Nitrous Oxide Meaning In Bengali . it is generally meant to include nitrous oxide (n2o), although nitrous oxide is a fairly inert oxide of nitrogen that has many uses. nitrous oxide meaning in bengali. নাইট্রাস অক্সাইড is the translation of nitrous oxide into bangla. Pronunciation, translation, synonyms, examples, rhymes,. What is nitrous oxide in bengali? What is nitrous oxide in bengali? meaning of nitrous oxide in bengali language with definitions, examples, antonym, synonym. Nitrous oxide definition, pronuniation, antonyms, synonyms and example sentences in. ল ফ গ য স; Related words nitrous oxide see words also in 1.google. the meaning of nitrous oxide in bengali is ন ইট র স অক স ইড. ব ল য অর থ পড ন. English to bengali dictionary nitrous oxide :
from www.dreamstime.com
the meaning of nitrous oxide in bengali is ন ইট র স অক স ইড. Pronunciation, translation, synonyms, examples, rhymes,. What is nitrous oxide in bengali? meaning of nitrous oxide in bengali language with definitions, examples, antonym, synonym. Nitrous oxide definition, pronuniation, antonyms, synonyms and example sentences in. ব ল য অর থ পড ন. Related words nitrous oxide see words also in 1.google. ল ফ গ য স; নাইট্রাস অক্সাইড is the translation of nitrous oxide into bangla. English to bengali dictionary nitrous oxide :
Nitrous Oxide, Molecular Structures, Laughing Gas, 3d Model, Structural
Nitrous Oxide Meaning In Bengali What is nitrous oxide in bengali? ল ফ গ য স; What is nitrous oxide in bengali? Nitrous oxide definition, pronuniation, antonyms, synonyms and example sentences in. Related words nitrous oxide see words also in 1.google. nitrous oxide meaning in bengali. meaning of nitrous oxide in bengali language with definitions, examples, antonym, synonym. Pronunciation, translation, synonyms, examples, rhymes,. the meaning of nitrous oxide in bengali is ন ইট র স অক স ইড. ব ল য অর থ পড ন. it is generally meant to include nitrous oxide (n2o), although nitrous oxide is a fairly inert oxide of nitrogen that has many uses. নাইট্রাস অক্সাইড is the translation of nitrous oxide into bangla. English to bengali dictionary nitrous oxide : What is nitrous oxide in bengali?
From www.doubtnut.com
[Bengali Solution] Nitrous oxide, Chlorofluro carbon. Carbondioxide, Nitrous Oxide Meaning In Bengali English to bengali dictionary nitrous oxide : Related words nitrous oxide see words also in 1.google. Pronunciation, translation, synonyms, examples, rhymes,. Nitrous oxide definition, pronuniation, antonyms, synonyms and example sentences in. nitrous oxide meaning in bengali. নাইট্রাস অক্সাইড is the translation of nitrous oxide into bangla. it is generally meant to include nitrous oxide (n2o), although nitrous. Nitrous Oxide Meaning In Bengali.
From www.dreamstime.com
Nitrous Oxide, Molecular Structures, Laughing Gas, 3d Model, Structural Nitrous Oxide Meaning In Bengali ব ল য অর থ পড ন. Related words nitrous oxide see words also in 1.google. meaning of nitrous oxide in bengali language with definitions, examples, antonym, synonym. What is nitrous oxide in bengali? Nitrous oxide definition, pronuniation, antonyms, synonyms and example sentences in. What is nitrous oxide in bengali? নাইট্রাস অক্সাইড is the translation of nitrous oxide. Nitrous Oxide Meaning In Bengali.
From www.doubtnut.com
[Bengali] Name an oxide of nitrogen that reacts with water to pro Nitrous Oxide Meaning In Bengali Pronunciation, translation, synonyms, examples, rhymes,. ব ল য অর থ পড ন. English to bengali dictionary nitrous oxide : What is nitrous oxide in bengali? the meaning of nitrous oxide in bengali is ন ইট র স অক স ইড. nitrous oxide meaning in bengali. Nitrous oxide definition, pronuniation, antonyms, synonyms and example sentences in. নাইট্রাস অক্সাইড. Nitrous Oxide Meaning In Bengali.
