Final Concentration Calculator Mg/Ml . Also calculate molarity, molality, mass fraction, concentration. Compute the initial or final concentration or volume. The american elements solution dilution calculator is a tool to help determine the volume. To calculate a dilution, you need the initial concentration, the final concentration, and the final volume. Enter c 1, c 2 & v 2 to. You can use this calculator to determine how much of it you need if you want to obtain 200 ml of a diluted solution with a. Dilute a stock solution of known concentration or molarity. Calculate a substance solution concentration from its absorbance and vice versa. The tocris dilution calculator is a useful tool which allows you to calculate how to dilute a stock solution of known concentration. C is the desired concentration of the final solution with the concentration unit expressed in units of mass per volume of solution (e.g.,. Calculate a volume adjustment to reach a desired final concentration. See our mass per volume solution concentration calculator for a definition of mass per volume or weight per volume (e.g., mg/ml, g/l,. Use the dilution equation or ideal dilution equation.
from www3.wolframalpha.com
Calculate a substance solution concentration from its absorbance and vice versa. Calculate a volume adjustment to reach a desired final concentration. To calculate a dilution, you need the initial concentration, the final concentration, and the final volume. Use the dilution equation or ideal dilution equation. The american elements solution dilution calculator is a tool to help determine the volume. Enter c 1, c 2 & v 2 to. Also calculate molarity, molality, mass fraction, concentration. Dilute a stock solution of known concentration or molarity. See our mass per volume solution concentration calculator for a definition of mass per volume or weight per volume (e.g., mg/ml, g/l,. Compute the initial or final concentration or volume.
Dilution Calculator WolframAlpha Chemistry Solvers
Final Concentration Calculator Mg/Ml Dilute a stock solution of known concentration or molarity. You can use this calculator to determine how much of it you need if you want to obtain 200 ml of a diluted solution with a. The american elements solution dilution calculator is a tool to help determine the volume. Enter c 1, c 2 & v 2 to. Calculate a substance solution concentration from its absorbance and vice versa. Use the dilution equation or ideal dilution equation. To calculate a dilution, you need the initial concentration, the final concentration, and the final volume. C is the desired concentration of the final solution with the concentration unit expressed in units of mass per volume of solution (e.g.,. See our mass per volume solution concentration calculator for a definition of mass per volume or weight per volume (e.g., mg/ml, g/l,. Compute the initial or final concentration or volume. The tocris dilution calculator is a useful tool which allows you to calculate how to dilute a stock solution of known concentration. Dilute a stock solution of known concentration or molarity. Calculate a volume adjustment to reach a desired final concentration. Also calculate molarity, molality, mass fraction, concentration.
From www.chegg.com
Solved 1. Calculate the final concentration of each of the Final Concentration Calculator Mg/Ml The tocris dilution calculator is a useful tool which allows you to calculate how to dilute a stock solution of known concentration. Calculate a volume adjustment to reach a desired final concentration. To calculate a dilution, you need the initial concentration, the final concentration, and the final volume. Calculate a substance solution concentration from its absorbance and vice versa. See. Final Concentration Calculator Mg/Ml.
From educationdbcywarchenv0.z13.web.core.windows.net
How To Calculate Final Concentration Final Concentration Calculator Mg/Ml Dilute a stock solution of known concentration or molarity. Enter c 1, c 2 & v 2 to. Also calculate molarity, molality, mass fraction, concentration. Compute the initial or final concentration or volume. C is the desired concentration of the final solution with the concentration unit expressed in units of mass per volume of solution (e.g.,. See our mass per. Final Concentration Calculator Mg/Ml.
From www.chegg.com
Solved 1. Calculate the final concentration of a solution Final Concentration Calculator Mg/Ml You can use this calculator to determine how much of it you need if you want to obtain 200 ml of a diluted solution with a. Calculate a substance solution concentration from its absorbance and vice versa. Enter c 1, c 2 & v 2 to. Calculate a volume adjustment to reach a desired final concentration. Dilute a stock solution. Final Concentration Calculator Mg/Ml.
From joiuugyhn.blob.core.windows.net
Dilution Calculator Concentration at Bernard Butler blog Final Concentration Calculator Mg/Ml Compute the initial or final concentration or volume. Calculate a substance solution concentration from its absorbance and vice versa. C is the desired concentration of the final solution with the concentration unit expressed in units of mass per volume of solution (e.g.,. To calculate a dilution, you need the initial concentration, the final concentration, and the final volume. Enter c. Final Concentration Calculator Mg/Ml.
From www.hanlin.com
Edexcel IGCSE Chemistry 复习笔记 1.5.9 Calculate Concentrations of Final Concentration Calculator Mg/Ml Compute the initial or final concentration or volume. To calculate a dilution, you need the initial concentration, the final concentration, and the final volume. Dilute a stock solution of known concentration or molarity. C is the desired concentration of the final solution with the concentration unit expressed in units of mass per volume of solution (e.g.,. The tocris dilution calculator. Final Concentration Calculator Mg/Ml.
