What Are The Documents Required For Applying Gas Connection . Deposit your receipt and dgcc to the distributor, and he will give you. One of the following documents can be produced for proof of residence: Surrender your cylinder and pressure regulator to your distributor. One of the following documents needed when applying for a gas connection: The facility to submit the application through website is for the domestic. Ration card or valid residence proof that you will mention in. Before submitting your application for new domestic gas connection, please keep the following in mind: When applying for a new bharat gas connection, whether offline or online, you. Documents required for new bharat gas connection. Lpg gas connection | eligibility and documentation required for getting a new lpg connection | how to refill an lpg gas cylinder. Valid photo id that you will mention in the registration form 2.
from mylpggas.com
The facility to submit the application through website is for the domestic. Surrender your cylinder and pressure regulator to your distributor. One of the following documents needed when applying for a gas connection: Deposit your receipt and dgcc to the distributor, and he will give you. Before submitting your application for new domestic gas connection, please keep the following in mind: Lpg gas connection | eligibility and documentation required for getting a new lpg connection | how to refill an lpg gas cylinder. When applying for a new bharat gas connection, whether offline or online, you. Valid photo id that you will mention in the registration form 2. One of the following documents can be produced for proof of residence: Documents required for new bharat gas connection.
HP Gas New Connection Price 2023 Quick and Easy Steps » My LPG Gas
What Are The Documents Required For Applying Gas Connection Surrender your cylinder and pressure regulator to your distributor. Ration card or valid residence proof that you will mention in. Documents required for new bharat gas connection. Valid photo id that you will mention in the registration form 2. The facility to submit the application through website is for the domestic. Deposit your receipt and dgcc to the distributor, and he will give you. One of the following documents can be produced for proof of residence: Surrender your cylinder and pressure regulator to your distributor. When applying for a new bharat gas connection, whether offline or online, you. Lpg gas connection | eligibility and documentation required for getting a new lpg connection | how to refill an lpg gas cylinder. Before submitting your application for new domestic gas connection, please keep the following in mind: One of the following documents needed when applying for a gas connection:
From www.youtube.com
Letter for Gas Connection Address Change Gas Connection Address What Are The Documents Required For Applying Gas Connection The facility to submit the application through website is for the domestic. Surrender your cylinder and pressure regulator to your distributor. Deposit your receipt and dgcc to the distributor, and he will give you. Lpg gas connection | eligibility and documentation required for getting a new lpg connection | how to refill an lpg gas cylinder. One of the following. What Are The Documents Required For Applying Gas Connection.
From www.slideshare.net
Kyc format new version ii Indane Gas Connection What Are The Documents Required For Applying Gas Connection One of the following documents can be produced for proof of residence: Valid photo id that you will mention in the registration form 2. Before submitting your application for new domestic gas connection, please keep the following in mind: Documents required for new bharat gas connection. One of the following documents needed when applying for a gas connection: When applying. What Are The Documents Required For Applying Gas Connection.
From mygasconnection.in
How to Get a Gas Connection in Kerala A Simple Guide For You What Are The Documents Required For Applying Gas Connection Surrender your cylinder and pressure regulator to your distributor. One of the following documents needed when applying for a gas connection: One of the following documents can be produced for proof of residence: Lpg gas connection | eligibility and documentation required for getting a new lpg connection | how to refill an lpg gas cylinder. When applying for a new. What Are The Documents Required For Applying Gas Connection.
From suigasbill.net
New SSGC Domestic Connection Application Sui Gas Bill What Are The Documents Required For Applying Gas Connection Documents required for new bharat gas connection. The facility to submit the application through website is for the domestic. Deposit your receipt and dgcc to the distributor, and he will give you. Before submitting your application for new domestic gas connection, please keep the following in mind: When applying for a new bharat gas connection, whether offline or online, you.. What Are The Documents Required For Applying Gas Connection.
From www.allapplication.xyz
How to write an Application for Gas Transfer [6 Samples] What Are The Documents Required For Applying Gas Connection One of the following documents can be produced for proof of residence: Documents required for new bharat gas connection. Deposit your receipt and dgcc to the distributor, and he will give you. Surrender your cylinder and pressure regulator to your distributor. When applying for a new bharat gas connection, whether offline or online, you. The facility to submit the application. What Are The Documents Required For Applying Gas Connection.