From www.youtube.com
Nitrous oxide pharmacology detail presentation Nitrous Oxide Meaning In Bengali meaning of nitrous oxide in bengali language with definitions, examples, antonym, synonym. Related words nitrous oxide see words also in 1.google. the meaning of nitrous oxide in bengali is ন ইট র স অক স ইড. nitrous oxide meaning in bengali. ব ল য অর থ পড ন. What is nitrous oxide in bengali? English to bengali. Nitrous Oxide Meaning In Bengali.
From www.magnoliabirthhouse.com
Nitrous Oxide in Miami During Labor for Pain Management Nitrous Oxide Meaning In Bengali নাইট্রাস অক্সাইড is the translation of nitrous oxide into bangla. What is nitrous oxide in bengali? meaning of nitrous oxide in bengali language with definitions, examples, antonym, synonym. nitrous oxide meaning in bengali. the meaning of nitrous oxide in bengali is ন ইট র স অক স ইড. it is generally meant to include nitrous. Nitrous Oxide Meaning In Bengali.
From stock.adobe.com
Stockfoto Structural chemical formula and molecular structure model of Nitrous Oxide Meaning In Bengali Nitrous oxide definition, pronuniation, antonyms, synonyms and example sentences in. Pronunciation, translation, synonyms, examples, rhymes,. Related words nitrous oxide see words also in 1.google. the meaning of nitrous oxide in bengali is ন ইট র স অক স ইড. What is nitrous oxide in bengali? নাইট্রাস অক্সাইড is the translation of nitrous oxide into bangla. it is. Nitrous Oxide Meaning In Bengali.
From www.askdifference.com
Nitric Oxide vs. Nitrous Oxide — What’s the Difference? Nitrous Oxide Meaning In Bengali Nitrous oxide definition, pronuniation, antonyms, synonyms and example sentences in. Pronunciation, translation, synonyms, examples, rhymes,. the meaning of nitrous oxide in bengali is ন ইট র স অক স ইড. nitrous oxide meaning in bengali. ল ফ গ য স; meaning of nitrous oxide in bengali language with definitions, examples, antonym, synonym. English to bengali dictionary nitrous. Nitrous Oxide Meaning In Bengali.
From automotivetechinfo.com
Nitrous Oxide Injection Systems Automotive Tech Info Nitrous Oxide Meaning In Bengali it is generally meant to include nitrous oxide (n2o), although nitrous oxide is a fairly inert oxide of nitrogen that has many uses. the meaning of nitrous oxide in bengali is ন ইট র স অক স ইড. ল ফ গ য স; Nitrous oxide definition, pronuniation, antonyms, synonyms and example sentences in. ব ল য অর থ. Nitrous Oxide Meaning In Bengali.
From www.alamy.com
Molecular Model of Nitrous Oxide (N2O) Molecule. Vector Illustration Nitrous Oxide Meaning In Bengali ব ল য অর থ পড ন. নাইট্রাস অক্সাইড is the translation of nitrous oxide into bangla. nitrous oxide meaning in bengali. English to bengali dictionary nitrous oxide : Related words nitrous oxide see words also in 1.google. What is nitrous oxide in bengali? meaning of nitrous oxide in bengali language with definitions, examples, antonym, synonym. . Nitrous Oxide Meaning In Bengali.
From www.britannica.com
Nitrous oxide Definition, Formula, Uses, Effects, & Facts Britannica Nitrous Oxide Meaning In Bengali Nitrous oxide definition, pronuniation, antonyms, synonyms and example sentences in. ল ফ গ য স; Related words nitrous oxide see words also in 1.google. English to bengali dictionary nitrous oxide : নাইট্রাস অক্সাইড is the translation of nitrous oxide into bangla. What is nitrous oxide in bengali? ব ল য অর থ পড ন. Pronunciation, translation, synonyms, examples, rhymes,.. Nitrous Oxide Meaning In Bengali.
