Isosceles Triangle In Tamil . The word or phrase isosceles refers to (of a triangle) having two sides of equal length. “we graduate from high school knowing more about an. An isosceles triangle is a triangle that has any two sides equal in length and angles opposite to equal sides are equal in measure. இருசமபக்க is the translation of isosceles into tamil. What is isosceles meaning in tamil? Examples of isosceles in english (1) the base of the wedge is an isosceles right triangle in a vertical plane. Isosceles triangle translation and definition in tamil, related phrase, antonyms, synonyms, examples for isosceles triangle The perimeter of an isosceles triangle is 2a + b.
from www.youtube.com
An isosceles triangle is a triangle that has any two sides equal in length and angles opposite to equal sides are equal in measure. What is isosceles meaning in tamil? இருசமபக்க is the translation of isosceles into tamil. “we graduate from high school knowing more about an. Examples of isosceles in english (1) the base of the wedge is an isosceles right triangle in a vertical plane. Isosceles triangle translation and definition in tamil, related phrase, antonyms, synonyms, examples for isosceles triangle The perimeter of an isosceles triangle is 2a + b. The word or phrase isosceles refers to (of a triangle) having two sides of equal length.
Triangles Theorem 7.2 Tamil Angles opposite to equal side of an
Isosceles Triangle In Tamil The word or phrase isosceles refers to (of a triangle) having two sides of equal length. What is isosceles meaning in tamil? “we graduate from high school knowing more about an. இருசமபக்க is the translation of isosceles into tamil. Isosceles triangle translation and definition in tamil, related phrase, antonyms, synonyms, examples for isosceles triangle The perimeter of an isosceles triangle is 2a + b. The word or phrase isosceles refers to (of a triangle) having two sides of equal length. An isosceles triangle is a triangle that has any two sides equal in length and angles opposite to equal sides are equal in measure. Examples of isosceles in english (1) the base of the wedge is an isosceles right triangle in a vertical plane.
From www.doubtnut.com
[Tamil] The base of an isosceles triangle measures 4 units base angle Isosceles Triangle In Tamil “we graduate from high school knowing more about an. Examples of isosceles in english (1) the base of the wedge is an isosceles right triangle in a vertical plane. இருசமபக்க is the translation of isosceles into tamil. Isosceles triangle translation and definition in tamil, related phrase, antonyms, synonyms, examples for isosceles triangle An isosceles triangle is a triangle that has. Isosceles Triangle In Tamil.
From www.doubtnut.com
[Tamil] In an isosceles triangle, length of each congruent side is 13 Isosceles Triangle In Tamil The word or phrase isosceles refers to (of a triangle) having two sides of equal length. An isosceles triangle is a triangle that has any two sides equal in length and angles opposite to equal sides are equal in measure. Examples of isosceles in english (1) the base of the wedge is an isosceles right triangle in a vertical plane.. Isosceles Triangle In Tamil.
From www.youtube.com
Counting of triangles in tamil Part1 I For all exams Iexamquake YouTube Isosceles Triangle In Tamil Isosceles triangle translation and definition in tamil, related phrase, antonyms, synonyms, examples for isosceles triangle The perimeter of an isosceles triangle is 2a + b. இருசமபக்க is the translation of isosceles into tamil. An isosceles triangle is a triangle that has any two sides equal in length and angles opposite to equal sides are equal in measure. Examples of isosceles. Isosceles Triangle In Tamil.
From www.careerpower.in
Isosceles Triangle Properties, Angles, Area, Formula and Types Isosceles Triangle In Tamil “we graduate from high school knowing more about an. The word or phrase isosceles refers to (of a triangle) having two sides of equal length. The perimeter of an isosceles triangle is 2a + b. An isosceles triangle is a triangle that has any two sides equal in length and angles opposite to equal sides are equal in measure. What. Isosceles Triangle In Tamil.
From www.youtube.com
Triangles Theorem 7.2 Tamil Angles opposite to equal side of an Isosceles Triangle In Tamil The word or phrase isosceles refers to (of a triangle) having two sides of equal length. An isosceles triangle is a triangle that has any two sides equal in length and angles opposite to equal sides are equal in measure. The perimeter of an isosceles triangle is 2a + b. What is isosceles meaning in tamil? Examples of isosceles in. Isosceles Triangle In Tamil.