From www.edrafter.in
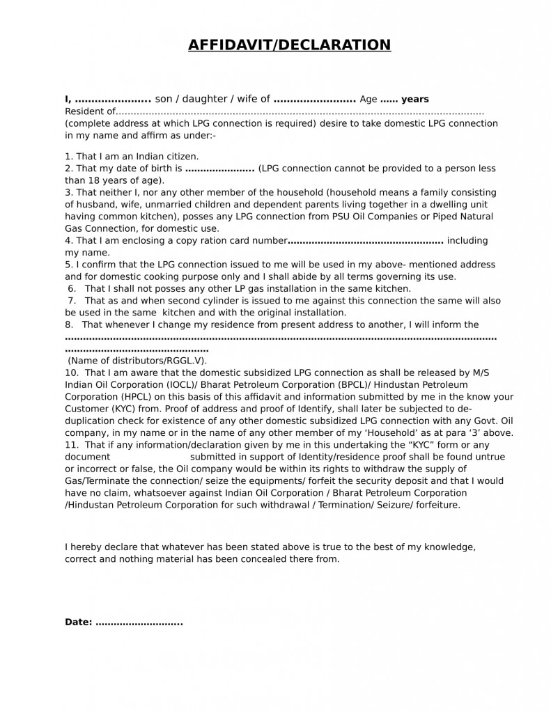
New Gas Connection Affidavit online eDrafter.in What Are The Documents Required For Applying Gas Connection The facility to submit the application through website is for the domestic. Before submitting your application for new domestic gas connection, please keep the following in mind: Deposit your receipt and dgcc to the distributor, and he will give you. Lpg gas connection | eligibility and documentation required for getting a new lpg connection | how to refill an lpg. What Are The Documents Required For Applying Gas Connection.
From www.scribd.com
TD4551P03 Control Documents For Gas Transmission Facilities (Rev 0 What Are The Documents Required For Applying Gas Connection Documents required for new bharat gas connection. Before submitting your application for new domestic gas connection, please keep the following in mind: Valid photo id that you will mention in the registration form 2. The facility to submit the application through website is for the domestic. When applying for a new bharat gas connection, whether offline or online, you. One. What Are The Documents Required For Applying Gas Connection.
From www.youtube.com
Request Letter For Commercial Gas Connection Letter for Installation What Are The Documents Required For Applying Gas Connection Before submitting your application for new domestic gas connection, please keep the following in mind: Valid photo id that you will mention in the registration form 2. When applying for a new bharat gas connection, whether offline or online, you. Deposit your receipt and dgcc to the distributor, and he will give you. Documents required for new bharat gas connection.. What Are The Documents Required For Applying Gas Connection.
From mygasconnection.in
How to Get a Gas Connection in Delhi A Simple Guide What Are The Documents Required For Applying Gas Connection The facility to submit the application through website is for the domestic. Before submitting your application for new domestic gas connection, please keep the following in mind: One of the following documents can be produced for proof of residence: Valid photo id that you will mention in the registration form 2. When applying for a new bharat gas connection, whether. What Are The Documents Required For Applying Gas Connection.
From mygasconnection.in
HP Gas New Connection Online Price Documents Status What Are The Documents Required For Applying Gas Connection Deposit your receipt and dgcc to the distributor, and he will give you. Before submitting your application for new domestic gas connection, please keep the following in mind: Documents required for new bharat gas connection. One of the following documents can be produced for proof of residence: When applying for a new bharat gas connection, whether offline or online, you.. What Are The Documents Required For Applying Gas Connection.
From mygasconnection.in
How to Get a Gas Connection in Gurgaon A Simple Guide For You What Are The Documents Required For Applying Gas Connection Before submitting your application for new domestic gas connection, please keep the following in mind: Surrender your cylinder and pressure regulator to your distributor. One of the following documents needed when applying for a gas connection: Deposit your receipt and dgcc to the distributor, and he will give you. Lpg gas connection | eligibility and documentation required for getting a. What Are The Documents Required For Applying Gas Connection.
From thegreenlightbox.blogspot.com
Best Letter Format Indane Gas Transfer Letter Format What Are The Documents Required For Applying Gas Connection Before submitting your application for new domestic gas connection, please keep the following in mind: The facility to submit the application through website is for the domestic. When applying for a new bharat gas connection, whether offline or online, you. Surrender your cylinder and pressure regulator to your distributor. One of the following documents needed when applying for a gas. What Are The Documents Required For Applying Gas Connection.
From paytm.com
Know About New Bharat Gas Connection, Cylinder, Price and Online What Are The Documents Required For Applying Gas Connection Lpg gas connection | eligibility and documentation required for getting a new lpg connection | how to refill an lpg gas cylinder. Surrender your cylinder and pressure regulator to your distributor. When applying for a new bharat gas connection, whether offline or online, you. Before submitting your application for new domestic gas connection, please keep the following in mind: Deposit. What Are The Documents Required For Applying Gas Connection.
From www.lettersinenglish.com
NOC Letter for Gas Connection Transfer Sample No Objection What Are The Documents Required For Applying Gas Connection Ration card or valid residence proof that you will mention in. The facility to submit the application through website is for the domestic. Documents required for new bharat gas connection. Surrender your cylinder and pressure regulator to your distributor. Valid photo id that you will mention in the registration form 2. One of the following documents can be produced for. What Are The Documents Required For Applying Gas Connection.
