What Happens If You Violate Pretrial Diversion In Texas . There are a couple of downsides: You must enter a guilty plea as part of the program. Unlike probation or deferred adjudication, pretrial diversion does not require you to plead guilty to a judge. Pretrial diversion does not show up on a background check in texas. If you violate the terms of your pretrial diversion arrangement, the prosecutor can resume the case against you. A pretrial diversion program may be the best option for your case. Pretrial diversion in texas is basically an alternative to being convicted of a crime. The original criminal charges can be. However, this scenario doesn’t necessarily leave you “innocent” of a crime. The programs provide an alternative to incarceration,. If a participant fails to meet the requirements of the pretrial diversion program in texas, the consequences of alleged violation can be serious. It makes your record eligible for expungement. These programs, which are available in texas courts, allow accused. Texas’s pretrial diversion programs are available for misdemeanor, unindicted and indicted crimes. The texas criminal justice system offers pretrial diversion as a way for certain offenders to avoid prosecution, so long as they meet eligibility rules.
from www.lisastrausslaw.com
Pretrial diversion does not show up on a background check in texas. There are a couple of downsides: These programs, which are available in texas courts, allow accused. A pretrial diversion program may be the best option for your case. The texas criminal justice system offers pretrial diversion as a way for certain offenders to avoid prosecution, so long as they meet eligibility rules. Unlike probation or deferred adjudication, pretrial diversion does not require you to plead guilty to a judge. Texas’s pretrial diversion programs are available for misdemeanor, unindicted and indicted crimes. Pretrial diversion in texas is basically an alternative to being convicted of a crime. If you violate the terms of your pretrial diversion arrangement, the prosecutor can resume the case against you. The programs provide an alternative to incarceration,.
Learn The Difference Between Deferred Adjudication And Pretrial Diversion
What Happens If You Violate Pretrial Diversion In Texas It makes your record eligible for expungement. There are a couple of downsides: You must enter a guilty plea as part of the program. Texas’s pretrial diversion programs are available for misdemeanor, unindicted and indicted crimes. The original criminal charges can be. Unlike probation or deferred adjudication, pretrial diversion does not require you to plead guilty to a judge. If a participant fails to meet the requirements of the pretrial diversion program in texas, the consequences of alleged violation can be serious. If you violate the terms of your pretrial diversion arrangement, the prosecutor can resume the case against you. Pretrial diversion does not show up on a background check in texas. A pretrial diversion program may be the best option for your case. The programs provide an alternative to incarceration,. The texas criminal justice system offers pretrial diversion as a way for certain offenders to avoid prosecution, so long as they meet eligibility rules. However, this scenario doesn’t necessarily leave you “innocent” of a crime. It makes your record eligible for expungement. These programs, which are available in texas courts, allow accused. Pretrial diversion in texas is basically an alternative to being convicted of a crime.
From allcotutext.blogspot.com
How To Write A Pretrial Diversion Letter Allcot Text What Happens If You Violate Pretrial Diversion In Texas If a participant fails to meet the requirements of the pretrial diversion program in texas, the consequences of alleged violation can be serious. Pretrial diversion does not show up on a background check in texas. Pretrial diversion in texas is basically an alternative to being convicted of a crime. The texas criminal justice system offers pretrial diversion as a way. What Happens If You Violate Pretrial Diversion In Texas.
From texascriminaldefensegroup.com
Navigating the Innovative Texas Pretrial Diversion Program Texas What Happens If You Violate Pretrial Diversion In Texas Unlike probation or deferred adjudication, pretrial diversion does not require you to plead guilty to a judge. Texas’s pretrial diversion programs are available for misdemeanor, unindicted and indicted crimes. The original criminal charges can be. The programs provide an alternative to incarceration,. Pretrial diversion does not show up on a background check in texas. Pretrial diversion in texas is basically. What Happens If You Violate Pretrial Diversion In Texas.
From www.reaveslegal.com
What is PTIP or pretrial diversion? Law Office of Walter M. Reaves What Happens If You Violate Pretrial Diversion In Texas These programs, which are available in texas courts, allow accused. Pretrial diversion in texas is basically an alternative to being convicted of a crime. There are a couple of downsides: It makes your record eligible for expungement. A pretrial diversion program may be the best option for your case. If you violate the terms of your pretrial diversion arrangement, the. What Happens If You Violate Pretrial Diversion In Texas.
