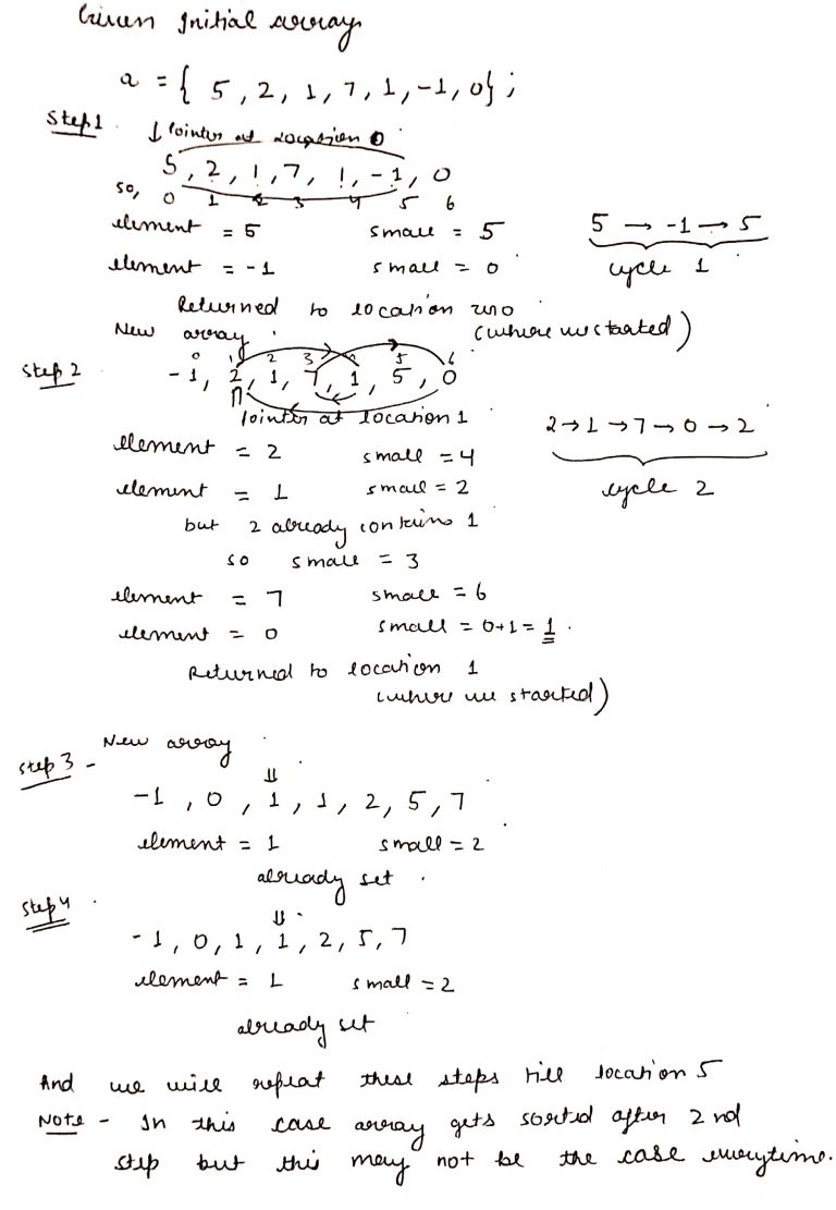
Cycle Sort Example . A single cycle of sorting array. It is particularly useful when the cost. Cycle sort is a comparison sorting algorithm that forces array to be factored into the number of cycles where each of them can be rotated to produce a sorted array. Cycle sort algorithm is useful for situations where memory write or element swap operations are costly. The cycle sorting method is a comparison sort that specializes in the least amount of writes. It is theoretically optimal in the sense that it reduces the number of writes to the original array. Cyclic sort is a comparison sort algorithm that is theoretically optimal in terms of the total number of writes to the original array. In other words, this sorting method will only write.
from www.teachstarter.com
Cyclic sort is a comparison sort algorithm that is theoretically optimal in terms of the total number of writes to the original array. Cycle sort algorithm is useful for situations where memory write or element swap operations are costly. It is particularly useful when the cost. A single cycle of sorting array. The cycle sorting method is a comparison sort that specializes in the least amount of writes. In other words, this sorting method will only write. It is theoretically optimal in the sense that it reduces the number of writes to the original array. Cycle sort is a comparison sorting algorithm that forces array to be factored into the number of cycles where each of them can be rotated to produce a sorted array.
