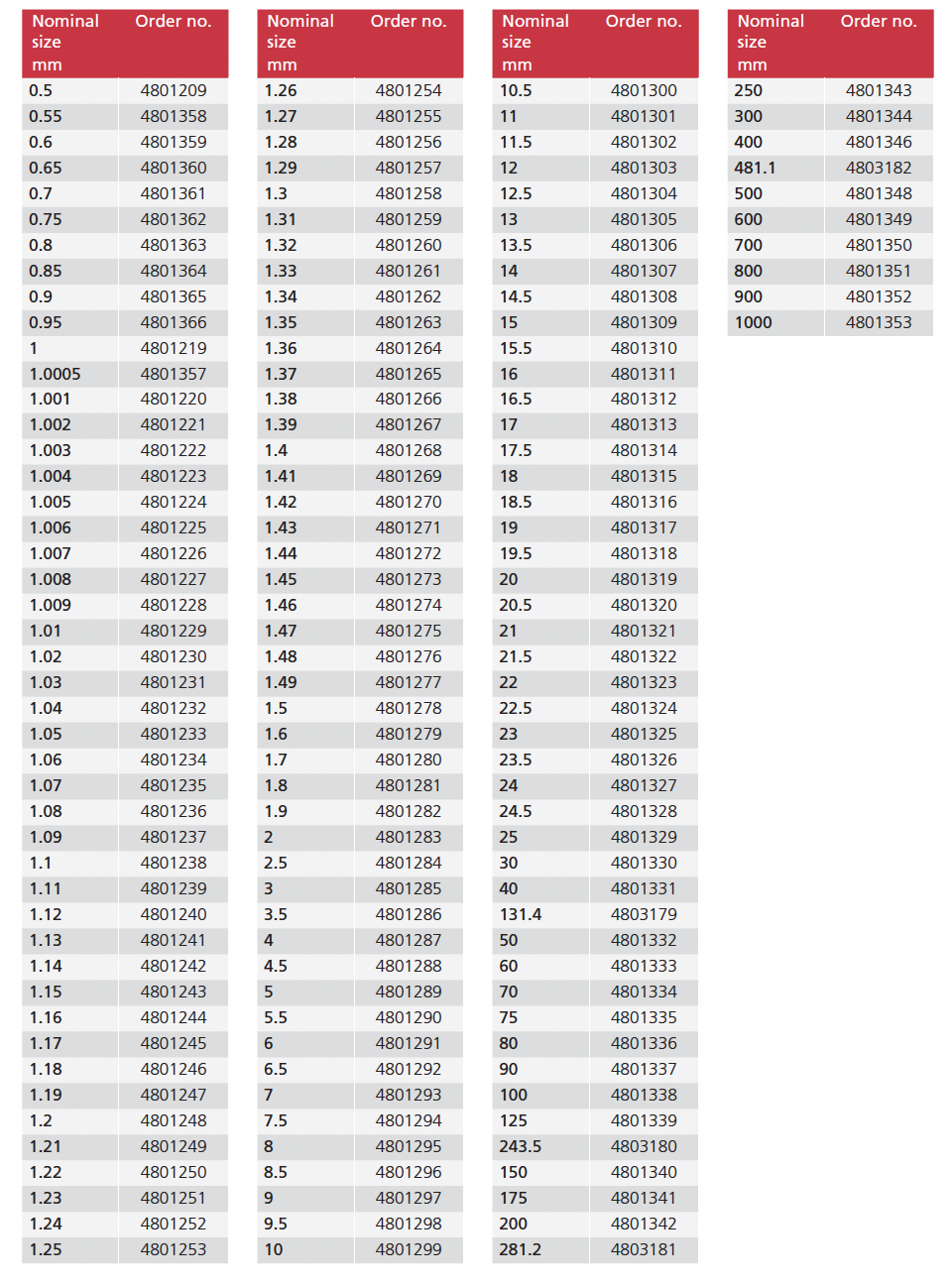
Gage Block Grade 1 Tolerance . The size tolerances are the same as b89.1.9 grade as1, but the tolerances for flatness and variation in length (parallelism) are similar to. Iso3650:1998 metric gauge block tolerances tolerances nominal calibration grade k grade 0 grade 1 grade 2 over (mm) up. Chapter 3 discusses the physical. Asme which is the prevailing standard defines the properties (the gauge blocks’ tolerance and limit deviation) of gauge blocks for gauge block length from 0 to 40 inches. View and download our metric gauge block tolerances (iso 3650:1998) datasheet(s) from opus metrology. It also regulates them in metric (mm) from 0 mm up to 1000 mm. Get in touch today to find out. Asme b89.1.9 standard specifies the most important design and metrological characteristics of gage blocks with a rectangular or square. Refer to the following table to select the gage block grade according to usage. Gauge blocks, appropriate definitions and a discussion of pertinent national and international standards. Gage (gauge) blocks are available in various grades, depending on their intended use.