From traviscountycriminalattorney.com
DWI Pretrial Diversion in Texas Erskine Law What Happens If You Violate Pretrial Diversion In Texas Texas’s pretrial diversion programs are available for misdemeanor, unindicted and indicted crimes. Pretrial diversion does not show up on a background check in texas. The texas criminal justice system offers pretrial diversion as a way for certain offenders to avoid prosecution, so long as they meet eligibility rules. You must enter a guilty plea as part of the program. Unlike. What Happens If You Violate Pretrial Diversion In Texas.
From www.txcrimdefense.com
pretrial diversion texas The Law Office of Greg Tsioros What Happens If You Violate Pretrial Diversion In Texas These programs, which are available in texas courts, allow accused. Unlike probation or deferred adjudication, pretrial diversion does not require you to plead guilty to a judge. If a participant fails to meet the requirements of the pretrial diversion program in texas, the consequences of alleged violation can be serious. There are a couple of downsides: However, this scenario doesn’t. What Happens If You Violate Pretrial Diversion In Texas.
From ghctexas.com
Pretrial Diversion Texas Second Chance at Justice GHC Law Firm What Happens If You Violate Pretrial Diversion In Texas Pretrial diversion does not show up on a background check in texas. The programs provide an alternative to incarceration,. The original criminal charges can be. If a participant fails to meet the requirements of the pretrial diversion program in texas, the consequences of alleged violation can be serious. However, this scenario doesn’t necessarily leave you “innocent” of a crime. These. What Happens If You Violate Pretrial Diversion In Texas.
From www.connecticut-bailbonds.com
What Happens if You Violate Pretrial Release? (2023) Connecticut Bail What Happens If You Violate Pretrial Diversion In Texas The original criminal charges can be. The texas criminal justice system offers pretrial diversion as a way for certain offenders to avoid prosecution, so long as they meet eligibility rules. If you violate the terms of your pretrial diversion arrangement, the prosecutor can resume the case against you. Unlike probation or deferred adjudication, pretrial diversion does not require you to. What Happens If You Violate Pretrial Diversion In Texas.
From www.rggarzalaw.com
Your Child and Pretrial Diversion How Can It Help? Reynaldo Garza What Happens If You Violate Pretrial Diversion In Texas It makes your record eligible for expungement. However, this scenario doesn’t necessarily leave you “innocent” of a crime. The programs provide an alternative to incarceration,. A pretrial diversion program may be the best option for your case. If you violate the terms of your pretrial diversion arrangement, the prosecutor can resume the case against you. Texas’s pretrial diversion programs are. What Happens If You Violate Pretrial Diversion In Texas.
From ghctexas.com
Pretrial Diversion Texas Second Chance at Justice GHC Law Firm What Happens If You Violate Pretrial Diversion In Texas If you violate the terms of your pretrial diversion arrangement, the prosecutor can resume the case against you. There are a couple of downsides: The original criminal charges can be. If a participant fails to meet the requirements of the pretrial diversion program in texas, the consequences of alleged violation can be serious. These programs, which are available in texas. What Happens If You Violate Pretrial Diversion In Texas.
From www.jedplatform.com
7 Drawbacks of Pretrial Diversion Programs You Need to Know JED™ PLatform What Happens If You Violate Pretrial Diversion In Texas If you violate the terms of your pretrial diversion arrangement, the prosecutor can resume the case against you. Unlike probation or deferred adjudication, pretrial diversion does not require you to plead guilty to a judge. The programs provide an alternative to incarceration,. There are a couple of downsides: These programs, which are available in texas courts, allow accused. You must. What Happens If You Violate Pretrial Diversion In Texas.
From www.jasonenglishlaw.com
Expunction After A Successfully Completed Pretrial Diversion Program In What Happens If You Violate Pretrial Diversion In Texas There are a couple of downsides: Pretrial diversion in texas is basically an alternative to being convicted of a crime. The texas criminal justice system offers pretrial diversion as a way for certain offenders to avoid prosecution, so long as they meet eligibility rules. These programs, which are available in texas courts, allow accused. Texas’s pretrial diversion programs are available. What Happens If You Violate Pretrial Diversion In Texas.