Water Cycle Sort Sorting Activity Teach Starter
Cycle Sort Example It is particularly useful when the cost. In other words, this sorting method will only write. It is particularly useful when the cost. It is theoretically optimal in the sense that it reduces the number of writes to the original array. A single cycle of sorting array. The cycle sorting method is a comparison sort that specializes in the least amount of writes. Cycle sort algorithm is useful for situations where memory write or element swap operations are costly. Cyclic sort is a comparison sort algorithm that is theoretically optimal in terms of the total number of writes to the original array. Cycle sort is a comparison sorting algorithm that forces array to be factored into the number of cycles where each of them can be rotated to produce a sorted array.
From www.youtube.com
Cycle Sort YouTube Cycle Sort Example It is particularly useful when the cost. Cycle sort is a comparison sorting algorithm that forces array to be factored into the number of cycles where each of them can be rotated to produce a sorted array. A single cycle of sorting array. Cycle sort algorithm is useful for situations where memory write or element swap operations are costly. In. Cycle Sort Example.
From www.youtube.com
Cycle Sort Sorting Algorithms YouTube Cycle Sort Example Cycle sort is a comparison sorting algorithm that forces array to be factored into the number of cycles where each of them can be rotated to produce a sorted array. It is particularly useful when the cost. Cyclic sort is a comparison sort algorithm that is theoretically optimal in terms of the total number of writes to the original array.. Cycle Sort Example.
From oanaunciuleanu.wixsite.com
Cycle Sort in C++ Cycle Sort Example It is theoretically optimal in the sense that it reduces the number of writes to the original array. In other words, this sorting method will only write. Cyclic sort is a comparison sort algorithm that is theoretically optimal in terms of the total number of writes to the original array. Cycle sort is a comparison sorting algorithm that forces array. Cycle Sort Example.
From algodaily.com
AlgoDaily Cycling Through Cycle Sort Cycle Sort Example Cycle sort algorithm is useful for situations where memory write or element swap operations are costly. Cycle sort is a comparison sorting algorithm that forces array to be factored into the number of cycles where each of them can be rotated to produce a sorted array. In other words, this sorting method will only write. It is particularly useful when. Cycle Sort Example.
From tpet.co.uk
Teacher's Pet » Water Cycle Sorting Differentiated Activities Cycle Sort Example It is theoretically optimal in the sense that it reduces the number of writes to the original array. Cycle sort is a comparison sorting algorithm that forces array to be factored into the number of cycles where each of them can be rotated to produce a sorted array. The cycle sorting method is a comparison sort that specializes in the. Cycle Sort Example.
From www.youtube.com
Cycle Sort YouTube Cycle Sort Example The cycle sorting method is a comparison sort that specializes in the least amount of writes. Cycle sort is a comparison sorting algorithm that forces array to be factored into the number of cycles where each of them can be rotated to produce a sorted array. It is theoretically optimal in the sense that it reduces the number of writes. Cycle Sort Example.
From algodaily.com
AlgoDaily Cycling Through Cycle Sort Cycle Sort Example It is particularly useful when the cost. The cycle sorting method is a comparison sort that specializes in the least amount of writes. Cycle sort algorithm is useful for situations where memory write or element swap operations are costly. In other words, this sorting method will only write. Cyclic sort is a comparison sort algorithm that is theoretically optimal in. Cycle Sort Example.
From big-o.io
Example of Cycle Sort in Javascript BigO Cycle Sort Example The cycle sorting method is a comparison sort that specializes in the least amount of writes. Cyclic sort is a comparison sort algorithm that is theoretically optimal in terms of the total number of writes to the original array. Cycle sort is a comparison sorting algorithm that forces array to be factored into the number of cycles where each of. Cycle Sort Example.
From emre.me
Sorting Algorithms with Animations emre.me Cycle Sort Example The cycle sorting method is a comparison sort that specializes in the least amount of writes. A single cycle of sorting array. Cycle sort is a comparison sorting algorithm that forces array to be factored into the number of cycles where each of them can be rotated to produce a sorted array. In other words, this sorting method will only. Cycle Sort Example.
From online.visual-paradigm.com
Should I Cycle to School Today? Flowchart Template Cycle Sort Example Cycle sort is a comparison sorting algorithm that forces array to be factored into the number of cycles where each of them can be rotated to produce a sorted array. The cycle sorting method is a comparison sort that specializes in the least amount of writes. Cyclic sort is a comparison sort algorithm that is theoretically optimal in terms of. Cycle Sort Example.
From www.youtube.com
Cycle Sort YouTube Cycle Sort Example The cycle sorting method is a comparison sort that specializes in the least amount of writes. Cycle sort is a comparison sorting algorithm that forces array to be factored into the number of cycles where each of them can be rotated to produce a sorted array. Cyclic sort is a comparison sort algorithm that is theoretically optimal in terms of. Cycle Sort Example.