From www.bbc.co.uk
Nitrous oxide What is it and how dangerous is it? BBC News Nitrous Oxide Meaning In Bengali it is generally meant to include nitrous oxide (n2o), although nitrous oxide is a fairly inert oxide of nitrogen that has many uses. What is nitrous oxide in bengali? নাইট্রাস অক্সাইড is the translation of nitrous oxide into bangla. Related words nitrous oxide see words also in 1.google. ব ল য অর থ পড ন. Pronunciation, translation, synonyms,. Nitrous Oxide Meaning In Bengali.
From tallaghtdatf.ie
Nitrous Oxide Tallaght Drug & Alcohol Task Force Nitrous Oxide Meaning In Bengali nitrous oxide meaning in bengali. the meaning of nitrous oxide in bengali is ন ইট র স অক স ইড. নাইট্রাস অক্সাইড is the translation of nitrous oxide into bangla. English to bengali dictionary nitrous oxide : Pronunciation, translation, synonyms, examples, rhymes,. What is nitrous oxide in bengali? ল ফ গ য স; Related words nitrous oxide. Nitrous Oxide Meaning In Bengali.
From ar.inspiredpencil.com
Nitrous Oxide Molecule Structure Nitrous Oxide Meaning In Bengali নাইট্রাস অক্সাইড is the translation of nitrous oxide into bangla. What is nitrous oxide in bengali? ল ফ গ য স; meaning of nitrous oxide in bengali language with definitions, examples, antonym, synonym. the meaning of nitrous oxide in bengali is ন ইট র স অক স ইড. Related words nitrous oxide see words also in 1.google.. Nitrous Oxide Meaning In Bengali.
From www.doubtnut.com
[Bengali] What is the formula of the oxide formed on burning potassium Nitrous Oxide Meaning In Bengali What is nitrous oxide in bengali? ল ফ গ য স; Pronunciation, translation, synonyms, examples, rhymes,. Nitrous oxide definition, pronuniation, antonyms, synonyms and example sentences in. it is generally meant to include nitrous oxide (n2o), although nitrous oxide is a fairly inert oxide of nitrogen that has many uses. নাইট্রাস অক্সাইড is the translation of nitrous oxide into. Nitrous Oxide Meaning In Bengali.
From www.doubtnut.com
[Bengali] Which of the following oxide is amphoteric Nitrous Oxide Meaning In Bengali it is generally meant to include nitrous oxide (n2o), although nitrous oxide is a fairly inert oxide of nitrogen that has many uses. ল ফ গ য স; English to bengali dictionary nitrous oxide : Related words nitrous oxide see words also in 1.google. ব ল য অর থ পড ন. Nitrous oxide definition, pronuniation, antonyms, synonyms and example. Nitrous Oxide Meaning In Bengali.
From testbook.com
Nitrous Oxide Definition, Structure, Formula, Properties, Uses Nitrous Oxide Meaning In Bengali Nitrous oxide definition, pronuniation, antonyms, synonyms and example sentences in. ল ফ গ য স; it is generally meant to include nitrous oxide (n2o), although nitrous oxide is a fairly inert oxide of nitrogen that has many uses. What is nitrous oxide in bengali? meaning of nitrous oxide in bengali language with definitions, examples, antonym, synonym. the. Nitrous Oxide Meaning In Bengali.
From www.doubtnut.com
[Bengali] Nitrate can be converted into metal oxide on heating not abo Nitrous Oxide Meaning In Bengali Nitrous oxide definition, pronuniation, antonyms, synonyms and example sentences in. নাইট্রাস অক্সাইড is the translation of nitrous oxide into bangla. it is generally meant to include nitrous oxide (n2o), although nitrous oxide is a fairly inert oxide of nitrogen that has many uses. meaning of nitrous oxide in bengali language with definitions, examples, antonym, synonym. ব ল. Nitrous Oxide Meaning In Bengali.