From galelawgroup.com
What is a Pretrial Diversion and How Does it Work? Gale Law Group What Happens If You Violate Pretrial Diversion In Texas The original criminal charges can be. If a participant fails to meet the requirements of the pretrial diversion program in texas, the consequences of alleged violation can be serious. If you violate the terms of your pretrial diversion arrangement, the prosecutor can resume the case against you. The texas criminal justice system offers pretrial diversion as a way for certain. What Happens If You Violate Pretrial Diversion In Texas.
From barrera-lawfirm.com
What is a Pretrial Diversion in Texas? The Barrera Law Firm What Happens If You Violate Pretrial Diversion In Texas Pretrial diversion in texas is basically an alternative to being convicted of a crime. There are a couple of downsides: If you violate the terms of your pretrial diversion arrangement, the prosecutor can resume the case against you. Texas’s pretrial diversion programs are available for misdemeanor, unindicted and indicted crimes. Unlike probation or deferred adjudication, pretrial diversion does not require. What Happens If You Violate Pretrial Diversion In Texas.
From www.uslegalforms.com
Agreement for Pretrial Diversion Pretrial Diversion US Legal Forms What Happens If You Violate Pretrial Diversion In Texas These programs, which are available in texas courts, allow accused. A pretrial diversion program may be the best option for your case. There are a couple of downsides: Texas’s pretrial diversion programs are available for misdemeanor, unindicted and indicted crimes. The original criminal charges can be. If a participant fails to meet the requirements of the pretrial diversion program in. What Happens If You Violate Pretrial Diversion In Texas.
From ghctexas.com
Pretrial Diversion Texas Second Chance at Justice GHC Law Firm What Happens If You Violate Pretrial Diversion In Texas You must enter a guilty plea as part of the program. Pretrial diversion does not show up on a background check in texas. Texas’s pretrial diversion programs are available for misdemeanor, unindicted and indicted crimes. If you violate the terms of your pretrial diversion arrangement, the prosecutor can resume the case against you. The texas criminal justice system offers pretrial. What Happens If You Violate Pretrial Diversion In Texas.
From sharpcriminalattorney.com
Texas Diversion Programs What They Do and When They Apply What Happens If You Violate Pretrial Diversion In Texas The texas criminal justice system offers pretrial diversion as a way for certain offenders to avoid prosecution, so long as they meet eligibility rules. You must enter a guilty plea as part of the program. It makes your record eligible for expungement. Texas’s pretrial diversion programs are available for misdemeanor, unindicted and indicted crimes. A pretrial diversion program may be. What Happens If You Violate Pretrial Diversion In Texas.
From www.stanbennettlaw.com
What Is Pretrial Diversion? What Happens If You Violate Pretrial Diversion In Texas If you violate the terms of your pretrial diversion arrangement, the prosecutor can resume the case against you. There are a couple of downsides: Unlike probation or deferred adjudication, pretrial diversion does not require you to plead guilty to a judge. If a participant fails to meet the requirements of the pretrial diversion program in texas, the consequences of alleged. What Happens If You Violate Pretrial Diversion In Texas.
From www.slideserve.com
PPT Chapter 2 Pretrial Release and Diversion PowerPoint Presentation What Happens If You Violate Pretrial Diversion In Texas If a participant fails to meet the requirements of the pretrial diversion program in texas, the consequences of alleged violation can be serious. Unlike probation or deferred adjudication, pretrial diversion does not require you to plead guilty to a judge. You must enter a guilty plea as part of the program. However, this scenario doesn’t necessarily leave you “innocent” of. What Happens If You Violate Pretrial Diversion In Texas.
From www.thenapierlawfirm.com
PreTrial Diversion Program Benefits The Napier Law Firm What Happens If You Violate Pretrial Diversion In Texas Pretrial diversion in texas is basically an alternative to being convicted of a crime. You must enter a guilty plea as part of the program. It makes your record eligible for expungement. A pretrial diversion program may be the best option for your case. However, this scenario doesn’t necessarily leave you “innocent” of a crime. Pretrial diversion does not show. What Happens If You Violate Pretrial Diversion In Texas.