from mungfali.com
Asme b89.1.9 standard specifies the most important design and metrological characteristics of gage blocks with a rectangular or square. Get in touch today to find out. Gauge blocks, appropriate definitions and a discussion of pertinent national and international standards. The size tolerances are the same as b89.1.9 grade as1, but the tolerances for flatness and variation in length (parallelism) are similar to. Refer to the following table to select the gage block grade according to usage. Chapter 3 discusses the physical. Asme which is the prevailing standard defines the properties (the gauge blocks’ tolerance and limit deviation) of gauge blocks for gauge block length from 0 to 40 inches. Gage (gauge) blocks are available in various grades, depending on their intended use. Iso3650:1998 metric gauge block tolerances tolerances nominal calibration grade k grade 0 grade 1 grade 2 over (mm) up. View and download our metric gauge block tolerances (iso 3650:1998) datasheet(s) from opus metrology.
Gage Block Tolerance Chart
Gage Block Grade 1 Tolerance Asme which is the prevailing standard defines the properties (the gauge blocks’ tolerance and limit deviation) of gauge blocks for gauge block length from 0 to 40 inches. Gage (gauge) blocks are available in various grades, depending on their intended use. Get in touch today to find out. Refer to the following table to select the gage block grade according to usage. Gauge blocks, appropriate definitions and a discussion of pertinent national and international standards. View and download our metric gauge block tolerances (iso 3650:1998) datasheet(s) from opus metrology. It also regulates them in metric (mm) from 0 mm up to 1000 mm. Chapter 3 discusses the physical. Iso3650:1998 metric gauge block tolerances tolerances nominal calibration grade k grade 0 grade 1 grade 2 over (mm) up. The size tolerances are the same as b89.1.9 grade as1, but the tolerances for flatness and variation in length (parallelism) are similar to. Asme b89.1.9 standard specifies the most important design and metrological characteristics of gage blocks with a rectangular or square. Asme which is the prevailing standard defines the properties (the gauge blocks’ tolerance and limit deviation) of gauge blocks for gauge block length from 0 to 40 inches.
From cme-tools.com
47 PCS/SET METRIC GAGE BLOCK SET, DIN861 GRADE 1 W. General CERTS. 70 Gage Block Grade 1 Tolerance Iso3650:1998 metric gauge block tolerances tolerances nominal calibration grade k grade 0 grade 1 grade 2 over (mm) up. Asme which is the prevailing standard defines the properties (the gauge blocks’ tolerance and limit deviation) of gauge blocks for gauge block length from 0 to 40 inches. Asme b89.1.9 standard specifies the most important design and metrological characteristics of gage. Gage Block Grade 1 Tolerance.
From mavink.com
Gage Makers Tolerance Chart Gage Block Grade 1 Tolerance Gage (gauge) blocks are available in various grades, depending on their intended use. Iso3650:1998 metric gauge block tolerances tolerances nominal calibration grade k grade 0 grade 1 grade 2 over (mm) up. Refer to the following table to select the gage block grade according to usage. It also regulates them in metric (mm) from 0 mm up to 1000 mm.. Gage Block Grade 1 Tolerance.
From mungfali.com
Gage Block Tolerance Chart Gage Block Grade 1 Tolerance Refer to the following table to select the gage block grade according to usage. Iso3650:1998 metric gauge block tolerances tolerances nominal calibration grade k grade 0 grade 1 grade 2 over (mm) up. It also regulates them in metric (mm) from 0 mm up to 1000 mm. Chapter 3 discusses the physical. Asme which is the prevailing standard defines the. Gage Block Grade 1 Tolerance.