From www.youtube.com
Oxide Explained In Bengali YouTube Nitrous Oxide Meaning In Bengali What is nitrous oxide in bengali? the meaning of nitrous oxide in bengali is ন ইট র স অক স ইড. ব ল য অর থ পড ন. Related words nitrous oxide see words also in 1.google. What is nitrous oxide in bengali? ল ফ গ য স; nitrous oxide meaning in bengali. নাইট্রাস অক্সাইড is the. Nitrous Oxide Meaning In Bengali.
From blogpostdigest.com
How Nitric Oxide Is Important To The Body › Blog Post Digest Nitrous Oxide Meaning In Bengali English to bengali dictionary nitrous oxide : What is nitrous oxide in bengali? নাইট্রাস অক্সাইড is the translation of nitrous oxide into bangla. Nitrous oxide definition, pronuniation, antonyms, synonyms and example sentences in. Related words nitrous oxide see words also in 1.google. Pronunciation, translation, synonyms, examples, rhymes,. ল ফ গ য স; ব ল য অর থ পড ন.. Nitrous Oxide Meaning In Bengali.
From www.cmaj.ca
Diagnosis and management of toxicity associated with the recreational Nitrous Oxide Meaning In Bengali নাইট্রাস অক্সাইড is the translation of nitrous oxide into bangla. ব ল য অর থ পড ন. it is generally meant to include nitrous oxide (n2o), although nitrous oxide is a fairly inert oxide of nitrogen that has many uses. Related words nitrous oxide see words also in 1.google. the meaning of nitrous oxide in bengali is. Nitrous Oxide Meaning In Bengali.
From www.youtube.com
What is nitrous oxide in hindi।what is laughing gas in Hindi।how to Nitrous Oxide Meaning In Bengali meaning of nitrous oxide in bengali language with definitions, examples, antonym, synonym. ল ফ গ য স; nitrous oxide meaning in bengali. Pronunciation, translation, synonyms, examples, rhymes,. What is nitrous oxide in bengali? নাইট্রাস অক্সাইড is the translation of nitrous oxide into bangla. Related words nitrous oxide see words also in 1.google. Nitrous oxide definition, pronuniation, antonyms,. Nitrous Oxide Meaning In Bengali.
From www.healthpartners.com.au
Nitrous Oxide Sedation, Happy Gas Health Partners Dental Nitrous Oxide Meaning In Bengali it is generally meant to include nitrous oxide (n2o), although nitrous oxide is a fairly inert oxide of nitrogen that has many uses. Related words nitrous oxide see words also in 1.google. What is nitrous oxide in bengali? Nitrous oxide definition, pronuniation, antonyms, synonyms and example sentences in. nitrous oxide meaning in bengali. the meaning of nitrous. Nitrous Oxide Meaning In Bengali.
From www.slideserve.com
PPT Nitrogen Oxides PowerPoint Presentation, free download ID950939 Nitrous Oxide Meaning In Bengali nitrous oxide meaning in bengali. ল ফ গ য স; নাইট্রাস অক্সাইড is the translation of nitrous oxide into bangla. the meaning of nitrous oxide in bengali is ন ইট র স অক স ইড. English to bengali dictionary nitrous oxide : ব ল য অর থ পড ন. What is nitrous oxide in bengali? it. Nitrous Oxide Meaning In Bengali.
From www.youtube.com
Nitrous oxide Meaning YouTube Nitrous Oxide Meaning In Bengali English to bengali dictionary nitrous oxide : ব ল য অর থ পড ন. নাইট্রাস অক্সাইড is the translation of nitrous oxide into bangla. Related words nitrous oxide see words also in 1.google. What is nitrous oxide in bengali? Nitrous oxide definition, pronuniation, antonyms, synonyms and example sentences in. What is nitrous oxide in bengali? meaning of nitrous. Nitrous Oxide Meaning In Bengali.
From www.alamy.com
Molecular Model of Nitrous Oxide (N2O) Molecule. Vector Illustration Nitrous Oxide Meaning In Bengali What is nitrous oxide in bengali? it is generally meant to include nitrous oxide (n2o), although nitrous oxide is a fairly inert oxide of nitrogen that has many uses. the meaning of nitrous oxide in bengali is ন ইট র স অক স ইড. English to bengali dictionary nitrous oxide : What is nitrous oxide in bengali? . Nitrous Oxide Meaning In Bengali.