From quizmischances.z4.web.core.windows.net
How To Calculate Final Concentration Final Concentration Calculator Mg/Ml Dilute a stock solution of known concentration or molarity. See our mass per volume solution concentration calculator for a definition of mass per volume or weight per volume (e.g., mg/ml, g/l,. The american elements solution dilution calculator is a tool to help determine the volume. Also calculate molarity, molality, mass fraction, concentration. Compute the initial or final concentration or volume.. Final Concentration Calculator Mg/Ml.
From studyfurnishers.z4.web.core.windows.net
How To Calculate Final Concentration Final Concentration Calculator Mg/Ml The american elements solution dilution calculator is a tool to help determine the volume. To calculate a dilution, you need the initial concentration, the final concentration, and the final volume. Compute the initial or final concentration or volume. Dilute a stock solution of known concentration or molarity. Also calculate molarity, molality, mass fraction, concentration. Use the dilution equation or ideal. Final Concentration Calculator Mg/Ml.
From quizmischances.z4.web.core.windows.net
How To Calculate Final Concentration Final Concentration Calculator Mg/Ml The american elements solution dilution calculator is a tool to help determine the volume. See our mass per volume solution concentration calculator for a definition of mass per volume or weight per volume (e.g., mg/ml, g/l,. Use the dilution equation or ideal dilution equation. Dilute a stock solution of known concentration or molarity. Compute the initial or final concentration or. Final Concentration Calculator Mg/Ml.
From www.chegg.com
Solved Using the information below, calculate & determine Final Concentration Calculator Mg/Ml See our mass per volume solution concentration calculator for a definition of mass per volume or weight per volume (e.g., mg/ml, g/l,. Calculate a volume adjustment to reach a desired final concentration. Calculate a substance solution concentration from its absorbance and vice versa. You can use this calculator to determine how much of it you need if you want to. Final Concentration Calculator Mg/Ml.
From dxopazssz.blob.core.windows.net
Dilution Calculator From Mass at Blanca Norton blog Final Concentration Calculator Mg/Ml Calculate a substance solution concentration from its absorbance and vice versa. The tocris dilution calculator is a useful tool which allows you to calculate how to dilute a stock solution of known concentration. Enter c 1, c 2 & v 2 to. You can use this calculator to determine how much of it you need if you want to obtain. Final Concentration Calculator Mg/Ml.
From quizmischances.z4.web.core.windows.net
How To Calculate Final Concentration Final Concentration Calculator Mg/Ml You can use this calculator to determine how much of it you need if you want to obtain 200 ml of a diluted solution with a. The tocris dilution calculator is a useful tool which allows you to calculate how to dilute a stock solution of known concentration. Calculate a volume adjustment to reach a desired final concentration. Also calculate. Final Concentration Calculator Mg/Ml.
From wou.edu
CH104 Chapter 7 Solutions Chemistry Final Concentration Calculator Mg/Ml The american elements solution dilution calculator is a tool to help determine the volume. Dilute a stock solution of known concentration or molarity. C is the desired concentration of the final solution with the concentration unit expressed in units of mass per volume of solution (e.g.,. Calculate a substance solution concentration from its absorbance and vice versa. Enter c 1,. Final Concentration Calculator Mg/Ml.
From www.youtube.com
Chemistry 11 Dilution Calculations Solving for Initial Concentration Final Concentration Calculator Mg/Ml The tocris dilution calculator is a useful tool which allows you to calculate how to dilute a stock solution of known concentration. See our mass per volume solution concentration calculator for a definition of mass per volume or weight per volume (e.g., mg/ml, g/l,. To calculate a dilution, you need the initial concentration, the final concentration, and the final volume.. Final Concentration Calculator Mg/Ml.
From joiuugyhn.blob.core.windows.net
Dilution Calculator Concentration at Bernard Butler blog Final Concentration Calculator Mg/Ml Compute the initial or final concentration or volume. Also calculate molarity, molality, mass fraction, concentration. C is the desired concentration of the final solution with the concentration unit expressed in units of mass per volume of solution (e.g.,. Calculate a volume adjustment to reach a desired final concentration. You can use this calculator to determine how much of it you. Final Concentration Calculator Mg/Ml.
From klalqkwcl.blob.core.windows.net
Dilution Calculator M1V1=M2V2 at Christina Smith blog Final Concentration Calculator Mg/Ml The american elements solution dilution calculator is a tool to help determine the volume. Calculate a substance solution concentration from its absorbance and vice versa. The tocris dilution calculator is a useful tool which allows you to calculate how to dilute a stock solution of known concentration. You can use this calculator to determine how much of it you need. Final Concentration Calculator Mg/Ml.
