Car Brands With The Most Longevity . according to iseecars.com's research, five brands — ford, gmc, and honda among them — build cars that are. Toyota toyota is practically synonymous with dependability and longevity—a reputation. #2 most reliable car brand: honda is a regular in the top 10 best car brands for reliability, which supports the common view that the japanese car industry builds the world's most durable. based on a study of more than two million cars, these are the vehicles most likely to last the longest.
from www.autotrader.ca
based on a study of more than two million cars, these are the vehicles most likely to last the longest. honda is a regular in the top 10 best car brands for reliability, which supports the common view that the japanese car industry builds the world's most durable. Toyota toyota is practically synonymous with dependability and longevity—a reputation. #2 most reliable car brand: according to iseecars.com's research, five brands — ford, gmc, and honda among them — build cars that are.
Top 10 Most Dependable Car Brands 2020 autoTRADER.ca
Car Brands With The Most Longevity #2 most reliable car brand: based on a study of more than two million cars, these are the vehicles most likely to last the longest. according to iseecars.com's research, five brands — ford, gmc, and honda among them — build cars that are. Toyota toyota is practically synonymous with dependability and longevity—a reputation. honda is a regular in the top 10 best car brands for reliability, which supports the common view that the japanese car industry builds the world's most durable. #2 most reliable car brand:
From cezzmzmu.blob.core.windows.net
Best Car Brands Longevity at Teodoro Sorensen blog Car Brands With The Most Longevity Toyota toyota is practically synonymous with dependability and longevity—a reputation. honda is a regular in the top 10 best car brands for reliability, which supports the common view that the japanese car industry builds the world's most durable. based on a study of more than two million cars, these are the vehicles most likely to last the longest.. Car Brands With The Most Longevity.
From www.underrinerhonda.com
Honda brand is 1 in class for product longevity according to Polk data Car Brands With The Most Longevity Toyota toyota is practically synonymous with dependability and longevity—a reputation. honda is a regular in the top 10 best car brands for reliability, which supports the common view that the japanese car industry builds the world's most durable. #2 most reliable car brand: according to iseecars.com's research, five brands — ford, gmc, and honda among them —. Car Brands With The Most Longevity.
From cezzmzmu.blob.core.windows.net
Best Car Brands Longevity at Teodoro Sorensen blog Car Brands With The Most Longevity Toyota toyota is practically synonymous with dependability and longevity—a reputation. according to iseecars.com's research, five brands — ford, gmc, and honda among them — build cars that are. #2 most reliable car brand: based on a study of more than two million cars, these are the vehicles most likely to last the longest. honda is a. Car Brands With The Most Longevity.
From www.dayspersonalchoice.com
The Best Car Brands for Reliability and Longevity Car Brands With The Most Longevity honda is a regular in the top 10 best car brands for reliability, which supports the common view that the japanese car industry builds the world's most durable. Toyota toyota is practically synonymous with dependability and longevity—a reputation. #2 most reliable car brand: according to iseecars.com's research, five brands — ford, gmc, and honda among them —. Car Brands With The Most Longevity.
