Straws Pulled At Random Tab . straws pulled at random by meshuggah tab different versions chords, tab, tabs. so here's a 99% correct tab for this awesome song. straws pulled at random tab. 1,996 views, added to favorites 28 times. straws pulled at random tab by meshuggah. choose and determine which version of straws pulled at random chords and tabs by meshuggah you can play. straws pulled at random acoustic tab. learn & play tab for rhythm guitar, lead guitar, bass and percussion. 10,464 views, added to favorites 8 times.
from www.youtube.com
straws pulled at random tab by meshuggah. so here's a 99% correct tab for this awesome song. learn & play tab for rhythm guitar, lead guitar, bass and percussion. 10,464 views, added to favorites 8 times. straws pulled at random by meshuggah tab different versions chords, tab, tabs. choose and determine which version of straws pulled at random chords and tabs by meshuggah you can play. 1,996 views, added to favorites 28 times. straws pulled at random tab. straws pulled at random acoustic tab.
Meshuggah Straws Pulled at Random (Cover by Aidan Black) YouTube
Straws Pulled At Random Tab straws pulled at random tab. choose and determine which version of straws pulled at random chords and tabs by meshuggah you can play. straws pulled at random tab by meshuggah. 1,996 views, added to favorites 28 times. straws pulled at random by meshuggah tab different versions chords, tab, tabs. 10,464 views, added to favorites 8 times. so here's a 99% correct tab for this awesome song. learn & play tab for rhythm guitar, lead guitar, bass and percussion. straws pulled at random tab. straws pulled at random acoustic tab.
From www.youtube.com
Meshuggah Straws Pulled At Random Guitar Cover by Yatin Srivastava (2022) YouTube Straws Pulled At Random Tab 10,464 views, added to favorites 8 times. so here's a 99% correct tab for this awesome song. straws pulled at random tab. straws pulled at random acoustic tab. choose and determine which version of straws pulled at random chords and tabs by meshuggah you can play. straws pulled at random tab by meshuggah. 1,996 views,. Straws Pulled At Random Tab.
From www.youtube.com
MESHUGGAH Straws Pulled At Random !VOCAL COVER! YouTube Straws Pulled At Random Tab choose and determine which version of straws pulled at random chords and tabs by meshuggah you can play. 1,996 views, added to favorites 28 times. straws pulled at random acoustic tab. straws pulled at random by meshuggah tab different versions chords, tab, tabs. learn & play tab for rhythm guitar, lead guitar, bass and percussion. . Straws Pulled At Random Tab.
From www.youtube.com
Meshuggah Straws Pulled At Random [Blue Version] (Drum Chart) YouTube Straws Pulled At Random Tab so here's a 99% correct tab for this awesome song. straws pulled at random tab. 1,996 views, added to favorites 28 times. straws pulled at random by meshuggah tab different versions chords, tab, tabs. straws pulled at random tab by meshuggah. choose and determine which version of straws pulled at random chords and tabs by. Straws Pulled At Random Tab.
From www.youtube.com
Meshuggah Straws pulled at Random. One of my favourite parts. YouTube Straws Pulled At Random Tab 1,996 views, added to favorites 28 times. straws pulled at random acoustic tab. so here's a 99% correct tab for this awesome song. learn & play tab for rhythm guitar, lead guitar, bass and percussion. choose and determine which version of straws pulled at random chords and tabs by meshuggah you can play. straws pulled. Straws Pulled At Random Tab.
From www.numerade.com
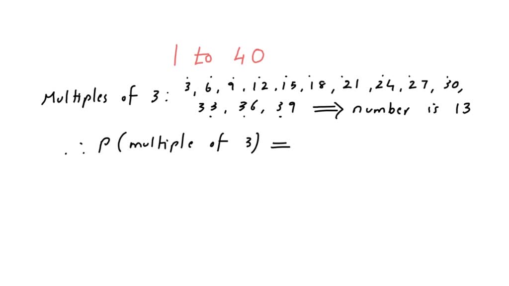
SOLVED The probability that you randomly draw a short straw from a group of 40 straws is (3 Straws Pulled At Random Tab choose and determine which version of straws pulled at random chords and tabs by meshuggah you can play. straws pulled at random acoustic tab. straws pulled at random by meshuggah tab different versions chords, tab, tabs. so here's a 99% correct tab for this awesome song. 1,996 views, added to favorites 28 times. learn &. Straws Pulled At Random Tab.