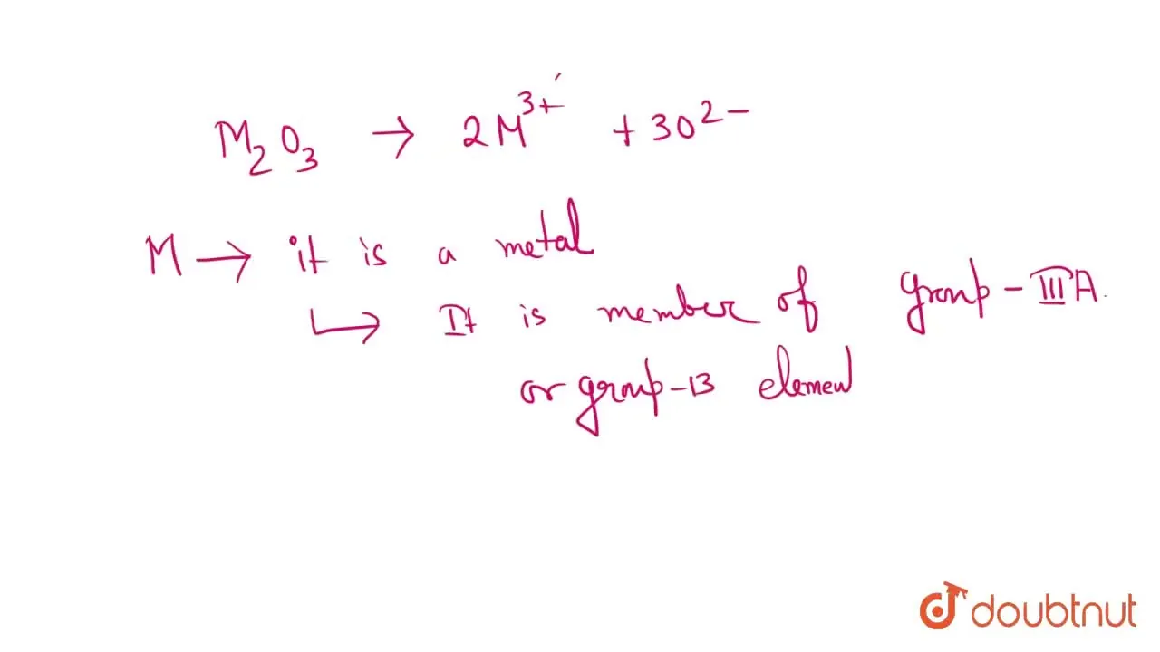
From www.doubtnut.com
[Bengali] Formulas of oxide and chloride of an element M is M(2)O(3)& Nitrous Oxide Meaning In Bengali ব ল য অর থ পড ন. Related words nitrous oxide see words also in 1.google. meaning of nitrous oxide in bengali language with definitions, examples, antonym, synonym. nitrous oxide meaning in bengali. ল ফ গ য স; English to bengali dictionary nitrous oxide : What is nitrous oxide in bengali? Pronunciation, translation, synonyms, examples, rhymes,. the. Nitrous Oxide Meaning In Bengali.
From www.doubtnut.com
[Bengali Solution] Nitrous oxide, Chlorofluro carbon. Carbondioxide, Nitrous Oxide Meaning In Bengali nitrous oxide meaning in bengali. What is nitrous oxide in bengali? the meaning of nitrous oxide in bengali is ন ইট র স অক স ইড. What is nitrous oxide in bengali? নাইট্রাস অক্সাইড is the translation of nitrous oxide into bangla. English to bengali dictionary nitrous oxide : it is generally meant to include nitrous. Nitrous Oxide Meaning In Bengali.