From cme-tools.com
47 PCS/SET METRIC GAGE BLOCK SET, DIN861 GRADE 1 W. General CERTS. 70 Gage Block Grade 1 Tolerance Gage (gauge) blocks are available in various grades, depending on their intended use. Asme b89.1.9 standard specifies the most important design and metrological characteristics of gage blocks with a rectangular or square. Get in touch today to find out. It also regulates them in metric (mm) from 0 mm up to 1000 mm. The size tolerances are the same as. Gage Block Grade 1 Tolerance.
From www.besmicoptic.com
MarGage 417/1 ngular gage blocks made of steel Tolerance class 1 Gage Block Grade 1 Tolerance It also regulates them in metric (mm) from 0 mm up to 1000 mm. Asme b89.1.9 standard specifies the most important design and metrological characteristics of gage blocks with a rectangular or square. Chapter 3 discusses the physical. Asme which is the prevailing standard defines the properties (the gauge blocks’ tolerance and limit deviation) of gauge blocks for gauge block. Gage Block Grade 1 Tolerance.
From mavink.com
Gage Block Tolerances Gage Block Grade 1 Tolerance Asme which is the prevailing standard defines the properties (the gauge blocks’ tolerance and limit deviation) of gauge blocks for gauge block length from 0 to 40 inches. Refer to the following table to select the gage block grade according to usage. It also regulates them in metric (mm) from 0 mm up to 1000 mm. Asme b89.1.9 standard specifies. Gage Block Grade 1 Tolerance.
From willrich.com
Gagemakers Tolerance Chart Willich Precision Instruments Gage Block Grade 1 Tolerance The size tolerances are the same as b89.1.9 grade as1, but the tolerances for flatness and variation in length (parallelism) are similar to. Refer to the following table to select the gage block grade according to usage. Gage (gauge) blocks are available in various grades, depending on their intended use. Asme b89.1.9 standard specifies the most important design and metrological. Gage Block Grade 1 Tolerance.
From anthropology.iresearchnet.com
47PCS Gauge Block Set 1.005100mm Grade 1 Steel Gage Blocks With Wood Gage Block Grade 1 Tolerance Get in touch today to find out. Asme which is the prevailing standard defines the properties (the gauge blocks’ tolerance and limit deviation) of gauge blocks for gauge block length from 0 to 40 inches. It also regulates them in metric (mm) from 0 mm up to 1000 mm. Iso3650:1998 metric gauge block tolerances tolerances nominal calibration grade k grade. Gage Block Grade 1 Tolerance.
From www.modelenginemaker.com
Advise on cheap gage block set Gage Block Grade 1 Tolerance Iso3650:1998 metric gauge block tolerances tolerances nominal calibration grade k grade 0 grade 1 grade 2 over (mm) up. Gauge blocks, appropriate definitions and a discussion of pertinent national and international standards. Chapter 3 discusses the physical. It also regulates them in metric (mm) from 0 mm up to 1000 mm. Get in touch today to find out. View and. Gage Block Grade 1 Tolerance.
From www.crossco.com
Gage Block Calibration Services Precise Tolerances & Standards Gage Block Grade 1 Tolerance Asme which is the prevailing standard defines the properties (the gauge blocks’ tolerance and limit deviation) of gauge blocks for gauge block length from 0 to 40 inches. View and download our metric gauge block tolerances (iso 3650:1998) datasheet(s) from opus metrology. Iso3650:1998 metric gauge block tolerances tolerances nominal calibration grade k grade 0 grade 1 grade 2 over (mm). Gage Block Grade 1 Tolerance.
From cme-tools.com
81 PCS GAGE BLOCK, GRADE AS1 W. CERTIFICATE, tolerance 12 microinch Gage Block Grade 1 Tolerance View and download our metric gauge block tolerances (iso 3650:1998) datasheet(s) from opus metrology. Gage (gauge) blocks are available in various grades, depending on their intended use. Iso3650:1998 metric gauge block tolerances tolerances nominal calibration grade k grade 0 grade 1 grade 2 over (mm) up. Get in touch today to find out. Asme b89.1.9 standard specifies the most important. Gage Block Grade 1 Tolerance.