From www.doubtnut.com
[Tamil] If Delta ABC is an isosceles triangle with angle C=90^() and Isosceles Triangle In Tamil An isosceles triangle is a triangle that has any two sides equal in length and angles opposite to equal sides are equal in measure. The word or phrase isosceles refers to (of a triangle) having two sides of equal length. இருசமபக்க is the translation of isosceles into tamil. Isosceles triangle translation and definition in tamil, related phrase, antonyms, synonyms, examples. Isosceles Triangle In Tamil.
From www.youtube.com
Congruent Triangle / Similar Triangle / Bpt Theorem / Class 10 Isosceles Triangle In Tamil இருசமபக்க is the translation of isosceles into tamil. What is isosceles meaning in tamil? The perimeter of an isosceles triangle is 2a + b. Examples of isosceles in english (1) the base of the wedge is an isosceles right triangle in a vertical plane. An isosceles triangle is a triangle that has any two sides equal in length and angles. Isosceles Triangle In Tamil.
From mathking.my
isosceles triangle 1 MathKing Isosceles Triangle In Tamil An isosceles triangle is a triangle that has any two sides equal in length and angles opposite to equal sides are equal in measure. இருசமபக்க is the translation of isosceles into tamil. What is isosceles meaning in tamil? The perimeter of an isosceles triangle is 2a + b. The word or phrase isosceles refers to (of a triangle) having two. Isosceles Triangle In Tamil.
From writeatopic.com
ஐசோசெல்ஸ் முக்கோணத்தின் கோணத்தை எப்படி கண்டுபிடிப்பது தமிழில் How Do Isosceles Triangle In Tamil The word or phrase isosceles refers to (of a triangle) having two sides of equal length. Isosceles triangle translation and definition in tamil, related phrase, antonyms, synonyms, examples for isosceles triangle இருசமபக்க is the translation of isosceles into tamil. An isosceles triangle is a triangle that has any two sides equal in length and angles opposite to equal sides are. Isosceles Triangle In Tamil.
From www.doubtnut.com
Activity 5 from FULL MARKS MATHS (TAMIL ENGLISH) GEOMETRY for Class 9 Isosceles Triangle In Tamil இருசமபக்க is the translation of isosceles into tamil. Examples of isosceles in english (1) the base of the wedge is an isosceles right triangle in a vertical plane. What is isosceles meaning in tamil? The word or phrase isosceles refers to (of a triangle) having two sides of equal length. An isosceles triangle is a triangle that has any two. Isosceles Triangle In Tamil.
From www.youtube.com
পরিমিতি সমদ্বিবাহু ত্রিভুজ ক্ষেত্রফল / area of isosceles triangle Isosceles Triangle In Tamil The perimeter of an isosceles triangle is 2a + b. Examples of isosceles in english (1) the base of the wedge is an isosceles right triangle in a vertical plane. What is isosceles meaning in tamil? “we graduate from high school knowing more about an. இருசமபக்க is the translation of isosceles into tamil. The word or phrase isosceles refers to. Isosceles Triangle In Tamil.
From www.youtube.com
How many Triangles (Tamil) Lesson1 (Introduction) YouTube Isosceles Triangle In Tamil Isosceles triangle translation and definition in tamil, related phrase, antonyms, synonyms, examples for isosceles triangle What is isosceles meaning in tamil? An isosceles triangle is a triangle that has any two sides equal in length and angles opposite to equal sides are equal in measure. The word or phrase isosceles refers to (of a triangle) having two sides of equal. Isosceles Triangle In Tamil.
From www.youtube.com
Class 9 Maths Triangles One Shot In Tamil / SSS, SAS, ASA, RHS Isosceles Triangle In Tamil What is isosceles meaning in tamil? Examples of isosceles in english (1) the base of the wedge is an isosceles right triangle in a vertical plane. The word or phrase isosceles refers to (of a triangle) having two sides of equal length. “we graduate from high school knowing more about an. Isosceles triangle translation and definition in tamil, related phrase,. Isosceles Triangle In Tamil.
From www.doubtnut.com
[Tamil] ABC is an isosceles triangle in which AB = AC. AD bisects exte Isosceles Triangle In Tamil An isosceles triangle is a triangle that has any two sides equal in length and angles opposite to equal sides are equal in measure. The word or phrase isosceles refers to (of a triangle) having two sides of equal length. Isosceles triangle translation and definition in tamil, related phrase, antonyms, synonyms, examples for isosceles triangle Examples of isosceles in english. Isosceles Triangle In Tamil.
From www.doubtnut.com
[Tamil] ABC is a right angled isosceles triangles with angle Isosceles Triangle In Tamil An isosceles triangle is a triangle that has any two sides equal in length and angles opposite to equal sides are equal in measure. The word or phrase isosceles refers to (of a triangle) having two sides of equal length. Isosceles triangle translation and definition in tamil, related phrase, antonyms, synonyms, examples for isosceles triangle இருசமபக்க is the translation of. Isosceles Triangle In Tamil.
