Teeter-Totter Use In Sentence . In this article, we will explore. Think of a subject that is on the brink of tipping or is in a precarious position. They drop a stone plank on a bulging rock which they will use as a teeter totter. To balance precariously on something. Find typical usage patterns (collocations)/phrases/context for teeter. Identify an action or scenario where something is unsteady or balancing uncertainly. To be in an especially. A piece of playground equipment consisting of a long board with seats at either end, with a pivot point in the center. How to use teeter totter in a sentence? To use “teeter” in a sentence, simply follow these steps: If you ever wondered how to use the phrase “teeter totter” in a sentence, you’ve come to the right place.
from www.youtube.com
A piece of playground equipment consisting of a long board with seats at either end, with a pivot point in the center. They drop a stone plank on a bulging rock which they will use as a teeter totter. In this article, we will explore. Find typical usage patterns (collocations)/phrases/context for teeter. Identify an action or scenario where something is unsteady or balancing uncertainly. To be in an especially. If you ever wondered how to use the phrase “teeter totter” in a sentence, you’ve come to the right place. To balance precariously on something. To use “teeter” in a sentence, simply follow these steps: How to use teeter totter in a sentence?
Use found objects to create a Teeter Totter YouTube
Teeter-Totter Use In Sentence Identify an action or scenario where something is unsteady or balancing uncertainly. How to use teeter totter in a sentence? Find typical usage patterns (collocations)/phrases/context for teeter. In this article, we will explore. Think of a subject that is on the brink of tipping or is in a precarious position. To be in an especially. They drop a stone plank on a bulging rock which they will use as a teeter totter. To balance precariously on something. Identify an action or scenario where something is unsteady or balancing uncertainly. A piece of playground equipment consisting of a long board with seats at either end, with a pivot point in the center. If you ever wondered how to use the phrase “teeter totter” in a sentence, you’ve come to the right place. To use “teeter” in a sentence, simply follow these steps:
From www.slideserve.com
PPT The Accounting Cycle PowerPoint Presentation, free download ID Teeter-Totter Use In Sentence To balance precariously on something. How to use teeter totter in a sentence? If you ever wondered how to use the phrase “teeter totter” in a sentence, you’ve come to the right place. To use “teeter” in a sentence, simply follow these steps: They drop a stone plank on a bulging rock which they will use as a teeter totter.. Teeter-Totter Use In Sentence.
From blog.westplay.ca
Main benefits of teetertotters for children Westplay Canada Blog Teeter-Totter Use In Sentence To balance precariously on something. In this article, we will explore. They drop a stone plank on a bulging rock which they will use as a teeter totter. How to use teeter totter in a sentence? If you ever wondered how to use the phrase “teeter totter” in a sentence, you’ve come to the right place. Identify an action or. Teeter-Totter Use In Sentence.
From thecontentauthority.com
Teeter vs Totter When To Use Each One In Writing? Teeter-Totter Use In Sentence To use “teeter” in a sentence, simply follow these steps: To balance precariously on something. Think of a subject that is on the brink of tipping or is in a precarious position. How to use teeter totter in a sentence? In this article, we will explore. They drop a stone plank on a bulging rock which they will use as. Teeter-Totter Use In Sentence.
From education-reimagined.org
The TeeterTotter Effect How to Avoid a Common Pitfall of Learner Teeter-Totter Use In Sentence Find typical usage patterns (collocations)/phrases/context for teeter. To be in an especially. To balance precariously on something. Think of a subject that is on the brink of tipping or is in a precarious position. If you ever wondered how to use the phrase “teeter totter” in a sentence, you’ve come to the right place. They drop a stone plank on. Teeter-Totter Use In Sentence.
From www.youtube.com
Grandkids on DIY Teeter Totter YouTube Teeter-Totter Use In Sentence To use “teeter” in a sentence, simply follow these steps: Find typical usage patterns (collocations)/phrases/context for teeter. To balance precariously on something. Think of a subject that is on the brink of tipping or is in a precarious position. If you ever wondered how to use the phrase “teeter totter” in a sentence, you’ve come to the right place. Identify. Teeter-Totter Use In Sentence.
From writersontheavenue.org
The TeeterTotter Writing Challenge Writers on the Avenue Teeter-Totter Use In Sentence To balance precariously on something. To be in an especially. Identify an action or scenario where something is unsteady or balancing uncertainly. Think of a subject that is on the brink of tipping or is in a precarious position. In this article, we will explore. To use “teeter” in a sentence, simply follow these steps: A piece of playground equipment. Teeter-Totter Use In Sentence.