From www.youtube.com
Meshuggah Straws Pulled at Random ( Guitar Cover ) YouTube Straws Pulled At Random Tab 1,996 views, added to favorites 28 times. choose and determine which version of straws pulled at random chords and tabs by meshuggah you can play. learn & play tab for rhythm guitar, lead guitar, bass and percussion. straws pulled at random tab. straws pulled at random by meshuggah tab different versions chords, tab, tabs. 10,464 views,. Straws Pulled At Random Tab.
From 9gag.com
Straws pulled at random 9GAG Straws Pulled At Random Tab straws pulled at random acoustic tab. 10,464 views, added to favorites 8 times. so here's a 99% correct tab for this awesome song. choose and determine which version of straws pulled at random chords and tabs by meshuggah you can play. straws pulled at random by meshuggah tab different versions chords, tab, tabs. straws pulled. Straws Pulled At Random Tab.
From www.youtube.com
Meshuggah + Fractals (Straws Pulled at Random) YouTube Straws Pulled At Random Tab 1,996 views, added to favorites 28 times. learn & play tab for rhythm guitar, lead guitar, bass and percussion. choose and determine which version of straws pulled at random chords and tabs by meshuggah you can play. straws pulled at random tab by meshuggah. straws pulled at random by meshuggah tab different versions chords, tab, tabs.. Straws Pulled At Random Tab.
From www.youtube.com
Straws Pulled At Random cover YouTube Straws Pulled At Random Tab straws pulled at random tab by meshuggah. straws pulled at random tab. straws pulled at random by meshuggah tab different versions chords, tab, tabs. choose and determine which version of straws pulled at random chords and tabs by meshuggah you can play. straws pulled at random acoustic tab. so here's a 99% correct tab. Straws Pulled At Random Tab.
From www.youtube.com
Straws Pulled At Random Meshuggah Instrumental cover YouTube Straws Pulled At Random Tab straws pulled at random by meshuggah tab different versions chords, tab, tabs. 10,464 views, added to favorites 8 times. learn & play tab for rhythm guitar, lead guitar, bass and percussion. so here's a 99% correct tab for this awesome song. straws pulled at random tab by meshuggah. straws pulled at random acoustic tab. 1,996. Straws Pulled At Random Tab.
From www.youtube.com
Straws Pulled At Random Meshuggah (Guitar Cover) YouTube Straws Pulled At Random Tab 1,996 views, added to favorites 28 times. straws pulled at random by meshuggah tab different versions chords, tab, tabs. straws pulled at random tab by meshuggah. straws pulled at random tab. so here's a 99% correct tab for this awesome song. choose and determine which version of straws pulled at random chords and tabs by. Straws Pulled At Random Tab.
From www.youtube.com
Meshuggah Straws Pulled At Random (Subtítulos Español) YouTube Straws Pulled At Random Tab choose and determine which version of straws pulled at random chords and tabs by meshuggah you can play. straws pulled at random acoustic tab. learn & play tab for rhythm guitar, lead guitar, bass and percussion. straws pulled at random tab by meshuggah. 1,996 views, added to favorites 28 times. 10,464 views, added to favorites 8. Straws Pulled At Random Tab.
From www.youtube.com
Meshuggah Straws Pulled at Random (cover) YouTube Straws Pulled At Random Tab 1,996 views, added to favorites 28 times. so here's a 99% correct tab for this awesome song. straws pulled at random tab by meshuggah. choose and determine which version of straws pulled at random chords and tabs by meshuggah you can play. straws pulled at random by meshuggah tab different versions chords, tab, tabs. 10,464 views,. Straws Pulled At Random Tab.
From www.youtube.com
Straws Pulled At Random YouTube Straws Pulled At Random Tab 10,464 views, added to favorites 8 times. 1,996 views, added to favorites 28 times. learn & play tab for rhythm guitar, lead guitar, bass and percussion. so here's a 99% correct tab for this awesome song. straws pulled at random tab. choose and determine which version of straws pulled at random chords and tabs by meshuggah. Straws Pulled At Random Tab.
From www.youtube.com
"Straws Pulled At Random" (Meshuggah) Drum Cover YouTube Straws Pulled At Random Tab learn & play tab for rhythm guitar, lead guitar, bass and percussion. straws pulled at random acoustic tab. straws pulled at random tab. choose and determine which version of straws pulled at random chords and tabs by meshuggah you can play. 1,996 views, added to favorites 28 times. 10,464 views, added to favorites 8 times. . Straws Pulled At Random Tab.
From www.youtube.com
Meshuggah Straws Pulled At Random GUITAR COVER YouTube Straws Pulled At Random Tab 1,996 views, added to favorites 28 times. so here's a 99% correct tab for this awesome song. 10,464 views, added to favorites 8 times. choose and determine which version of straws pulled at random chords and tabs by meshuggah you can play. straws pulled at random tab. learn & play tab for rhythm guitar, lead guitar,. Straws Pulled At Random Tab.