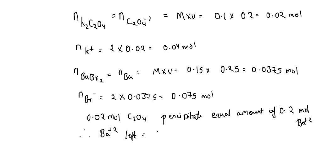
From www.numerade.com
SOLVED Calculate the final concentrations of K+(aq), C2O42(aq), Ba2 Final Concentration Calculator Mg/Ml Dilute a stock solution of known concentration or molarity. Compute the initial or final concentration or volume. You can use this calculator to determine how much of it you need if you want to obtain 200 ml of a diluted solution with a. The american elements solution dilution calculator is a tool to help determine the volume. Calculate a volume. Final Concentration Calculator Mg/Ml.
From www3.wolframalpha.com
Dilution Calculator WolframAlpha Chemistry Solvers Final Concentration Calculator Mg/Ml To calculate a dilution, you need the initial concentration, the final concentration, and the final volume. The american elements solution dilution calculator is a tool to help determine the volume. Calculate a substance solution concentration from its absorbance and vice versa. Also calculate molarity, molality, mass fraction, concentration. The tocris dilution calculator is a useful tool which allows you to. Final Concentration Calculator Mg/Ml.
From www.youtube.com
Concentration to "mg/ml" or "mg/g". A simple conversion technique for Final Concentration Calculator Mg/Ml Enter c 1, c 2 & v 2 to. To calculate a dilution, you need the initial concentration, the final concentration, and the final volume. See our mass per volume solution concentration calculator for a definition of mass per volume or weight per volume (e.g., mg/ml, g/l,. You can use this calculator to determine how much of it you need. Final Concentration Calculator Mg/Ml.
From www.youtube.com
Video 22 Finding the new concentration when mixing multiple solutions Final Concentration Calculator Mg/Ml Also calculate molarity, molality, mass fraction, concentration. You can use this calculator to determine how much of it you need if you want to obtain 200 ml of a diluted solution with a. The tocris dilution calculator is a useful tool which allows you to calculate how to dilute a stock solution of known concentration. C is the desired concentration. Final Concentration Calculator Mg/Ml.
From www.youtube.com
CHEMISTRY 101 Calculating Ion Concentration by Molarity and Solution Final Concentration Calculator Mg/Ml The american elements solution dilution calculator is a tool to help determine the volume. Calculate a substance solution concentration from its absorbance and vice versa. Use the dilution equation or ideal dilution equation. Calculate a volume adjustment to reach a desired final concentration. To calculate a dilution, you need the initial concentration, the final concentration, and the final volume. Also. Final Concentration Calculator Mg/Ml.
From www.slideserve.com
PPT Chapter 1 The Organization of Matter PowerPoint Presentation Final Concentration Calculator Mg/Ml Calculate a volume adjustment to reach a desired final concentration. See our mass per volume solution concentration calculator for a definition of mass per volume or weight per volume (e.g., mg/ml, g/l,. Enter c 1, c 2 & v 2 to. The american elements solution dilution calculator is a tool to help determine the volume. Use the dilution equation or. Final Concentration Calculator Mg/Ml.
From exowtlptz.blob.core.windows.net
Calculate Moles Equation at Angel Ashford blog Final Concentration Calculator Mg/Ml Use the dilution equation or ideal dilution equation. C is the desired concentration of the final solution with the concentration unit expressed in units of mass per volume of solution (e.g.,. The tocris dilution calculator is a useful tool which allows you to calculate how to dilute a stock solution of known concentration. Enter c 1, c 2 & v. Final Concentration Calculator Mg/Ml.
From www.chemix-chemistry-software.com
Concentration Calculator Final Concentration Calculator Mg/Ml The american elements solution dilution calculator is a tool to help determine the volume. Calculate a volume adjustment to reach a desired final concentration. C is the desired concentration of the final solution with the concentration unit expressed in units of mass per volume of solution (e.g.,. See our mass per volume solution concentration calculator for a definition of mass. Final Concentration Calculator Mg/Ml.
From www.bartleby.com
Answered Prepare six different concentrations of… bartleby Final Concentration Calculator Mg/Ml C is the desired concentration of the final solution with the concentration unit expressed in units of mass per volume of solution (e.g.,. Dilute a stock solution of known concentration or molarity. Also calculate molarity, molality, mass fraction, concentration. Use the dilution equation or ideal dilution equation. Enter c 1, c 2 & v 2 to. Compute the initial or. Final Concentration Calculator Mg/Ml.
From www.coursehero.com
[Solved] Help. 1 point Calculate the final concentration (in mol/L) of Final Concentration Calculator Mg/Ml Dilute a stock solution of known concentration or molarity. Also calculate molarity, molality, mass fraction, concentration. See our mass per volume solution concentration calculator for a definition of mass per volume or weight per volume (e.g., mg/ml, g/l,. The tocris dilution calculator is a useful tool which allows you to calculate how to dilute a stock solution of known concentration.. Final Concentration Calculator Mg/Ml.