From www.gauthmath.com
Solved Many students revised the sentence in the following way “The Teeter-Totter Use In Sentence Think of a subject that is on the brink of tipping or is in a precarious position. A piece of playground equipment consisting of a long board with seats at either end, with a pivot point in the center. Identify an action or scenario where something is unsteady or balancing uncertainly. To be in an especially. Find typical usage patterns. Teeter-Totter Use In Sentence.
From ownplayground.com
DIY How to Create a TeeterTotter for Adults OwnPlayground Teeter-Totter Use In Sentence In this article, we will explore. Identify an action or scenario where something is unsteady or balancing uncertainly. To be in an especially. To balance precariously on something. They drop a stone plank on a bulging rock which they will use as a teeter totter. How to use teeter totter in a sentence? To use “teeter” in a sentence, simply. Teeter-Totter Use In Sentence.
From www.youtube.com
OPERATION Teeter Totter! YouTube Teeter-Totter Use In Sentence To be in an especially. Find typical usage patterns (collocations)/phrases/context for teeter. In this article, we will explore. If you ever wondered how to use the phrase “teeter totter” in a sentence, you’ve come to the right place. How to use teeter totter in a sentence? To use “teeter” in a sentence, simply follow these steps: Identify an action or. Teeter-Totter Use In Sentence.
From www.startswithy.com
TEETER in a Sentence Examples 21 Ways to Use Teeter Teeter-Totter Use In Sentence If you ever wondered how to use the phrase “teeter totter” in a sentence, you’ve come to the right place. In this article, we will explore. Find typical usage patterns (collocations)/phrases/context for teeter. To use “teeter” in a sentence, simply follow these steps: They drop a stone plank on a bulging rock which they will use as a teeter totter.. Teeter-Totter Use In Sentence.
From leadersimago.com
Leadership Lessons from the TeeterTotter Leader's Imago Teeter-Totter Use In Sentence To balance precariously on something. How to use teeter totter in a sentence? Find typical usage patterns (collocations)/phrases/context for teeter. Think of a subject that is on the brink of tipping or is in a precarious position. If you ever wondered how to use the phrase “teeter totter” in a sentence, you’ve come to the right place. They drop a. Teeter-Totter Use In Sentence.
From thecontentauthority.com
How To Use "Teeter" In A Sentence Proper Usage Tips Teeter-Totter Use In Sentence Find typical usage patterns (collocations)/phrases/context for teeter. How to use teeter totter in a sentence? Think of a subject that is on the brink of tipping or is in a precarious position. Identify an action or scenario where something is unsteady or balancing uncertainly. To balance precariously on something. To use “teeter” in a sentence, simply follow these steps: They. Teeter-Totter Use In Sentence.
From www.protoolguide.com
How to Build a TeeterTotter? StepbyStep Guide Teeter-Totter Use In Sentence In this article, we will explore. A piece of playground equipment consisting of a long board with seats at either end, with a pivot point in the center. Find typical usage patterns (collocations)/phrases/context for teeter. They drop a stone plank on a bulging rock which they will use as a teeter totter. Identify an action or scenario where something is. Teeter-Totter Use In Sentence.
From kids.matttroy.net
How To Build A Teeter Totter For Kids Kids Matttroy Teeter-Totter Use In Sentence A piece of playground equipment consisting of a long board with seats at either end, with a pivot point in the center. To be in an especially. To use “teeter” in a sentence, simply follow these steps: Think of a subject that is on the brink of tipping or is in a precarious position. Find typical usage patterns (collocations)/phrases/context for. Teeter-Totter Use In Sentence.
From henrykarlo.wixsite.com
TeeterTotter vs Seesaw Understanding the Difference Teeter-Totter Use In Sentence To use “teeter” in a sentence, simply follow these steps: A piece of playground equipment consisting of a long board with seats at either end, with a pivot point in the center. Identify an action or scenario where something is unsteady or balancing uncertainly. They drop a stone plank on a bulging rock which they will use as a teeter. Teeter-Totter Use In Sentence.
From www.askdifference.com
Teeter vs. Totter — What’s the Difference? Teeter-Totter Use In Sentence They drop a stone plank on a bulging rock which they will use as a teeter totter. To use “teeter” in a sentence, simply follow these steps: If you ever wondered how to use the phrase “teeter totter” in a sentence, you’ve come to the right place. How to use teeter totter in a sentence? Find typical usage patterns (collocations)/phrases/context. Teeter-Totter Use In Sentence.