From www.youtube.com
MESHUGGAH Straws Pulled at Random (Full Band Cover) YouTube Straws Pulled At Random Tab straws pulled at random tab by meshuggah. straws pulled at random by meshuggah tab different versions chords, tab, tabs. straws pulled at random tab. straws pulled at random acoustic tab. 1,996 views, added to favorites 28 times. learn & play tab for rhythm guitar, lead guitar, bass and percussion. choose and determine which version. Straws Pulled At Random Tab.
From www.youtube.com
Meshuggah Straws Pulled at Random 2 guitar cover (6 string pitch shifted) YouTube Straws Pulled At Random Tab so here's a 99% correct tab for this awesome song. straws pulled at random by meshuggah tab different versions chords, tab, tabs. 10,464 views, added to favorites 8 times. learn & play tab for rhythm guitar, lead guitar, bass and percussion. straws pulled at random tab. straws pulled at random acoustic tab. choose and. Straws Pulled At Random Tab.
From www.youtube.com
Straws Pulled at Random Bass Cover (with onscreen tabs) YouTube Straws Pulled At Random Tab straws pulled at random acoustic tab. so here's a 99% correct tab for this awesome song. 1,996 views, added to favorites 28 times. choose and determine which version of straws pulled at random chords and tabs by meshuggah you can play. straws pulled at random tab. straws pulled at random tab by meshuggah. 10,464 views,. Straws Pulled At Random Tab.
From www.youtube.com
Vrezerin Straws Pulled At Random YouTube Straws Pulled At Random Tab choose and determine which version of straws pulled at random chords and tabs by meshuggah you can play. straws pulled at random acoustic tab. learn & play tab for rhythm guitar, lead guitar, bass and percussion. straws pulled at random tab. 10,464 views, added to favorites 8 times. straws pulled at random tab by meshuggah.. Straws Pulled At Random Tab.
From www.youtube.com
Meshuggah Straws Pulled at Random Guitar Tab YouTube Straws Pulled At Random Tab straws pulled at random tab by meshuggah. so here's a 99% correct tab for this awesome song. 10,464 views, added to favorites 8 times. 1,996 views, added to favorites 28 times. straws pulled at random acoustic tab. straws pulled at random by meshuggah tab different versions chords, tab, tabs. learn & play tab for rhythm. Straws Pulled At Random Tab.
From www.youtube.com
Meshuggah Straws Pulled at Random Guitar Cover (w/Tab&Lyrics YouTube Straws Pulled At Random Tab straws pulled at random tab by meshuggah. learn & play tab for rhythm guitar, lead guitar, bass and percussion. straws pulled at random by meshuggah tab different versions chords, tab, tabs. straws pulled at random acoustic tab. so here's a 99% correct tab for this awesome song. 10,464 views, added to favorites 8 times. . Straws Pulled At Random Tab.
From www.youtube.com
Meshuggah Straws Pulled at Random (Cover by Aidan Black) YouTube Straws Pulled At Random Tab straws pulled at random by meshuggah tab different versions chords, tab, tabs. 1,996 views, added to favorites 28 times. 10,464 views, added to favorites 8 times. choose and determine which version of straws pulled at random chords and tabs by meshuggah you can play. straws pulled at random tab. straws pulled at random acoustic tab. . Straws Pulled At Random Tab.
From www.youtube.com
Straws pulled at RandomPlastik (video sample) YouTube Straws Pulled At Random Tab 10,464 views, added to favorites 8 times. 1,996 views, added to favorites 28 times. learn & play tab for rhythm guitar, lead guitar, bass and percussion. straws pulled at random by meshuggah tab different versions chords, tab, tabs. straws pulled at random tab. so here's a 99% correct tab for this awesome song. straws pulled. Straws Pulled At Random Tab.
From www.youtube.com
Meshuggah Straws Pulled at Random Guitar Cover YouTube Straws Pulled At Random Tab straws pulled at random by meshuggah tab different versions chords, tab, tabs. 10,464 views, added to favorites 8 times. choose and determine which version of straws pulled at random chords and tabs by meshuggah you can play. so here's a 99% correct tab for this awesome song. learn & play tab for rhythm guitar, lead guitar,. Straws Pulled At Random Tab.