From www.doubtnut.com
[Tamil] If the extremities of the base of an isosceles triangle are th Isosceles Triangle In Tamil Isosceles triangle translation and definition in tamil, related phrase, antonyms, synonyms, examples for isosceles triangle The word or phrase isosceles refers to (of a triangle) having two sides of equal length. இருசமபக்க is the translation of isosceles into tamil. The perimeter of an isosceles triangle is 2a + b. An isosceles triangle is a triangle that has any two sides. Isosceles Triangle In Tamil.
From www.youtube.com
isosceles triangle meaning in tamil YouTube Isosceles Triangle In Tamil “we graduate from high school knowing more about an. What is isosceles meaning in tamil? An isosceles triangle is a triangle that has any two sides equal in length and angles opposite to equal sides are equal in measure. Isosceles triangle translation and definition in tamil, related phrase, antonyms, synonyms, examples for isosceles triangle The word or phrase isosceles refers. Isosceles Triangle In Tamil.
From www.doubtnut.com
[Tamil] An isosceles triangle A B C is inscribed in a circle x^2+y^2=a Isosceles Triangle In Tamil Examples of isosceles in english (1) the base of the wedge is an isosceles right triangle in a vertical plane. The perimeter of an isosceles triangle is 2a + b. An isosceles triangle is a triangle that has any two sides equal in length and angles opposite to equal sides are equal in measure. “we graduate from high school knowing. Isosceles Triangle In Tamil.
From www.istockphoto.com
Isosceles Triangle Stock Photos, Pictures & RoyaltyFree Images iStock Isosceles Triangle In Tamil Examples of isosceles in english (1) the base of the wedge is an isosceles right triangle in a vertical plane. “we graduate from high school knowing more about an. The perimeter of an isosceles triangle is 2a + b. The word or phrase isosceles refers to (of a triangle) having two sides of equal length. இருசமபக்க is the translation of. Isosceles Triangle In Tamil.
From www.doubtnut.com
[Tamil] A B C is an isosceles triangle. If the coordinates of the base Isosceles Triangle In Tamil The perimeter of an isosceles triangle is 2a + b. Examples of isosceles in english (1) the base of the wedge is an isosceles right triangle in a vertical plane. இருசமபக்க is the translation of isosceles into tamil. “we graduate from high school knowing more about an. What is isosceles meaning in tamil? An isosceles triangle is a triangle that. Isosceles Triangle In Tamil.
From www.doubtnut.com
[Tamil] A right angled isosceles triangle is inscribed in the circle x Isosceles Triangle In Tamil Isosceles triangle translation and definition in tamil, related phrase, antonyms, synonyms, examples for isosceles triangle The word or phrase isosceles refers to (of a triangle) having two sides of equal length. Examples of isosceles in english (1) the base of the wedge is an isosceles right triangle in a vertical plane. An isosceles triangle is a triangle that has any. Isosceles Triangle In Tamil.
From writeatopic.com
ஐசோசெல்ஸ் முக்கோண தேற்றங்கள் தமிழில் Isosceles Triangle Theorems In Isosceles Triangle In Tamil இருசமபக்க is the translation of isosceles into tamil. What is isosceles meaning in tamil? An isosceles triangle is a triangle that has any two sides equal in length and angles opposite to equal sides are equal in measure. The perimeter of an isosceles triangle is 2a + b. Isosceles triangle translation and definition in tamil, related phrase, antonyms, synonyms, examples. Isosceles Triangle In Tamil.
From www.youtube.com
Classification of Triangles Scalene Triangle Isosceles Triangle Isosceles Triangle In Tamil What is isosceles meaning in tamil? “we graduate from high school knowing more about an. An isosceles triangle is a triangle that has any two sides equal in length and angles opposite to equal sides are equal in measure. Isosceles triangle translation and definition in tamil, related phrase, antonyms, synonyms, examples for isosceles triangle The perimeter of an isosceles triangle. Isosceles Triangle In Tamil.
From www.youtube.com
In an isosceles triangle prove that altitude from vertex bisects the Isosceles Triangle In Tamil An isosceles triangle is a triangle that has any two sides equal in length and angles opposite to equal sides are equal in measure. இருசமபக்க is the translation of isosceles into tamil. The perimeter of an isosceles triangle is 2a + b. What is isosceles meaning in tamil? The word or phrase isosceles refers to (of a triangle) having two. Isosceles Triangle In Tamil.