From www.numerade.com
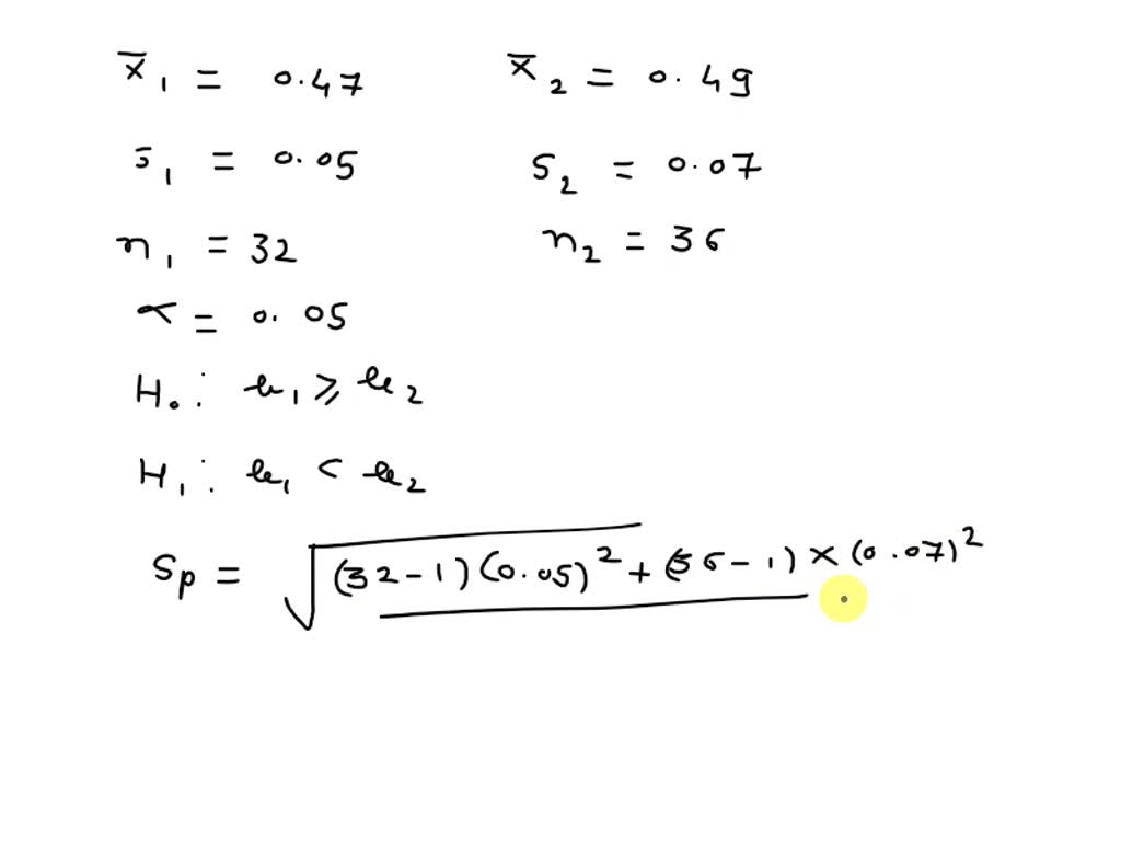
SOLVED Two car brands have a friendly competition over the longevity Car Brands With The Most Longevity based on a study of more than two million cars, these are the vehicles most likely to last the longest. honda is a regular in the top 10 best car brands for reliability, which supports the common view that the japanese car industry builds the world's most durable. Toyota toyota is practically synonymous with dependability and longevity—a reputation.. Car Brands With The Most Longevity.
From cortanawest.blogspot.com
Car Longevity Good Mileage Car Car Brands With The Most Longevity Toyota toyota is practically synonymous with dependability and longevity—a reputation. #2 most reliable car brand: according to iseecars.com's research, five brands — ford, gmc, and honda among them — build cars that are. based on a study of more than two million cars, these are the vehicles most likely to last the longest. honda is a. Car Brands With The Most Longevity.
From www.best-selling-cars.com
2018 Germany MostPopular Historic and Classic Cars Car Sales Statistics Car Brands With The Most Longevity according to iseecars.com's research, five brands — ford, gmc, and honda among them — build cars that are. honda is a regular in the top 10 best car brands for reliability, which supports the common view that the japanese car industry builds the world's most durable. Toyota toyota is practically synonymous with dependability and longevity—a reputation. based. Car Brands With The Most Longevity.
From carfromjapan.com
10 Of The Longest Lasting Cars To Impress With Longevity CAR FROM JAPAN Car Brands With The Most Longevity honda is a regular in the top 10 best car brands for reliability, which supports the common view that the japanese car industry builds the world's most durable. based on a study of more than two million cars, these are the vehicles most likely to last the longest. according to iseecars.com's research, five brands — ford, gmc,. Car Brands With The Most Longevity.