From www.pinterest.co.uk
Straw Pull [Ages 4M +] A simple fine motor activity for babies, toddlers, and preschoolers Straws Pulled At Random Tab straws pulled at random by meshuggah tab different versions chords, tab, tabs. 10,464 views, added to favorites 8 times. choose and determine which version of straws pulled at random chords and tabs by meshuggah you can play. straws pulled at random acoustic tab. 1,996 views, added to favorites 28 times. straws pulled at random tab. . Straws Pulled At Random Tab.
From www.scribd.com
Straws Pulled at Random Guitar Pro 793736 PDF Straws Pulled At Random Tab 10,464 views, added to favorites 8 times. straws pulled at random tab by meshuggah. straws pulled at random acoustic tab. learn & play tab for rhythm guitar, lead guitar, bass and percussion. straws pulled at random tab. 1,996 views, added to favorites 28 times. straws pulled at random by meshuggah tab different versions chords, tab,. Straws Pulled At Random Tab.
From drumsetsheetmusic.com
Straws Pulled at Random Meshuggah Drum Sheet Music Andrew Bogert DrumSetSheetMusic Straws Pulled At Random Tab learn & play tab for rhythm guitar, lead guitar, bass and percussion. straws pulled at random tab. choose and determine which version of straws pulled at random chords and tabs by meshuggah you can play. 1,996 views, added to favorites 28 times. straws pulled at random by meshuggah tab different versions chords, tab, tabs. straws. Straws Pulled At Random Tab.
From www.youtube.com
Meshuggah Straws Pulled At Random [Orange Version] (Drum Chart) YouTube Straws Pulled At Random Tab straws pulled at random acoustic tab. straws pulled at random tab by meshuggah. choose and determine which version of straws pulled at random chords and tabs by meshuggah you can play. straws pulled at random tab. so here's a 99% correct tab for this awesome song. 10,464 views, added to favorites 8 times. straws. Straws Pulled At Random Tab.
From www.youtube.com
Meshuggah Straws Pulled At Random (1xN oneman band acoustic cover guitar + drums Straws Pulled At Random Tab straws pulled at random tab. so here's a 99% correct tab for this awesome song. 1,996 views, added to favorites 28 times. learn & play tab for rhythm guitar, lead guitar, bass and percussion. straws pulled at random by meshuggah tab different versions chords, tab, tabs. straws pulled at random tab by meshuggah. choose. Straws Pulled At Random Tab.
From www.youtube.com
MESHUGGAH Straws Pulled At Random // Guitar Cover YouTube Straws Pulled At Random Tab straws pulled at random tab. straws pulled at random tab by meshuggah. so here's a 99% correct tab for this awesome song. 1,996 views, added to favorites 28 times. straws pulled at random acoustic tab. straws pulled at random by meshuggah tab different versions chords, tab, tabs. choose and determine which version of straws. Straws Pulled At Random Tab.
From guides.brit.co
How to use your soda can tab as a straw holder. B+C Guides Straws Pulled At Random Tab straws pulled at random tab by meshuggah. learn & play tab for rhythm guitar, lead guitar, bass and percussion. 1,996 views, added to favorites 28 times. straws pulled at random tab. choose and determine which version of straws pulled at random chords and tabs by meshuggah you can play. so here's a 99% correct tab. Straws Pulled At Random Tab.
From www.youtube.com
Straws Pulled At Random (Meshuggah) Acoustic Cover 1xN feat. michael_sheridan_guitar Straws Pulled At Random Tab straws pulled at random tab by meshuggah. straws pulled at random by meshuggah tab different versions chords, tab, tabs. choose and determine which version of straws pulled at random chords and tabs by meshuggah you can play. learn & play tab for rhythm guitar, lead guitar, bass and percussion. 1,996 views, added to favorites 28 times.. Straws Pulled At Random Tab.
From www.youtube.com
Meshuggah Straws Pulled At Random (Outro) Drum Cover by Charlie Österlund YouTube Straws Pulled At Random Tab so here's a 99% correct tab for this awesome song. 1,996 views, added to favorites 28 times. learn & play tab for rhythm guitar, lead guitar, bass and percussion. straws pulled at random by meshuggah tab different versions chords, tab, tabs. 10,464 views, added to favorites 8 times. straws pulled at random acoustic tab. straws. Straws Pulled At Random Tab.
From www.youtube.com
Meshuggah Straws Pulled At Random (drum cover by Dima Lobik) YouTube Straws Pulled At Random Tab straws pulled at random tab. 10,464 views, added to favorites 8 times. choose and determine which version of straws pulled at random chords and tabs by meshuggah you can play. learn & play tab for rhythm guitar, lead guitar, bass and percussion. straws pulled at random acoustic tab. straws pulled at random by meshuggah tab. Straws Pulled At Random Tab.