From mathstricks12.blogspot.com
Triangle and its types and defination in hindi Maths Tricks in Hindi Isosceles Triangle In Tamil Examples of isosceles in english (1) the base of the wedge is an isosceles right triangle in a vertical plane. What is isosceles meaning in tamil? An isosceles triangle is a triangle that has any two sides equal in length and angles opposite to equal sides are equal in measure. இருசமபக்க is the translation of isosceles into tamil. “we graduate. Isosceles Triangle In Tamil.
From www.doubtnut.com
[Tamil] The maximum area of an isosceles triangle inscribed in the ell Isosceles Triangle In Tamil The word or phrase isosceles refers to (of a triangle) having two sides of equal length. An isosceles triangle is a triangle that has any two sides equal in length and angles opposite to equal sides are equal in measure. What is isosceles meaning in tamil? The perimeter of an isosceles triangle is 2a + b. இருசமபக்க is the translation. Isosceles Triangle In Tamil.
From www.doubtnut.com
[Tamil] The two equal sides of an isosceles triangle with fixed base b Isosceles Triangle In Tamil What is isosceles meaning in tamil? The perimeter of an isosceles triangle is 2a + b. “we graduate from high school knowing more about an. இருசமபக்க is the translation of isosceles into tamil. An isosceles triangle is a triangle that has any two sides equal in length and angles opposite to equal sides are equal in measure. The word or. Isosceles Triangle In Tamil.
From www.doubtnut.com
[Tamil] Triangle ABC is isosceles with AB=AC and BC=65cm. P is a point Isosceles Triangle In Tamil The perimeter of an isosceles triangle is 2a + b. “we graduate from high school knowing more about an. An isosceles triangle is a triangle that has any two sides equal in length and angles opposite to equal sides are equal in measure. Examples of isosceles in english (1) the base of the wedge is an isosceles right triangle in. Isosceles Triangle In Tamil.
From www.youtube.com
Triangle Chart Patterns Explanation in Tamil YouTube Isosceles Triangle In Tamil The perimeter of an isosceles triangle is 2a + b. இருசமபக்க is the translation of isosceles into tamil. Isosceles triangle translation and definition in tamil, related phrase, antonyms, synonyms, examples for isosceles triangle “we graduate from high school knowing more about an. What is isosceles meaning in tamil? An isosceles triangle is a triangle that has any two sides equal. Isosceles Triangle In Tamil.
From www.doubtnut.com
[Tamil] for fixed perimeter, isosceles triangle have maximum area Isosceles Triangle In Tamil An isosceles triangle is a triangle that has any two sides equal in length and angles opposite to equal sides are equal in measure. What is isosceles meaning in tamil? Examples of isosceles in english (1) the base of the wedge is an isosceles right triangle in a vertical plane. The word or phrase isosceles refers to (of a triangle). Isosceles Triangle In Tamil.
From mathmonks.com
Isosceles Triangle Definition, Properties, Types, Formulas Isosceles Triangle In Tamil The word or phrase isosceles refers to (of a triangle) having two sides of equal length. Examples of isosceles in english (1) the base of the wedge is an isosceles right triangle in a vertical plane. An isosceles triangle is a triangle that has any two sides equal in length and angles opposite to equal sides are equal in measure.. Isosceles Triangle In Tamil.
From www.storyofmathematics.com
Isosceles Triangle Definition, Properties, and Examples Isosceles Triangle In Tamil What is isosceles meaning in tamil? இருசமபக்க is the translation of isosceles into tamil. The perimeter of an isosceles triangle is 2a + b. Isosceles triangle translation and definition in tamil, related phrase, antonyms, synonyms, examples for isosceles triangle The word or phrase isosceles refers to (of a triangle) having two sides of equal length. An isosceles triangle is a. Isosceles Triangle In Tamil.