From www.crio.do
Time Complexity Examples Simplified 10 Min Guide Cycle Sort Example In other words, this sorting method will only write. It is particularly useful when the cost. Cycle sort algorithm is useful for situations where memory write or element swap operations are costly. Cyclic sort is a comparison sort algorithm that is theoretically optimal in terms of the total number of writes to the original array. The cycle sorting method is. Cycle Sort Example.
From www.youtube.com
Cycle Sort Algorithm in Python With Program YouTube Cycle Sort Example It is particularly useful when the cost. The cycle sorting method is a comparison sort that specializes in the least amount of writes. Cycle sort algorithm is useful for situations where memory write or element swap operations are costly. A single cycle of sorting array. Cycle sort is a comparison sorting algorithm that forces array to be factored into the. Cycle Sort Example.
From big-o.io
Cycle Sort Sorting Algorithm BigO Cycle Sort Example Cycle sort algorithm is useful for situations where memory write or element swap operations are costly. It is particularly useful when the cost. Cyclic sort is a comparison sort algorithm that is theoretically optimal in terms of the total number of writes to the original array. Cycle sort is a comparison sorting algorithm that forces array to be factored into. Cycle Sort Example.
From www.youtube.com
Cycle Sort Sorting Algorithms YouTube Cycle Sort Example Cycle sort is a comparison sorting algorithm that forces array to be factored into the number of cycles where each of them can be rotated to produce a sorted array. It is particularly useful when the cost. A single cycle of sorting array. The cycle sorting method is a comparison sort that specializes in the least amount of writes. In. Cycle Sort Example.
From www.codespeedy.com
Implementation of Cycle Sort in C++ CodeSpeedy Cycle Sort Example Cycle sort algorithm is useful for situations where memory write or element swap operations are costly. The cycle sorting method is a comparison sort that specializes in the least amount of writes. In other words, this sorting method will only write. It is theoretically optimal in the sense that it reduces the number of writes to the original array. It. Cycle Sort Example.
From www.slideteam.net
5s Cycle Of Principles And Examples Of Categories Sort Shine Cycle Sort Example It is particularly useful when the cost. Cycle sort is a comparison sorting algorithm that forces array to be factored into the number of cycles where each of them can be rotated to produce a sorted array. It is theoretically optimal in the sense that it reduces the number of writes to the original array. A single cycle of sorting. Cycle Sort Example.
From www.youtube.com
Array 43 Cyclic Sort Sort the elements from 1 to n YouTube Cycle Sort Example In other words, this sorting method will only write. It is particularly useful when the cost. Cyclic sort is a comparison sort algorithm that is theoretically optimal in terms of the total number of writes to the original array. It is theoretically optimal in the sense that it reduces the number of writes to the original array. Cycle sort is. Cycle Sort Example.
From cafedev.vn
Thuật toán Cycle Sort Giới thiệu chi tiết và code ví dụ trên nhiều Cycle Sort Example Cycle sort is a comparison sorting algorithm that forces array to be factored into the number of cycles where each of them can be rotated to produce a sorted array. The cycle sorting method is a comparison sort that specializes in the least amount of writes. It is particularly useful when the cost. In other words, this sorting method will. Cycle Sort Example.
From tpet.co.uk
Teacher's Pet » Water Cycle Sorting Cycle Sort Example Cycle sort is a comparison sorting algorithm that forces array to be factored into the number of cycles where each of them can be rotated to produce a sorted array. A single cycle of sorting array. It is theoretically optimal in the sense that it reduces the number of writes to the original array. Cyclic sort is a comparison sort. Cycle Sort Example.
From www.teachstarter.com
Water Cycle Sort Sorting Activity Teach Starter Cycle Sort Example It is theoretically optimal in the sense that it reduces the number of writes to the original array. Cyclic sort is a comparison sort algorithm that is theoretically optimal in terms of the total number of writes to the original array. It is particularly useful when the cost. In other words, this sorting method will only write. A single cycle. Cycle Sort Example.
From algodaily.com
AlgoDaily Cycling Through Cycle Sort Intro to Theory Cycle Sort Example In other words, this sorting method will only write. It is theoretically optimal in the sense that it reduces the number of writes to the original array. A single cycle of sorting array. Cycle sort algorithm is useful for situations where memory write or element swap operations are costly. Cycle sort is a comparison sorting algorithm that forces array to. Cycle Sort Example.
From www.w3resource.com
JavaScript Cycle sort Cycle Sort Example A single cycle of sorting array. It is theoretically optimal in the sense that it reduces the number of writes to the original array. It is particularly useful when the cost. Cycle sort is a comparison sorting algorithm that forces array to be factored into the number of cycles where each of them can be rotated to produce a sorted. Cycle Sort Example.