From mungfali.com
Gage Block Tolerance Chart Gage Block Grade 1 Tolerance Get in touch today to find out. The size tolerances are the same as b89.1.9 grade as1, but the tolerances for flatness and variation in length (parallelism) are similar to. View and download our metric gauge block tolerances (iso 3650:1998) datasheet(s) from opus metrology. Gauge blocks, appropriate definitions and a discussion of pertinent national and international standards. Chapter 3 discusses. Gage Block Grade 1 Tolerance.
From cme-tools.com
81 PCS GAGE BLOCK, GRADE AS1 W. CERTIFICATE, tolerance 12 microinch Gage Block Grade 1 Tolerance Refer to the following table to select the gage block grade according to usage. Iso3650:1998 metric gauge block tolerances tolerances nominal calibration grade k grade 0 grade 1 grade 2 over (mm) up. Asme b89.1.9 standard specifies the most important design and metrological characteristics of gage blocks with a rectangular or square. Asme which is the prevailing standard defines the. Gage Block Grade 1 Tolerance.
From emin.asia
INSIZE 4101B200 Individual Steel Gage Block (Grade 1, 200mm) Gage Block Grade 1 Tolerance Asme which is the prevailing standard defines the properties (the gauge blocks’ tolerance and limit deviation) of gauge blocks for gauge block length from 0 to 40 inches. Get in touch today to find out. The size tolerances are the same as b89.1.9 grade as1, but the tolerances for flatness and variation in length (parallelism) are similar to. View and. Gage Block Grade 1 Tolerance.
From mungfali.com
Gage Block Tolerance Chart Gage Block Grade 1 Tolerance The size tolerances are the same as b89.1.9 grade as1, but the tolerances for flatness and variation in length (parallelism) are similar to. Refer to the following table to select the gage block grade according to usage. Chapter 3 discusses the physical. Gauge blocks, appropriate definitions and a discussion of pertinent national and international standards. Asme which is the prevailing. Gage Block Grade 1 Tolerance.
From mungfali.com
Gage Block Tolerance Chart Gage Block Grade 1 Tolerance Iso3650:1998 metric gauge block tolerances tolerances nominal calibration grade k grade 0 grade 1 grade 2 over (mm) up. Chapter 3 discusses the physical. View and download our metric gauge block tolerances (iso 3650:1998) datasheet(s) from opus metrology. Asme which is the prevailing standard defines the properties (the gauge blocks’ tolerance and limit deviation) of gauge blocks for gauge block. Gage Block Grade 1 Tolerance.
From willrich.com
Mitutoyo Square STEEL Gage Block Sets Metric Willrich Precision Gage Block Grade 1 Tolerance Iso3650:1998 metric gauge block tolerances tolerances nominal calibration grade k grade 0 grade 1 grade 2 over (mm) up. Get in touch today to find out. View and download our metric gauge block tolerances (iso 3650:1998) datasheet(s) from opus metrology. It also regulates them in metric (mm) from 0 mm up to 1000 mm. Gauge blocks, appropriate definitions and a. Gage Block Grade 1 Tolerance.
From www.globalspec.com
Gage Blocks Selection Guide Types, Features, Applications GlobalSpec Gage Block Grade 1 Tolerance Iso3650:1998 metric gauge block tolerances tolerances nominal calibration grade k grade 0 grade 1 grade 2 over (mm) up. It also regulates them in metric (mm) from 0 mm up to 1000 mm. Gage (gauge) blocks are available in various grades, depending on their intended use. Gauge blocks, appropriate definitions and a discussion of pertinent national and international standards. Get. Gage Block Grade 1 Tolerance.
From www.diesella.com
Steel gage block set 47 pcs. tolerance class 1 Gage Block Grade 1 Tolerance Gauge blocks, appropriate definitions and a discussion of pertinent national and international standards. Asme b89.1.9 standard specifies the most important design and metrological characteristics of gage blocks with a rectangular or square. Get in touch today to find out. View and download our metric gauge block tolerances (iso 3650:1998) datasheet(s) from opus metrology. It also regulates them in metric (mm). Gage Block Grade 1 Tolerance.