From teachthemechanism.com
The TeeterTotter Method Helping Students Visualize Electrophiles and Teeter-Totter Use In Sentence To use “teeter” in a sentence, simply follow these steps: In this article, we will explore. Identify an action or scenario where something is unsteady or balancing uncertainly. If you ever wondered how to use the phrase “teeter totter” in a sentence, you’ve come to the right place. They drop a stone plank on a bulging rock which they will. Teeter-Totter Use In Sentence.
From www.hunker.com
How Do I Build a TeeterTotter? Hunker Teeter-Totter Use In Sentence In this article, we will explore. If you ever wondered how to use the phrase “teeter totter” in a sentence, you’ve come to the right place. To use “teeter” in a sentence, simply follow these steps: Think of a subject that is on the brink of tipping or is in a precarious position. They drop a stone plank on a. Teeter-Totter Use In Sentence.
From fyouilnbg.blob.core.windows.net
Totter Meaning In English at Michael Hobdy blog Teeter-Totter Use In Sentence They drop a stone plank on a bulging rock which they will use as a teeter totter. Identify an action or scenario where something is unsteady or balancing uncertainly. To use “teeter” in a sentence, simply follow these steps: Think of a subject that is on the brink of tipping or is in a precarious position. Find typical usage patterns. Teeter-Totter Use In Sentence.
From www.showme.com
Torque (teeter totter) Science, Physics ShowMe Teeter-Totter Use In Sentence A piece of playground equipment consisting of a long board with seats at either end, with a pivot point in the center. They drop a stone plank on a bulging rock which they will use as a teeter totter. In this article, we will explore. To be in an especially. If you ever wondered how to use the phrase “teeter. Teeter-Totter Use In Sentence.
From www.ana-white.com
Wood Seesaw or Teeter Totter Ana White Teeter-Totter Use In Sentence To be in an especially. Find typical usage patterns (collocations)/phrases/context for teeter. Think of a subject that is on the brink of tipping or is in a precarious position. If you ever wondered how to use the phrase “teeter totter” in a sentence, you’ve come to the right place. Identify an action or scenario where something is unsteady or balancing. Teeter-Totter Use In Sentence.
From www.youtube.com
Teeter Totter YouTube Teeter-Totter Use In Sentence To balance precariously on something. Find typical usage patterns (collocations)/phrases/context for teeter. They drop a stone plank on a bulging rock which they will use as a teeter totter. If you ever wondered how to use the phrase “teeter totter” in a sentence, you’ve come to the right place. A piece of playground equipment consisting of a long board with. Teeter-Totter Use In Sentence.
From www.youtube.com
Swivel Teeter Totter YouTube Teeter-Totter Use In Sentence They drop a stone plank on a bulging rock which they will use as a teeter totter. If you ever wondered how to use the phrase “teeter totter” in a sentence, you’ve come to the right place. Identify an action or scenario where something is unsteady or balancing uncertainly. To be in an especially. To use “teeter” in a sentence,. Teeter-Totter Use In Sentence.
From www.travelinghandstands.com
Traveling Handstands TeeterTotter Teeter-Totter Use In Sentence In this article, we will explore. To balance precariously on something. Find typical usage patterns (collocations)/phrases/context for teeter. To use “teeter” in a sentence, simply follow these steps: Identify an action or scenario where something is unsteady or balancing uncertainly. Think of a subject that is on the brink of tipping or is in a precarious position. How to use. Teeter-Totter Use In Sentence.
From www.youtube.com
Use found objects to create a Teeter Totter YouTube Teeter-Totter Use In Sentence Identify an action or scenario where something is unsteady or balancing uncertainly. Find typical usage patterns (collocations)/phrases/context for teeter. To use “teeter” in a sentence, simply follow these steps: To be in an especially. How to use teeter totter in a sentence? If you ever wondered how to use the phrase “teeter totter” in a sentence, you’ve come to the. Teeter-Totter Use In Sentence.
From thecontentauthority.com
Toter vs Totter When To Use Each One In Writing? Teeter-Totter Use In Sentence Think of a subject that is on the brink of tipping or is in a precarious position. To use “teeter” in a sentence, simply follow these steps: In this article, we will explore. They drop a stone plank on a bulging rock which they will use as a teeter totter. Find typical usage patterns (collocations)/phrases/context for teeter. How to use. Teeter-Totter Use In Sentence.