From devraj-jhala.hashnode.dev
Cycle Sort explained in detail Cycle Sort Example Cycle sort algorithm is useful for situations where memory write or element swap operations are costly. In other words, this sorting method will only write. Cycle sort is a comparison sorting algorithm that forces array to be factored into the number of cycles where each of them can be rotated to produce a sorted array. A single cycle of sorting. Cycle Sort Example.
From www.w3resource.com
Python Sort a list of elements using Cycle sort w3resource Cycle Sort Example Cycle sort algorithm is useful for situations where memory write or element swap operations are costly. It is theoretically optimal in the sense that it reduces the number of writes to the original array. Cycle sort is a comparison sorting algorithm that forces array to be factored into the number of cycles where each of them can be rotated to. Cycle Sort Example.
From www.youtube.com
Cycle Sort Sorting Algorithm YouTube Cycle Sort Example It is particularly useful when the cost. The cycle sorting method is a comparison sort that specializes in the least amount of writes. It is theoretically optimal in the sense that it reduces the number of writes to the original array. In other words, this sorting method will only write. Cycle sort algorithm is useful for situations where memory write. Cycle Sort Example.
From www.researchgate.net
(PDF) CycleSort A Linear Sorting Method Cycle Sort Example In other words, this sorting method will only write. The cycle sorting method is a comparison sort that specializes in the least amount of writes. Cycle sort is a comparison sorting algorithm that forces array to be factored into the number of cycles where each of them can be rotated to produce a sorted array. Cyclic sort is a comparison. Cycle Sort Example.
From www.researchgate.net
(PDF) Defining a Modified Cycle Sort Algorithm and Parallel Critique Cycle Sort Example It is particularly useful when the cost. Cycle sort is a comparison sorting algorithm that forces array to be factored into the number of cycles where each of them can be rotated to produce a sorted array. A single cycle of sorting array. Cyclic sort is a comparison sort algorithm that is theoretically optimal in terms of the total number. Cycle Sort Example.
From www.enjoyalgorithms.com
Sorting Algorithms Comparison Cycle Sort Example The cycle sorting method is a comparison sort that specializes in the least amount of writes. It is theoretically optimal in the sense that it reduces the number of writes to the original array. Cycle sort is a comparison sorting algorithm that forces array to be factored into the number of cycles where each of them can be rotated to. Cycle Sort Example.
From www.devglan.com
Different Sorting Algorithms DevGlan Cycle Sort Example It is theoretically optimal in the sense that it reduces the number of writes to the original array. Cyclic sort is a comparison sort algorithm that is theoretically optimal in terms of the total number of writes to the original array. Cycle sort is a comparison sorting algorithm that forces array to be factored into the number of cycles where. Cycle Sort Example.
From www.w3resource.com
C Program Sort numbers using Cycle Sort method w3resource Cycle Sort Example The cycle sorting method is a comparison sort that specializes in the least amount of writes. It is theoretically optimal in the sense that it reduces the number of writes to the original array. Cyclic sort is a comparison sort algorithm that is theoretically optimal in terms of the total number of writes to the original array. A single cycle. Cycle Sort Example.
From www.youtube.com
Cycle Sort Algorithm Sorting with Minimal Writes YouTube Cycle Sort Example Cycle sort algorithm is useful for situations where memory write or element swap operations are costly. A single cycle of sorting array. Cyclic sort is a comparison sort algorithm that is theoretically optimal in terms of the total number of writes to the original array. It is particularly useful when the cost. Cycle sort is a comparison sorting algorithm that. Cycle Sort Example.
From www.teachstarter.com
Water Cycle Sort Sorting Activity Teach Starter Cycle Sort Example It is theoretically optimal in the sense that it reduces the number of writes to the original array. The cycle sorting method is a comparison sort that specializes in the least amount of writes. Cyclic sort is a comparison sort algorithm that is theoretically optimal in terms of the total number of writes to the original array. It is particularly. Cycle Sort Example.
From iq.opengenus.org
Cycle Sort Cycle Sort Example The cycle sorting method is a comparison sort that specializes in the least amount of writes. Cycle sort algorithm is useful for situations where memory write or element swap operations are costly. It is particularly useful when the cost. Cycle sort is a comparison sorting algorithm that forces array to be factored into the number of cycles where each of. Cycle Sort Example.
From nanocellect.com
Cell Cycle Sorting using a Microfluidic Cell Sorter NanoCellect Cycle Sort Example In other words, this sorting method will only write. A single cycle of sorting array. Cycle sort algorithm is useful for situations where memory write or element swap operations are costly. It is theoretically optimal in the sense that it reduces the number of writes to the original array. The cycle sorting method is a comparison sort that specializes in. Cycle Sort Example.