From mungfali.com
Gage Block Tolerance Chart Gage Block Grade 1 Tolerance Gage (gauge) blocks are available in various grades, depending on their intended use. It also regulates them in metric (mm) from 0 mm up to 1000 mm. View and download our metric gauge block tolerances (iso 3650:1998) datasheet(s) from opus metrology. Asme which is the prevailing standard defines the properties (the gauge blocks’ tolerance and limit deviation) of gauge blocks. Gage Block Grade 1 Tolerance.
From www.penntoolco.com
Precise 8 Piece Long Gage Block Set (GRADE 1) 303530 Penn Tool Co Gage Block Grade 1 Tolerance Get in touch today to find out. Refer to the following table to select the gage block grade according to usage. The size tolerances are the same as b89.1.9 grade as1, but the tolerances for flatness and variation in length (parallelism) are similar to. View and download our metric gauge block tolerances (iso 3650:1998) datasheet(s) from opus metrology. Iso3650:1998 metric. Gage Block Grade 1 Tolerance.
From mungfali.com
Gage Block Tolerance Chart Gage Block Grade 1 Tolerance Gauge blocks, appropriate definitions and a discussion of pertinent national and international standards. Refer to the following table to select the gage block grade according to usage. The size tolerances are the same as b89.1.9 grade as1, but the tolerances for flatness and variation in length (parallelism) are similar to. Asme b89.1.9 standard specifies the most important design and metrological. Gage Block Grade 1 Tolerance.
From cme-tools.com
81 PCS GAGE BLOCKS, GRADE AS0 W. CERTIFICATE, tolerance 4 microinch Gage Block Grade 1 Tolerance Chapter 3 discusses the physical. Gage (gauge) blocks are available in various grades, depending on their intended use. Refer to the following table to select the gage block grade according to usage. Get in touch today to find out. Iso3650:1998 metric gauge block tolerances tolerances nominal calibration grade k grade 0 grade 1 grade 2 over (mm) up. It also. Gage Block Grade 1 Tolerance.
From www.slideshare.net
The gage block handbook Gage Block Grade 1 Tolerance Chapter 3 discusses the physical. Asme b89.1.9 standard specifies the most important design and metrological characteristics of gage blocks with a rectangular or square. View and download our metric gauge block tolerances (iso 3650:1998) datasheet(s) from opus metrology. Gauge blocks, appropriate definitions and a discussion of pertinent national and international standards. Asme which is the prevailing standard defines the properties. Gage Block Grade 1 Tolerance.
From bceweb.org
Gage Block Tolerance Chart A Visual Reference of Charts Chart Master Gage Block Grade 1 Tolerance Gauge blocks, appropriate definitions and a discussion of pertinent national and international standards. Iso3650:1998 metric gauge block tolerances tolerances nominal calibration grade k grade 0 grade 1 grade 2 over (mm) up. View and download our metric gauge block tolerances (iso 3650:1998) datasheet(s) from opus metrology. Asme which is the prevailing standard defines the properties (the gauge blocks’ tolerance and. Gage Block Grade 1 Tolerance.
From cme-tools.com
81 PCS GAGE BLOCK, GRADE AS1 W. CERTIFICATE, tolerance 12 microinch Gage Block Grade 1 Tolerance Chapter 3 discusses the physical. It also regulates them in metric (mm) from 0 mm up to 1000 mm. The size tolerances are the same as b89.1.9 grade as1, but the tolerances for flatness and variation in length (parallelism) are similar to. Asme b89.1.9 standard specifies the most important design and metrological characteristics of gage blocks with a rectangular or. Gage Block Grade 1 Tolerance.
From mungfali.com
Gage Block Tolerance Chart Gage Block Grade 1 Tolerance It also regulates them in metric (mm) from 0 mm up to 1000 mm. Gage (gauge) blocks are available in various grades, depending on their intended use. Asme b89.1.9 standard specifies the most important design and metrological characteristics of gage blocks with a rectangular or square. Gauge blocks, appropriate definitions and a discussion of pertinent national and international standards. Asme. Gage Block Grade 1 Tolerance.
