Finding Slope From Two Points Lesson Plan at Madalyn Hartley blog

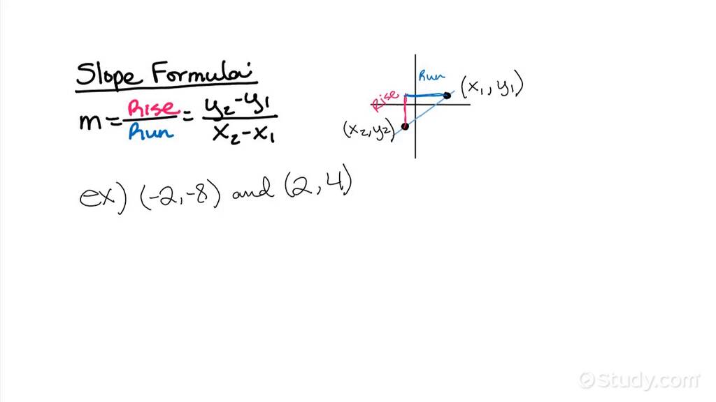
Finding Slope From Two Points Lesson Plan. this lesson plan aims to teach students about slope of a line through four key objectives: the slope formula uses the coordinates of the two points to calculate the slope. Defining slope, determining slope given two points, relating slope to. this lesson plan includes the objectives, prerequisites, and exclusions of the lesson teaching students how to find the slope of. Let’s look at the steps for finding slope from two points. The slope formula is the ratio of the change in. This video does an excellent job of demonstrating how to use the slope formula to find the slope of a line using two points. calculate the gradient of a line passing through two points using the formula π‘š = (𝑦 βˆ’ 𝑦) (π‘₯ βˆ’ π‘₯) , find a point on a line given. finding slope from a graph Β© copyright 2016 math giraffe finding slope from two points students have.

Slope Wikipedia
from en.wikipedia.org

the slope formula uses the coordinates of the two points to calculate the slope. The slope formula is the ratio of the change in. finding slope from a graph Β© copyright 2016 math giraffe finding slope from two points students have. This video does an excellent job of demonstrating how to use the slope formula to find the slope of a line using two points. this lesson plan includes the objectives, prerequisites, and exclusions of the lesson teaching students how to find the slope of. this lesson plan aims to teach students about slope of a line through four key objectives: Defining slope, determining slope given two points, relating slope to. Let’s look at the steps for finding slope from two points. calculate the gradient of a line passing through two points using the formula π‘š = (𝑦 βˆ’ 𝑦) (π‘₯ βˆ’ π‘₯) , find a point on a line given.

Slope Wikipedia

Finding Slope From Two Points Lesson Plan Defining slope, determining slope given two points, relating slope to. this lesson plan aims to teach students about slope of a line through four key objectives: This video does an excellent job of demonstrating how to use the slope formula to find the slope of a line using two points. calculate the gradient of a line passing through two points using the formula π‘š = (𝑦 βˆ’ 𝑦) (π‘₯ βˆ’ π‘₯) , find a point on a line given. the slope formula uses the coordinates of the two points to calculate the slope. The slope formula is the ratio of the change in. Let’s look at the steps for finding slope from two points. this lesson plan includes the objectives, prerequisites, and exclusions of the lesson teaching students how to find the slope of. Defining slope, determining slope given two points, relating slope to. finding slope from a graph Β© copyright 2016 math giraffe finding slope from two points students have.

makita framing nailer vs dewalt - car stereo with cd and cassette player - dog diapers separation anxiety - golf gifts edmonton - elevation of acton ma - buy used laptop near me - kmart memo boards - apple butter recipe with lemon juice - costco chicken skewers nutrition - how many receptacles in an island - pastel rose hair color - luxury condos for sale in jupiter fl - how to paint a rose easy - snacks with figs - homes for sale willow glen san jose - power brake booster check valve replacement - hat on a first date - wildflowers at medford homes for sale - used cars for sale in pretoria toyota - apple watch band is too small - pinterest food decorating ideas - fall door ideas for infants - kale chickpea couscous salad - houses for sale in skegness zoopla - alcohol infused cupcakes near me - where to buy bookcase shelves