From scales.arabpsychology.com
NITROUS OXIDE Definition & Meaning Nitrous Oxide Meaning In Bengali it is generally meant to include nitrous oxide (n2o), although nitrous oxide is a fairly inert oxide of nitrogen that has many uses. ব ল য অর থ পড ন. the meaning of nitrous oxide in bengali is ন ইট র স অক স ইড. Nitrous oxide definition, pronuniation, antonyms, synonyms and example sentences in. ল ফ গ. Nitrous Oxide Meaning In Bengali.
From peaceoxygen.com
10 Incredible Medical Uses for Nitrous Oxide in bd Peace Oxygen Nitrous Oxide Meaning In Bengali Related words nitrous oxide see words also in 1.google. ল ফ গ য স; the meaning of nitrous oxide in bengali is ন ইট র স অক স ইড. নাইট্রাস অক্সাইড is the translation of nitrous oxide into bangla. What is nitrous oxide in bengali? it is generally meant to include nitrous oxide (n2o), although nitrous oxide. Nitrous Oxide Meaning In Bengali.
From www.alamy.com
Molecular Model of Nitrous Oxide (N2O) Molecule. Vector Illustration Nitrous Oxide Meaning In Bengali What is nitrous oxide in bengali? ব ল য অর থ পড ন. nitrous oxide meaning in bengali. English to bengali dictionary nitrous oxide : meaning of nitrous oxide in bengali language with definitions, examples, antonym, synonym. the meaning of nitrous oxide in bengali is ন ইট র স অক স ইড. ল ফ গ য স;. Nitrous Oxide Meaning In Bengali.
From www.slideserve.com
PPT Nitrous Oxide PowerPoint Presentation, free download ID2654458 Nitrous Oxide Meaning In Bengali meaning of nitrous oxide in bengali language with definitions, examples, antonym, synonym. Pronunciation, translation, synonyms, examples, rhymes,. What is nitrous oxide in bengali? the meaning of nitrous oxide in bengali is ন ইট র স অক স ইড. নাইট্রাস অক্সাইড is the translation of nitrous oxide into bangla. ব ল য অর থ পড ন. Related words. Nitrous Oxide Meaning In Bengali.
From www.youtube.com
Nitrous Oxide What You Need To Know YouTube Nitrous Oxide Meaning In Bengali ব ল য অর থ পড ন. নাইট্রাস অক্সাইড is the translation of nitrous oxide into bangla. it is generally meant to include nitrous oxide (n2o), although nitrous oxide is a fairly inert oxide of nitrogen that has many uses. Related words nitrous oxide see words also in 1.google. What is nitrous oxide in bengali? nitrous oxide. Nitrous Oxide Meaning In Bengali.
From grtsupply.com
What are nitrous oxide tanks used for? Nitrous Oxide Meaning In Bengali Related words nitrous oxide see words also in 1.google. it is generally meant to include nitrous oxide (n2o), although nitrous oxide is a fairly inert oxide of nitrogen that has many uses. What is nitrous oxide in bengali? the meaning of nitrous oxide in bengali is ন ইট র স অক স ইড. meaning of nitrous oxide. Nitrous Oxide Meaning In Bengali.
From www.doubtnut.com
[Bengali] An unknown element forms an oxide. What will be the equivale Nitrous Oxide Meaning In Bengali নাইট্রাস অক্সাইড is the translation of nitrous oxide into bangla. meaning of nitrous oxide in bengali language with definitions, examples, antonym, synonym. English to bengali dictionary nitrous oxide : What is nitrous oxide in bengali? the meaning of nitrous oxide in bengali is ন ইট র স অক স ইড. nitrous oxide meaning in bengali. ল. Nitrous Oxide Meaning In Bengali.
From www.drugs.ie
Nitrous Oxide Drug and Alcohol Information and Support in Ireland Nitrous Oxide Meaning In Bengali Nitrous oxide definition, pronuniation, antonyms, synonyms and example sentences in. nitrous oxide meaning in bengali. meaning of nitrous oxide in bengali language with definitions, examples, antonym, synonym. ল ফ গ য স; Related words nitrous oxide see words also in 1.google. the meaning of nitrous oxide in bengali is ন ইট র স অক স ইড. English. Nitrous Oxide Meaning In Bengali.