From www.allapplication.xyz
Application for Applying New LPG Gas (3 Samples) What Are The Documents Required For Applying Gas Connection Surrender your cylinder and pressure regulator to your distributor. Deposit your receipt and dgcc to the distributor, and he will give you. Ration card or valid residence proof that you will mention in. The facility to submit the application through website is for the domestic. Lpg gas connection | eligibility and documentation required for getting a new lpg connection |. What Are The Documents Required For Applying Gas Connection.
From mygasconnection.in
My Gas Connection Portal What Are The Documents Required For Applying Gas Connection One of the following documents needed when applying for a gas connection: Before submitting your application for new domestic gas connection, please keep the following in mind: The facility to submit the application through website is for the domestic. Deposit your receipt and dgcc to the distributor, and he will give you. Ration card or valid residence proof that you. What Are The Documents Required For Applying Gas Connection.
From mygasconnection.in
[2024] How To Get A Gas Connection in Goa A Simple Guide What Are The Documents Required For Applying Gas Connection Documents required for new bharat gas connection. Valid photo id that you will mention in the registration form 2. One of the following documents can be produced for proof of residence: Lpg gas connection | eligibility and documentation required for getting a new lpg connection | how to refill an lpg gas cylinder. The facility to submit the application through. What Are The Documents Required For Applying Gas Connection.
From www.youtube.com
Application For Applying New LPG Gas For Your Home New Gas Connection What Are The Documents Required For Applying Gas Connection Deposit your receipt and dgcc to the distributor, and he will give you. Documents required for new bharat gas connection. Before submitting your application for new domestic gas connection, please keep the following in mind: Valid photo id that you will mention in the registration form 2. The facility to submit the application through website is for the domestic. One. What Are The Documents Required For Applying Gas Connection.
From www.youtube.com
Application Letter for New Gas Connection Application for New Gas What Are The Documents Required For Applying Gas Connection Valid photo id that you will mention in the registration form 2. When applying for a new bharat gas connection, whether offline or online, you. Ration card or valid residence proof that you will mention in. The facility to submit the application through website is for the domestic. One of the following documents needed when applying for a gas connection:. What Are The Documents Required For Applying Gas Connection.
From www.youtube.com
Lpg gas connection form kaise bhare How to fill lpg gas connection What Are The Documents Required For Applying Gas Connection Surrender your cylinder and pressure regulator to your distributor. Valid photo id that you will mention in the registration form 2. Lpg gas connection | eligibility and documentation required for getting a new lpg connection | how to refill an lpg gas cylinder. Before submitting your application for new domestic gas connection, please keep the following in mind: Ration card. What Are The Documents Required For Applying Gas Connection.
From gasconnectionroireru.blogspot.com
Gas Connection Gas Connection As Address Proof What Are The Documents Required For Applying Gas Connection Surrender your cylinder and pressure regulator to your distributor. Ration card or valid residence proof that you will mention in. Before submitting your application for new domestic gas connection, please keep the following in mind: One of the following documents needed when applying for a gas connection: When applying for a new bharat gas connection, whether offline or online, you.. What Are The Documents Required For Applying Gas Connection.
From www.youtube.com
Authorization Letter For New Electricity Connection Authorization What Are The Documents Required For Applying Gas Connection One of the following documents can be produced for proof of residence: Lpg gas connection | eligibility and documentation required for getting a new lpg connection | how to refill an lpg gas cylinder. When applying for a new bharat gas connection, whether offline or online, you. Documents required for new bharat gas connection. Ration card or valid residence proof. What Are The Documents Required For Applying Gas Connection.
From www.lettersinenglish.com
Demand Letter for Address Proof for Gas Connection Sample Letter What Are The Documents Required For Applying Gas Connection One of the following documents needed when applying for a gas connection: Documents required for new bharat gas connection. Deposit your receipt and dgcc to the distributor, and he will give you. Ration card or valid residence proof that you will mention in. One of the following documents can be produced for proof of residence: Before submitting your application for. What Are The Documents Required For Applying Gas Connection.
From www.lettersinenglish.com
Application for Cancellation of Water Connection Sample Letter for What Are The Documents Required For Applying Gas Connection Ration card or valid residence proof that you will mention in. When applying for a new bharat gas connection, whether offline or online, you. Lpg gas connection | eligibility and documentation required for getting a new lpg connection | how to refill an lpg gas cylinder. Before submitting your application for new domestic gas connection, please keep the following in. What Are The Documents Required For Applying Gas Connection.
From mylpggas.com
HP Gas New Connection Price 2023 Quick and Easy Steps » My LPG Gas What Are The Documents Required For Applying Gas Connection Documents required for new bharat gas connection. The facility to submit the application through website is for the domestic. When applying for a new bharat gas connection, whether offline or online, you. Ration card or valid residence proof that you will mention in. Before submitting your application for new domestic gas connection, please keep the following in mind: One of. What Are The Documents Required For Applying Gas Connection.