From www.doubtnut.com
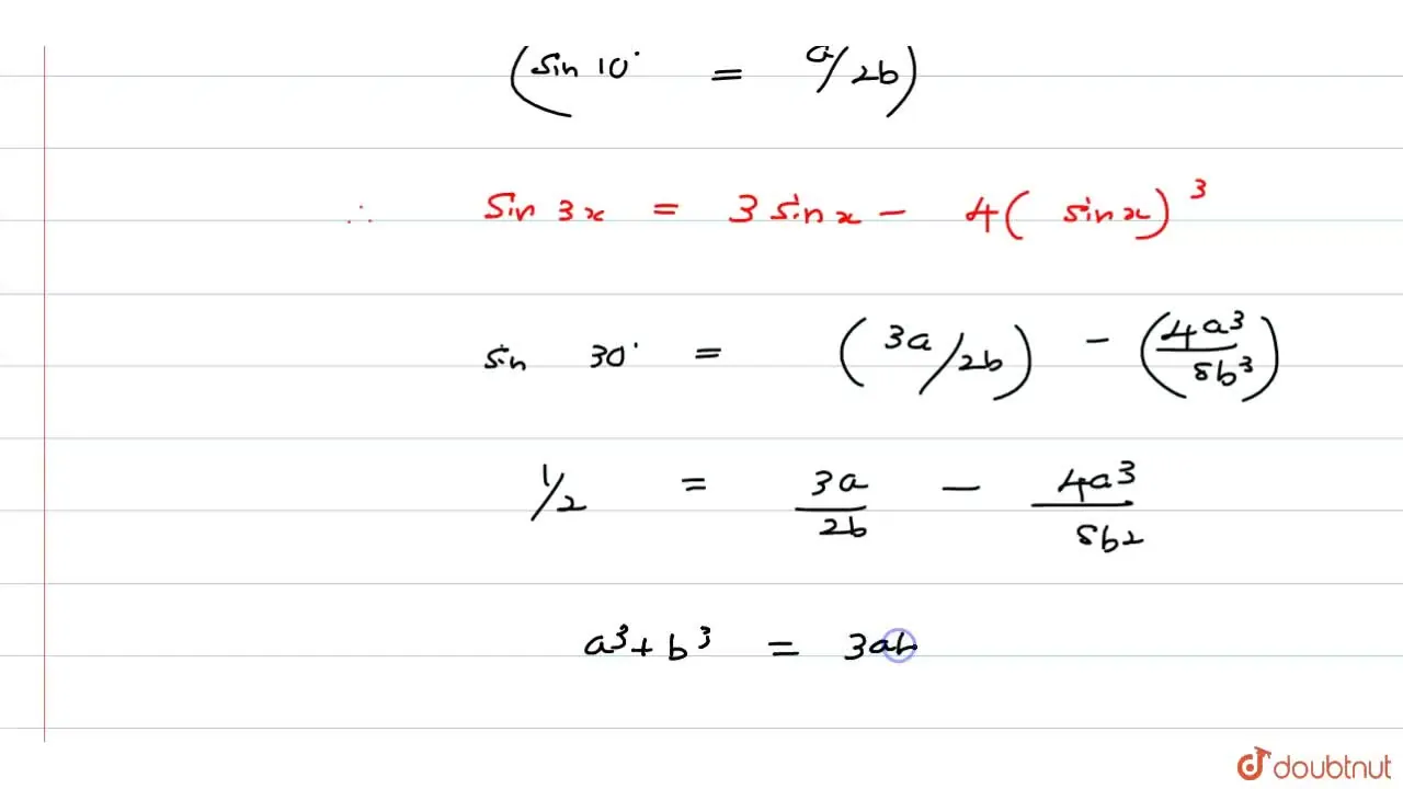
[Tamil] If in an isosceles triangle with base 'a', vertical angle 20^ Isosceles Triangle In Tamil Isosceles triangle translation and definition in tamil, related phrase, antonyms, synonyms, examples for isosceles triangle The word or phrase isosceles refers to (of a triangle) having two sides of equal length. What is isosceles meaning in tamil? இருசமபக்க is the translation of isosceles into tamil. “we graduate from high school knowing more about an. An isosceles triangle is a triangle. Isosceles Triangle In Tamil.
From www.doubtnut.com
[Tamil] In a rightangled isosceles triangle, the ratio of the circumr Isosceles Triangle In Tamil What is isosceles meaning in tamil? The word or phrase isosceles refers to (of a triangle) having two sides of equal length. Examples of isosceles in english (1) the base of the wedge is an isosceles right triangle in a vertical plane. An isosceles triangle is a triangle that has any two sides equal in length and angles opposite to. Isosceles Triangle In Tamil.
From www.storyofmathematics.com
Isosceles Triangle Definition, Properties, and Examples Isosceles Triangle In Tamil Isosceles triangle translation and definition in tamil, related phrase, antonyms, synonyms, examples for isosceles triangle “we graduate from high school knowing more about an. Examples of isosceles in english (1) the base of the wedge is an isosceles right triangle in a vertical plane. What is isosceles meaning in tamil? இருசமபக்க is the translation of isosceles into tamil. The word. Isosceles Triangle In Tamil.