From www.numerade.com
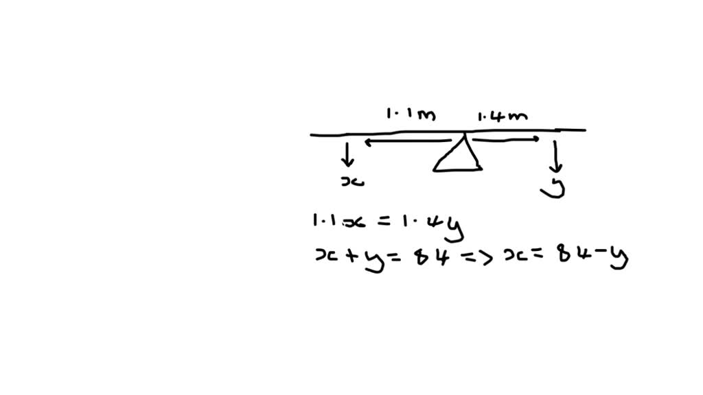
SOLVEDTwo students sit on either side of a teetertotter that is 2.8 m Teeter-Totter Use In Sentence Find typical usage patterns (collocations)/phrases/context for teeter. Identify an action or scenario where something is unsteady or balancing uncertainly. They drop a stone plank on a bulging rock which they will use as a teeter totter. To be in an especially. Think of a subject that is on the brink of tipping or is in a precarious position. In this. Teeter-Totter Use In Sentence.
From www.tjloganauthor.com
Teeter Totters and Other Lessons in Trust Teeter-Totter Use In Sentence To use “teeter” in a sentence, simply follow these steps: They drop a stone plank on a bulging rock which they will use as a teeter totter. In this article, we will explore. Identify an action or scenario where something is unsteady or balancing uncertainly. A piece of playground equipment consisting of a long board with seats at either end,. Teeter-Totter Use In Sentence.
From www.spencergrace.com
How a teetertotter can help you craft a persuasive message Spencer Grace Teeter-Totter Use In Sentence Find typical usage patterns (collocations)/phrases/context for teeter. Think of a subject that is on the brink of tipping or is in a precarious position. To balance precariously on something. They drop a stone plank on a bulging rock which they will use as a teeter totter. Identify an action or scenario where something is unsteady or balancing uncertainly. In this. Teeter-Totter Use In Sentence.
From www.pinterest.com
a dog standing on top of a blue and yellow ramp with the words teach Teeter-Totter Use In Sentence They drop a stone plank on a bulging rock which they will use as a teeter totter. Think of a subject that is on the brink of tipping or is in a precarious position. A piece of playground equipment consisting of a long board with seats at either end, with a pivot point in the center. To be in an. Teeter-Totter Use In Sentence.
From www.powerthesaurus.org
Teetertotter synonyms 149 Words and Phrases for Teetertotter Teeter-Totter Use In Sentence They drop a stone plank on a bulging rock which they will use as a teeter totter. To balance precariously on something. To use “teeter” in a sentence, simply follow these steps: Identify an action or scenario where something is unsteady or balancing uncertainly. If you ever wondered how to use the phrase “teeter totter” in a sentence, you’ve come. Teeter-Totter Use In Sentence.
From www.spencergrace.com
How a teetertotter can help you craft a persuasive message Spencer Grace Teeter-Totter Use In Sentence If you ever wondered how to use the phrase “teeter totter” in a sentence, you’ve come to the right place. A piece of playground equipment consisting of a long board with seats at either end, with a pivot point in the center. To balance precariously on something. To use “teeter” in a sentence, simply follow these steps: Identify an action. Teeter-Totter Use In Sentence.
From www.wisegeek.com
What is a Teeter Totter? (with pictures) Teeter-Totter Use In Sentence To balance precariously on something. To be in an especially. Identify an action or scenario where something is unsteady or balancing uncertainly. How to use teeter totter in a sentence? Think of a subject that is on the brink of tipping or is in a precarious position. Find typical usage patterns (collocations)/phrases/context for teeter. To use “teeter” in a sentence,. Teeter-Totter Use In Sentence.
From thecontentauthority.com
How To Use "Totter" In A Sentence Diving Deeper Teeter-Totter Use In Sentence To balance precariously on something. Think of a subject that is on the brink of tipping or is in a precarious position. Find typical usage patterns (collocations)/phrases/context for teeter. In this article, we will explore. To be in an especially. If you ever wondered how to use the phrase “teeter totter” in a sentence, you’ve come to the right place.. Teeter-Totter Use In Sentence.
From www.studocu.com
Teeter Totter Physics Lab 1 Investigating the Balance of a Teeter Teeter-Totter Use In Sentence To balance precariously on something. Think of a subject that is on the brink of tipping or is in a precarious position. To be in an especially. How to use teeter totter in a sentence? Identify an action or scenario where something is unsteady or balancing uncertainly. To use “teeter” in a sentence, simply follow these steps: In this article,. Teeter-Totter Use In Sentence.