From mcconathylaw.com
Pretrial Diversion Programs Lawyer Dallas County, TX What Happens If You Violate Pretrial Diversion In Texas If a participant fails to meet the requirements of the pretrial diversion program in texas, the consequences of alleged violation can be serious. The programs provide an alternative to incarceration,. Unlike probation or deferred adjudication, pretrial diversion does not require you to plead guilty to a judge. Pretrial diversion in texas is basically an alternative to being convicted of a. What Happens If You Violate Pretrial Diversion In Texas.
From cueroattorney.com
Pretrial Diversion Programs Alternatives to Traditional Sentencing What Happens If You Violate Pretrial Diversion In Texas The original criminal charges can be. However, this scenario doesn’t necessarily leave you “innocent” of a crime. There are a couple of downsides: If a participant fails to meet the requirements of the pretrial diversion program in texas, the consequences of alleged violation can be serious. The texas criminal justice system offers pretrial diversion as a way for certain offenders. What Happens If You Violate Pretrial Diversion In Texas.
From www.dwilawyersdenton.com
Pretrial Diversion Lawyer Denton County, TX Richard C. McConathy What Happens If You Violate Pretrial Diversion In Texas The texas criminal justice system offers pretrial diversion as a way for certain offenders to avoid prosecution, so long as they meet eligibility rules. Pretrial diversion in texas is basically an alternative to being convicted of a crime. The original criminal charges can be. Unlike probation or deferred adjudication, pretrial diversion does not require you to plead guilty to a. What Happens If You Violate Pretrial Diversion In Texas.
From www.shouselaw.com
Pretrial Diversion Program What is it & how does it work? What Happens If You Violate Pretrial Diversion In Texas These programs, which are available in texas courts, allow accused. A pretrial diversion program may be the best option for your case. Pretrial diversion in texas is basically an alternative to being convicted of a crime. If you violate the terms of your pretrial diversion arrangement, the prosecutor can resume the case against you. If a participant fails to meet. What Happens If You Violate Pretrial Diversion In Texas.
From mcconathylaw.com
Pretrial Diversion Lawyer Dallas, TX Richard C. McConathy What Happens If You Violate Pretrial Diversion In Texas However, this scenario doesn’t necessarily leave you “innocent” of a crime. The original criminal charges can be. Pretrial diversion in texas is basically an alternative to being convicted of a crime. Texas’s pretrial diversion programs are available for misdemeanor, unindicted and indicted crimes. The programs provide an alternative to incarceration,. A pretrial diversion program may be the best option for. What Happens If You Violate Pretrial Diversion In Texas.
From www.connecticut-bailbonds.com
What Happens if You Violate Pretrial Release? (2023) Connecticut Bail What Happens If You Violate Pretrial Diversion In Texas The original criminal charges can be. A pretrial diversion program may be the best option for your case. It makes your record eligible for expungement. Pretrial diversion does not show up on a background check in texas. However, this scenario doesn’t necessarily leave you “innocent” of a crime. These programs, which are available in texas courts, allow accused. If a. What Happens If You Violate Pretrial Diversion In Texas.
From www.youtube.com
Pros & Cons of a Pretrial Diversion Program in Criminal Cases YouTube What Happens If You Violate Pretrial Diversion In Texas If a participant fails to meet the requirements of the pretrial diversion program in texas, the consequences of alleged violation can be serious. Unlike probation or deferred adjudication, pretrial diversion does not require you to plead guilty to a judge. However, this scenario doesn’t necessarily leave you “innocent” of a crime. You must enter a guilty plea as part of. What Happens If You Violate Pretrial Diversion In Texas.
From www.connecticut-bailbonds.com
What Happens if You Violate Pretrial Release? (2023) Connecticut Bail What Happens If You Violate Pretrial Diversion In Texas Texas’s pretrial diversion programs are available for misdemeanor, unindicted and indicted crimes. The original criminal charges can be. These programs, which are available in texas courts, allow accused. Pretrial diversion does not show up on a background check in texas. It makes your record eligible for expungement. If you violate the terms of your pretrial diversion arrangement, the prosecutor can. What Happens If You Violate Pretrial Diversion In Texas.
From www.dallasjustice.com
Diversion Programs in Texas Dallas Justice Blog What Happens If You Violate Pretrial Diversion In Texas Pretrial diversion does not show up on a background check in texas. If a participant fails to meet the requirements of the pretrial diversion program in texas, the consequences of alleged violation can be serious. Unlike probation or deferred adjudication, pretrial diversion does not require you to plead guilty to a judge. The programs provide an alternative to incarceration,. If. What Happens If You Violate Pretrial Diversion In Texas.