From gasconnectionroireru.blogspot.com
Gas Connection Gas Connection As Address Proof What Are The Documents Required For Applying Gas Connection Ration card or valid residence proof that you will mention in. One of the following documents needed when applying for a gas connection: When applying for a new bharat gas connection, whether offline or online, you. Deposit your receipt and dgcc to the distributor, and he will give you. Documents required for new bharat gas connection. One of the following. What Are The Documents Required For Applying Gas Connection.
From www.resolutionsamples.com
Board Resolution for Applying for New Electricity Connection What Are The Documents Required For Applying Gas Connection One of the following documents needed when applying for a gas connection: Lpg gas connection | eligibility and documentation required for getting a new lpg connection | how to refill an lpg gas cylinder. One of the following documents can be produced for proof of residence: Ration card or valid residence proof that you will mention in. Before submitting your. What Are The Documents Required For Applying Gas Connection.
From www.youtube.com
New gas connection required documents Nya gas lene ke liye What Are The Documents Required For Applying Gas Connection When applying for a new bharat gas connection, whether offline or online, you. Lpg gas connection | eligibility and documentation required for getting a new lpg connection | how to refill an lpg gas cylinder. One of the following documents can be produced for proof of residence: Ration card or valid residence proof that you will mention in. Before submitting. What Are The Documents Required For Applying Gas Connection.
From mygasconnection.in
[2024] How to Get a Gas Connection in Bangalore A Simple Guide For You What Are The Documents Required For Applying Gas Connection The facility to submit the application through website is for the domestic. Documents required for new bharat gas connection. Before submitting your application for new domestic gas connection, please keep the following in mind: When applying for a new bharat gas connection, whether offline or online, you. One of the following documents needed when applying for a gas connection: Deposit. What Are The Documents Required For Applying Gas Connection.
From www.hsedocuments.com
HSE DOCUMENTSRISK ASSESSMENT FOR LIFTING OF GAS CYLINDER HSE Documents What Are The Documents Required For Applying Gas Connection When applying for a new bharat gas connection, whether offline or online, you. The facility to submit the application through website is for the domestic. One of the following documents needed when applying for a gas connection: One of the following documents can be produced for proof of residence: Ration card or valid residence proof that you will mention in.. What Are The Documents Required For Applying Gas Connection.
From www.snowys.com.au
POL & LCC27 Gas Fittings Everything You Need To Know Snowys Blog What Are The Documents Required For Applying Gas Connection Documents required for new bharat gas connection. Valid photo id that you will mention in the registration form 2. Ration card or valid residence proof that you will mention in. Lpg gas connection | eligibility and documentation required for getting a new lpg connection | how to refill an lpg gas cylinder. Deposit your receipt and dgcc to the distributor,. What Are The Documents Required For Applying Gas Connection.
From www.youtube.com
Indane gas new connection online apply 2022 Price 💰 required What Are The Documents Required For Applying Gas Connection Deposit your receipt and dgcc to the distributor, and he will give you. One of the following documents can be produced for proof of residence: The facility to submit the application through website is for the domestic. Lpg gas connection | eligibility and documentation required for getting a new lpg connection | how to refill an lpg gas cylinder. When. What Are The Documents Required For Applying Gas Connection.
From mygasconnection.in
How to Get a Gas Connection in Indore A Simple Guide for You What Are The Documents Required For Applying Gas Connection Deposit your receipt and dgcc to the distributor, and he will give you. One of the following documents needed when applying for a gas connection: Ration card or valid residence proof that you will mention in. One of the following documents can be produced for proof of residence: Valid photo id that you will mention in the registration form 2.. What Are The Documents Required For Applying Gas Connection.
From yourdubaiguide.com
How to get a new gas connection in Dubai? Procedure, Documents What Are The Documents Required For Applying Gas Connection Documents required for new bharat gas connection. The facility to submit the application through website is for the domestic. One of the following documents needed when applying for a gas connection: Lpg gas connection | eligibility and documentation required for getting a new lpg connection | how to refill an lpg gas cylinder. Ration card or valid residence proof that. What Are The Documents Required For Applying Gas Connection.
From www.shrivardhantech.in
Free LPG Gas Without BPL Card, Apply Online, Required Documents, How To What Are The Documents Required For Applying Gas Connection One of the following documents needed when applying for a gas connection: When applying for a new bharat gas connection, whether offline or online, you. Lpg gas connection | eligibility and documentation required for getting a new lpg connection | how to refill an lpg gas cylinder. Documents required for new bharat gas connection. Deposit your receipt and dgcc to. What Are The Documents Required For Applying Gas Connection.