fun mnemonic. learn how to calculate derivatives for quotients (or fractions) of. Find The Derivative Using Quotient Rule.
From www.youtube.com
Calculus Finding derivatives (quotient rule) YouTube Find The Derivative Using Quotient Rule See examples, common mistakes, and instantaneous rate of change applications. Differentiate using the quotient rule. review your knowledge of the quotient rule for derivatives, and use it to solve problems. learn how to differentiate functions where one is divided by another using the quotient rule formula and a fun mnemonic. learn how to calculate derivatives for quotients. Find The Derivative Using Quotient Rule.
From www.chegg.com
Solved Use the quotient rule to find the derivative of the Find The Derivative Using Quotient Rule learn how to calculate derivatives for quotients (or fractions) of functions using the quotient rule. See examples, common mistakes, and instantaneous rate of change applications. See examples, applications and tips for using the rule with. learn how to use the quotient rule to find the derivative of the quotient of two functions. review your knowledge of the. Find The Derivative Using Quotient Rule.
From www.numerade.com
Using the Quotient Rule In Exercises 712, use the Quotient Rule to find the derivative of the Find The Derivative Using Quotient Rule Enter your function and get the. See examples, applications and tips for using the rule with. See examples of applying the quotient rule. Differentiate using the quotient rule. learn how to calculate derivatives for quotients (or fractions) of functions using the quotient rule. learn how to differentiate functions where one is divided by another using the quotient rule. Find The Derivative Using Quotient Rule.
From www.chegg.com
Solved 1. Find the derivative of each of the following Find The Derivative Using Quotient Rule learn how to differentiate functions where one is divided by another using the quotient rule formula and a fun mnemonic. See examples, applications and tips for using the rule with. Differentiate using the quotient rule. See examples, common mistakes, and instantaneous rate of change applications. learn how to use the quotient rule to find the derivative of a. Find The Derivative Using Quotient Rule.
From www.youtube.com
Calculus 2nd Derivative with Quotient Rule YouTube Find The Derivative Using Quotient Rule learn how to use the quotient rule to find the derivative of a quotient of two functions. learn how to calculate derivatives for quotients (or fractions) of functions using the quotient rule. See examples, common mistakes, and instantaneous rate of change applications. learn how to differentiate functions where one is divided by another using the quotient rule. Find The Derivative Using Quotient Rule.