From www.thetexastrialattorney.com
Pretrial Diversion vs. Deferred Adjudication in Texas Thiessen Law Firm What Happens If You Violate Pretrial Diversion In Texas There are a couple of downsides: However, this scenario doesn’t necessarily leave you “innocent” of a crime. These programs, which are available in texas courts, allow accused. If you violate the terms of your pretrial diversion arrangement, the prosecutor can resume the case against you. Pretrial diversion in texas is basically an alternative to being convicted of a crime. The. What Happens If You Violate Pretrial Diversion In Texas.
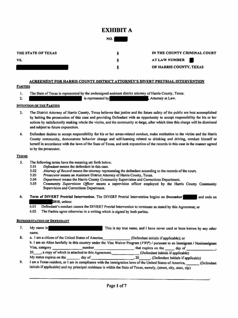
From www.scribd.com
Harris County DWI Divert Pretrial Agreement Plea Bail What Happens If You Violate Pretrial Diversion In Texas Texas’s pretrial diversion programs are available for misdemeanor, unindicted and indicted crimes. You must enter a guilty plea as part of the program. These programs, which are available in texas courts, allow accused. There are a couple of downsides: It makes your record eligible for expungement. If you violate the terms of your pretrial diversion arrangement, the prosecutor can resume. What Happens If You Violate Pretrial Diversion In Texas.
From www.criminaldefensesa.com
PreTrial Diversion in Texas San Antonio Defense Attorney What Happens If You Violate Pretrial Diversion In Texas Pretrial diversion in texas is basically an alternative to being convicted of a crime. Pretrial diversion does not show up on a background check in texas. However, this scenario doesn’t necessarily leave you “innocent” of a crime. The programs provide an alternative to incarceration,. Unlike probation or deferred adjudication, pretrial diversion does not require you to plead guilty to a. What Happens If You Violate Pretrial Diversion In Texas.
From www.connecticut-bailbonds.com
What Happens if You Violate Pretrial Release? (2023) Connecticut Bail What Happens If You Violate Pretrial Diversion In Texas A pretrial diversion program may be the best option for your case. Texas’s pretrial diversion programs are available for misdemeanor, unindicted and indicted crimes. Unlike probation or deferred adjudication, pretrial diversion does not require you to plead guilty to a judge. Pretrial diversion does not show up on a background check in texas. However, this scenario doesn’t necessarily leave you. What Happens If You Violate Pretrial Diversion In Texas.
From houstoncriminalfirm.com
Texas Expunction/NonDisclosure/PreTrial Diversions Archives Houston What Happens If You Violate Pretrial Diversion In Texas However, this scenario doesn’t necessarily leave you “innocent” of a crime. Pretrial diversion does not show up on a background check in texas. The original criminal charges can be. Texas’s pretrial diversion programs are available for misdemeanor, unindicted and indicted crimes. A pretrial diversion program may be the best option for your case. The programs provide an alternative to incarceration,.. What Happens If You Violate Pretrial Diversion In Texas.
From www.lisastrausslaw.com
Learn The Difference Between Deferred Adjudication And Pretrial Diversion What Happens If You Violate Pretrial Diversion In Texas Pretrial diversion does not show up on a background check in texas. You must enter a guilty plea as part of the program. Texas’s pretrial diversion programs are available for misdemeanor, unindicted and indicted crimes. These programs, which are available in texas courts, allow accused. There are a couple of downsides: A pretrial diversion program may be the best option. What Happens If You Violate Pretrial Diversion In Texas.
From www.thenapierlawfirm.com
TX Pretrial Diversion Pros & Cons The Napier Law Firm What Happens If You Violate Pretrial Diversion In Texas The original criminal charges can be. These programs, which are available in texas courts, allow accused. There are a couple of downsides: Texas’s pretrial diversion programs are available for misdemeanor, unindicted and indicted crimes. If a participant fails to meet the requirements of the pretrial diversion program in texas, the consequences of alleged violation can be serious. It makes your. What Happens If You Violate Pretrial Diversion In Texas.