From venngage.com
15 Tips For Maintaining Your Cars Value And Longevity Car Brands With The Most Longevity #2 most reliable car brand: Toyota toyota is practically synonymous with dependability and longevity—a reputation. honda is a regular in the top 10 best car brands for reliability, which supports the common view that the japanese car industry builds the world's most durable. according to iseecars.com's research, five brands — ford, gmc, and honda among them —. Car Brands With The Most Longevity.
From www.youtube.com
ranking top cars car makers Manufacturers in the World 2020 [ toyota Car Brands With The Most Longevity based on a study of more than two million cars, these are the vehicles most likely to last the longest. according to iseecars.com's research, five brands — ford, gmc, and honda among them — build cars that are. Toyota toyota is practically synonymous with dependability and longevity—a reputation. #2 most reliable car brand: honda is a. Car Brands With The Most Longevity.
From cezzmzmu.blob.core.windows.net
Best Car Brands Longevity at Teodoro Sorensen blog Car Brands With The Most Longevity Toyota toyota is practically synonymous with dependability and longevity—a reputation. based on a study of more than two million cars, these are the vehicles most likely to last the longest. according to iseecars.com's research, five brands — ford, gmc, and honda among them — build cars that are. honda is a regular in the top 10 best. Car Brands With The Most Longevity.
From www.pontiacpublicautoauction.com
How Long a Car Brand Will Last [INFOGRAPHIC] Car Brands With The Most Longevity Toyota toyota is practically synonymous with dependability and longevity—a reputation. according to iseecars.com's research, five brands — ford, gmc, and honda among them — build cars that are. honda is a regular in the top 10 best car brands for reliability, which supports the common view that the japanese car industry builds the world's most durable. #2. Car Brands With The Most Longevity.
From www.iseecars.com
The LongestLasting Cars, Trucks and SUVs To Reach 250,000 Miles and Car Brands With The Most Longevity #2 most reliable car brand: according to iseecars.com's research, five brands — ford, gmc, and honda among them — build cars that are. Toyota toyota is practically synonymous with dependability and longevity—a reputation. honda is a regular in the top 10 best car brands for reliability, which supports the common view that the japanese car industry builds. Car Brands With The Most Longevity.
From www.windriderauto.com
Longevity of Used Cars Finding the Key to LongLasting Cars Wind Car Brands With The Most Longevity #2 most reliable car brand: Toyota toyota is practically synonymous with dependability and longevity—a reputation. honda is a regular in the top 10 best car brands for reliability, which supports the common view that the japanese car industry builds the world's most durable. based on a study of more than two million cars, these are the vehicles. Car Brands With The Most Longevity.
From www.crsautomotive.com
Car Depreciation What Are the Risks? Auto Repair Shop Hamilton Car Brands With The Most Longevity according to iseecars.com's research, five brands — ford, gmc, and honda among them — build cars that are. Toyota toyota is practically synonymous with dependability and longevity—a reputation. honda is a regular in the top 10 best car brands for reliability, which supports the common view that the japanese car industry builds the world's most durable. #2. Car Brands With The Most Longevity.
From venngage.com
15 Tips For Maintaining Your Cars Value And Longevity Car Brands With The Most Longevity honda is a regular in the top 10 best car brands for reliability, which supports the common view that the japanese car industry builds the world's most durable. based on a study of more than two million cars, these are the vehicles most likely to last the longest. Toyota toyota is practically synonymous with dependability and longevity—a reputation.. Car Brands With The Most Longevity.
From www.designinc.co.uk
Creative Automotive Advertising for Cargiant Design Inc Car Brands With The Most Longevity honda is a regular in the top 10 best car brands for reliability, which supports the common view that the japanese car industry builds the world's most durable. Toyota toyota is practically synonymous with dependability and longevity—a reputation. according to iseecars.com's research, five brands — ford, gmc, and honda among them — build cars that are. #2. Car Brands With The Most Longevity.