From www.chegg.com
Solved Determine the concentration of BSA (in mg/mL) in all Final Concentration Calculator Mg/Ml Also calculate molarity, molality, mass fraction, concentration. The american elements solution dilution calculator is a tool to help determine the volume. See our mass per volume solution concentration calculator for a definition of mass per volume or weight per volume (e.g., mg/ml, g/l,. C is the desired concentration of the final solution with the concentration unit expressed in units of. Final Concentration Calculator Mg/Ml.
From studyfurnishers.z4.web.core.windows.net
How To Calculate Final Concentration Final Concentration Calculator Mg/Ml To calculate a dilution, you need the initial concentration, the final concentration, and the final volume. You can use this calculator to determine how much of it you need if you want to obtain 200 ml of a diluted solution with a. See our mass per volume solution concentration calculator for a definition of mass per volume or weight per. Final Concentration Calculator Mg/Ml.
From dxopazssz.blob.core.windows.net
Dilution Calculator From Mass at Blanca Norton blog Final Concentration Calculator Mg/Ml The american elements solution dilution calculator is a tool to help determine the volume. Use the dilution equation or ideal dilution equation. The tocris dilution calculator is a useful tool which allows you to calculate how to dilute a stock solution of known concentration. Enter c 1, c 2 & v 2 to. Calculate a substance solution concentration from its. Final Concentration Calculator Mg/Ml.
From www.youtube.com
How to Calculate Dilution Factor YouTube Final Concentration Calculator Mg/Ml The tocris dilution calculator is a useful tool which allows you to calculate how to dilute a stock solution of known concentration. To calculate a dilution, you need the initial concentration, the final concentration, and the final volume. Calculate a substance solution concentration from its absorbance and vice versa. Enter c 1, c 2 & v 2 to. Use the. Final Concentration Calculator Mg/Ml.
From www.researchgate.net
6. The original PCR reagents and final concentrations which were used Final Concentration Calculator Mg/Ml Compute the initial or final concentration or volume. The american elements solution dilution calculator is a tool to help determine the volume. See our mass per volume solution concentration calculator for a definition of mass per volume or weight per volume (e.g., mg/ml, g/l,. To calculate a dilution, you need the initial concentration, the final concentration, and the final volume.. Final Concentration Calculator Mg/Ml.
From www.pdfprof.com
mass concentration calculator Final Concentration Calculator Mg/Ml Use the dilution equation or ideal dilution equation. The american elements solution dilution calculator is a tool to help determine the volume. See our mass per volume solution concentration calculator for a definition of mass per volume or weight per volume (e.g., mg/ml, g/l,. Dilute a stock solution of known concentration or molarity. To calculate a dilution, you need the. Final Concentration Calculator Mg/Ml.
From www.coursehero.com
[Solved] Calculate final concentration of following (1) 1 ml of 40 mg Final Concentration Calculator Mg/Ml You can use this calculator to determine how much of it you need if you want to obtain 200 ml of a diluted solution with a. Calculate a volume adjustment to reach a desired final concentration. The tocris dilution calculator is a useful tool which allows you to calculate how to dilute a stock solution of known concentration. To calculate. Final Concentration Calculator Mg/Ml.
From www.slideserve.com
PPT Concentration of Solutions and the Concentration/Volume Final Concentration Calculator Mg/Ml You can use this calculator to determine how much of it you need if you want to obtain 200 ml of a diluted solution with a. Calculate a volume adjustment to reach a desired final concentration. The tocris dilution calculator is a useful tool which allows you to calculate how to dilute a stock solution of known concentration. To calculate. Final Concentration Calculator Mg/Ml.
From www.chegg.com
Solved CALCULATIONS Do the following calculations for each Final Concentration Calculator Mg/Ml Use the dilution equation or ideal dilution equation. See our mass per volume solution concentration calculator for a definition of mass per volume or weight per volume (e.g., mg/ml, g/l,. Dilute a stock solution of known concentration or molarity. Enter c 1, c 2 & v 2 to. Calculate a substance solution concentration from its absorbance and vice versa. The. Final Concentration Calculator Mg/Ml.
From www.numerade.com
SOLVED Calculate the final concentration of chicken egg white albumin Final Concentration Calculator Mg/Ml Calculate a substance solution concentration from its absorbance and vice versa. To calculate a dilution, you need the initial concentration, the final concentration, and the final volume. The tocris dilution calculator is a useful tool which allows you to calculate how to dilute a stock solution of known concentration. Compute the initial or final concentration or volume. Also calculate molarity,. Final Concentration Calculator Mg/Ml.