From mungfali.com
Gage Block Tolerance Chart Gage Block Grade 1 Tolerance Refer to the following table to select the gage block grade according to usage. Chapter 3 discusses the physical. Asme which is the prevailing standard defines the properties (the gauge blocks’ tolerance and limit deviation) of gauge blocks for gauge block length from 0 to 40 inches. Gauge blocks, appropriate definitions and a discussion of pertinent national and international standards.. Gage Block Grade 1 Tolerance.
From www.indiamart.com
Steel Mitutoyo, 87 Pieces Grade 1, Slip Gauge Block Set ( P/N 516947 Gage Block Grade 1 Tolerance Asme which is the prevailing standard defines the properties (the gauge blocks’ tolerance and limit deviation) of gauge blocks for gauge block length from 0 to 40 inches. Gage (gauge) blocks are available in various grades, depending on their intended use. Get in touch today to find out. It also regulates them in metric (mm) from 0 mm up to. Gage Block Grade 1 Tolerance.
From mapletools.ca
87 Pcs/set Metric Gage Block Grade 1 Gage Block Grade 1 Tolerance Get in touch today to find out. Refer to the following table to select the gage block grade according to usage. Iso3650:1998 metric gauge block tolerances tolerances nominal calibration grade k grade 0 grade 1 grade 2 over (mm) up. Gage (gauge) blocks are available in various grades, depending on their intended use. The size tolerances are the same as. Gage Block Grade 1 Tolerance.
From www.chegg.com
Tolerance grades can find in this chart And draw the Gage Block Grade 1 Tolerance Asme which is the prevailing standard defines the properties (the gauge blocks’ tolerance and limit deviation) of gauge blocks for gauge block length from 0 to 40 inches. It also regulates them in metric (mm) from 0 mm up to 1000 mm. Gauge blocks, appropriate definitions and a discussion of pertinent national and international standards. Gage (gauge) blocks are available. Gage Block Grade 1 Tolerance.
From cme-tools.com
47 PCS/SET METRIC GAGE BLOCK SET, DIN861 GRADE 1 W. General CERTS. 70 Gage Block Grade 1 Tolerance View and download our metric gauge block tolerances (iso 3650:1998) datasheet(s) from opus metrology. Get in touch today to find out. It also regulates them in metric (mm) from 0 mm up to 1000 mm. Gauge blocks, appropriate definitions and a discussion of pertinent national and international standards. Chapter 3 discusses the physical. The size tolerances are the same as. Gage Block Grade 1 Tolerance.
From cme-tools.com
81 PCS GAGE BLOCKS, GRADE AS0 W. CERTIFICATE, tolerance 4 microinch Gage Block Grade 1 Tolerance Get in touch today to find out. Gauge blocks, appropriate definitions and a discussion of pertinent national and international standards. The size tolerances are the same as b89.1.9 grade as1, but the tolerances for flatness and variation in length (parallelism) are similar to. View and download our metric gauge block tolerances (iso 3650:1998) datasheet(s) from opus metrology. Gage (gauge) blocks. Gage Block Grade 1 Tolerance.
From cme-tools.com
81 PCS GAGE BLOCK, GRADE AS1 W. CERTIFICATE, tolerance 12 microinch Gage Block Grade 1 Tolerance Gauge blocks, appropriate definitions and a discussion of pertinent national and international standards. Gage (gauge) blocks are available in various grades, depending on their intended use. Asme b89.1.9 standard specifies the most important design and metrological characteristics of gage blocks with a rectangular or square. Iso3650:1998 metric gauge block tolerances tolerances nominal calibration grade k grade 0 grade 1 grade. Gage Block Grade 1 Tolerance.
From www.cottandco.com
Gage Block Set, 88 Blocks, Grade 1 Gage Block Grade 1 Tolerance Gauge blocks, appropriate definitions and a discussion of pertinent national and international standards. Chapter 3 discusses the physical. The size tolerances are the same as b89.1.9 grade as1, but the tolerances for flatness and variation in length (parallelism) are similar to. View and download our metric gauge block tolerances (iso 3650:1998) datasheet(s) from opus metrology. Asme which is the prevailing. Gage Block Grade 1 Tolerance.