From www.dontwasteyourmoney.com
These 10 cars have the longest lifespan, and 6 are from the same maker Car Brands With The Most Longevity #2 most reliable car brand: according to iseecars.com's research, five brands — ford, gmc, and honda among them — build cars that are. Toyota toyota is practically synonymous with dependability and longevity—a reputation. honda is a regular in the top 10 best car brands for reliability, which supports the common view that the japanese car industry builds. Car Brands With The Most Longevity.
From infographicjournal.com
15 Tips for Maintaining your Car’s Value and Longevity [Infographic] Car Brands With The Most Longevity based on a study of more than two million cars, these are the vehicles most likely to last the longest. #2 most reliable car brand: Toyota toyota is practically synonymous with dependability and longevity—a reputation. according to iseecars.com's research, five brands — ford, gmc, and honda among them — build cars that are. honda is a. Car Brands With The Most Longevity.
From ucaststudios.com
Infographic The Longest Lasting Cars, In Miles Car Brands With The Most Longevity according to iseecars.com's research, five brands — ford, gmc, and honda among them — build cars that are. based on a study of more than two million cars, these are the vehicles most likely to last the longest. #2 most reliable car brand: Toyota toyota is practically synonymous with dependability and longevity—a reputation. honda is a. Car Brands With The Most Longevity.
From gabrielakruwmullen.blogspot.com
Car Life Expectancy by Brand GabrielakruwMullen Car Brands With The Most Longevity #2 most reliable car brand: honda is a regular in the top 10 best car brands for reliability, which supports the common view that the japanese car industry builds the world's most durable. Toyota toyota is practically synonymous with dependability and longevity—a reputation. based on a study of more than two million cars, these are the vehicles. Car Brands With The Most Longevity.
From jalopnik.com
These Are the Cars With the Longest Potential Lifespan Car Brands With The Most Longevity honda is a regular in the top 10 best car brands for reliability, which supports the common view that the japanese car industry builds the world's most durable. based on a study of more than two million cars, these are the vehicles most likely to last the longest. #2 most reliable car brand: according to iseecars.com's. Car Brands With The Most Longevity.
From stewartmathis.pages.dev
New 2025 Petrol Cars Stewart Mathis Car Brands With The Most Longevity Toyota toyota is practically synonymous with dependability and longevity—a reputation. according to iseecars.com's research, five brands — ford, gmc, and honda among them — build cars that are. based on a study of more than two million cars, these are the vehicles most likely to last the longest. #2 most reliable car brand: honda is a. Car Brands With The Most Longevity.
From ceqdumeh.blob.core.windows.net
How Long Does It Take A Tyre To Expire at Robert Speirs blog Car Brands With The Most Longevity honda is a regular in the top 10 best car brands for reliability, which supports the common view that the japanese car industry builds the world's most durable. Toyota toyota is practically synonymous with dependability and longevity—a reputation. according to iseecars.com's research, five brands — ford, gmc, and honda among them — build cars that are. based. Car Brands With The Most Longevity.
From www.artofit.org
Invest in your car s longevity and appearance with our premium auto Car Brands With The Most Longevity according to iseecars.com's research, five brands — ford, gmc, and honda among them — build cars that are. Toyota toyota is practically synonymous with dependability and longevity—a reputation. based on a study of more than two million cars, these are the vehicles most likely to last the longest. #2 most reliable car brand: honda is a. Car Brands With The Most Longevity.
From trendingupdateskenya.wordpress.com
10 Of The Longest Lasting Cars To Impress With Longevity The trend Car Brands With The Most Longevity according to iseecars.com's research, five brands — ford, gmc, and honda among them — build cars that are. #2 most reliable car brand: honda is a regular in the top 10 best car brands for reliability, which supports the common view that the japanese car industry builds the world's most durable. Toyota toyota is practically synonymous with. Car Brands With The Most Longevity.
From www.gminsidenews.com
How Many Miles Can a Car Last? For best mileage longevity Suburban Car Brands With The Most Longevity Toyota toyota is practically synonymous with dependability and longevity—a reputation. #2 most reliable car brand: honda is a regular in the top 10 best car brands for reliability, which supports the common view that the japanese car industry builds the world's most durable. based on a study of more than two million cars, these are the vehicles. Car Brands With The Most Longevity.
From gabrielakruwmullen.blogspot.com
Car Life Expectancy by Brand GabrielakruwMullen Car Brands With The Most Longevity honda is a regular in the top 10 best car brands for reliability, which supports the common view that the japanese car industry builds the world's most durable. according to iseecars.com's research, five brands — ford, gmc, and honda among them — build cars that are. based on a study of more than two million cars, these. Car Brands With The Most Longevity.
From www.carstrucksandboats.com
What's the Lifespan of a Used Car? [INFOGRAPHIC] Car Brands With The Most Longevity honda is a regular in the top 10 best car brands for reliability, which supports the common view that the japanese car industry builds the world's most durable. #2 most reliable car brand: Toyota toyota is practically synonymous with dependability and longevity—a reputation. according to iseecars.com's research, five brands — ford, gmc, and honda among them —. Car Brands With The Most Longevity.
From www.autotrader.ca
Top 10 Most Dependable Car Brands 2020 autoTRADER.ca Car Brands With The Most Longevity Toyota toyota is practically synonymous with dependability and longevity—a reputation. based on a study of more than two million cars, these are the vehicles most likely to last the longest. honda is a regular in the top 10 best car brands for reliability, which supports the common view that the japanese car industry builds the world's most durable.. Car Brands With The Most Longevity.
From housegrail.com
How Long Do Cars Last? Car Longevity Statistics 2024 Update House Grail Car Brands With The Most Longevity honda is a regular in the top 10 best car brands for reliability, which supports the common view that the japanese car industry builds the world's most durable. according to iseecars.com's research, five brands — ford, gmc, and honda among them — build cars that are. #2 most reliable car brand: Toyota toyota is practically synonymous with. Car Brands With The Most Longevity.
From www.paulmartinsmith.com
Ranking Luxury Car Brands Paul Smith Car Brands With The Most Longevity #2 most reliable car brand: based on a study of more than two million cars, these are the vehicles most likely to last the longest. Toyota toyota is practically synonymous with dependability and longevity—a reputation. according to iseecars.com's research, five brands — ford, gmc, and honda among them — build cars that are. honda is a. Car Brands With The Most Longevity.
From www.goldeagle.com
How Long Do Cars Last? How Long Will My Car Last? Gold Eagle Car Brands With The Most Longevity honda is a regular in the top 10 best car brands for reliability, which supports the common view that the japanese car industry builds the world's most durable. based on a study of more than two million cars, these are the vehicles most likely to last the longest. according to iseecars.com's research, five brands — ford, gmc,. Car Brands With The Most Longevity.
From www.numerade.com
SOLVED Two car brands have a friendly competition over the longevity Car Brands With The Most Longevity Toyota toyota is practically synonymous with dependability and longevity—a reputation. honda is a regular in the top 10 best car brands for reliability, which supports the common view that the japanese car industry builds the world's most durable. according to iseecars.com's research, five brands — ford, gmc, and honda among them — build cars that are. #2. Car Brands With The Most Longevity.
From cezzmzmu.blob.core.windows.net
Best Car Brands Longevity at Teodoro Sorensen blog Car Brands With The Most Longevity #2 most reliable car brand: according to iseecars.com's research, five brands — ford, gmc, and honda among them — build cars that are. Toyota toyota is practically synonymous with dependability and longevity—a reputation. based on a study of more than two million cars, these are the vehicles most likely to last the longest. honda is a. Car Brands With The Most Longevity.