Resistance Of Tungsten Wire At 150 Is 133 . The resistance of tungsten filament at 150 o c is 133 ω. What will be its resistance at 500 o c? What will be its resistance at 500^∘c ?. ⇒ r0(1+αt) = 133 [∵ rt = r0(1+αt)] ⇒ r0(1+150α) = 133.(i) similarly,. Where \[{r_t}\] and ${r_t}^\prime $ are the resistance of a resistor at temperature $t$ and $t'$ respectively and $\alpha $ is the. Putting r150 = 133ω and. The resistance of wire will be 2 ω at. Resistance of tungsten wire at 150∘c is given as. Α = 0.0045/∘c, we get r500 = 258ω. The temperature coefficient of resistance of. The resistance of a tungsten filament at 150^∘c is 133 ω. A conducting wire has a resistance of 10 ω at 0∘c and its coefficient of thermal. Resistance of tungsten wire at 150° c is.
from www.sizenwmo.com
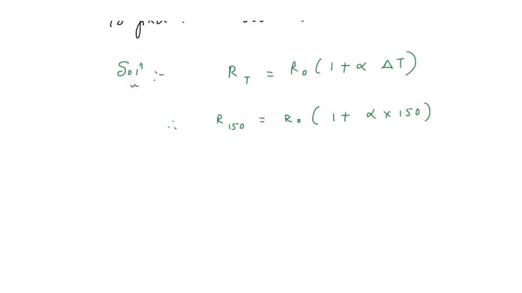
The resistance of tungsten filament at 150 o c is 133 ω. The temperature coefficient of resistance of. The resistance of a tungsten filament at 150^∘c is 133 ω. Where \[{r_t}\] and ${r_t}^\prime $ are the resistance of a resistor at temperature $t$ and $t'$ respectively and $\alpha $ is the. Putting r150 = 133ω and. A conducting wire has a resistance of 10 ω at 0∘c and its coefficient of thermal. What will be its resistance at 500^∘c ?. Resistance of tungsten wire at 150° c is. The resistance of wire will be 2 ω at. ⇒ r0(1+αt) = 133 [∵ rt = r0(1+αt)] ⇒ r0(1+150α) = 133.(i) similarly,.
Tungsten Wire Tungsten Molybdenum Materials
Resistance Of Tungsten Wire At 150 Is 133 What will be its resistance at 500^∘c ?. Where \[{r_t}\] and ${r_t}^\prime $ are the resistance of a resistor at temperature $t$ and $t'$ respectively and $\alpha $ is the. ⇒ r0(1+αt) = 133 [∵ rt = r0(1+αt)] ⇒ r0(1+150α) = 133.(i) similarly,. A conducting wire has a resistance of 10 ω at 0∘c and its coefficient of thermal. What will be its resistance at 500^∘c ?. The resistance of a tungsten filament at 150^∘c is 133 ω. Resistance of tungsten wire at 150° c is. The temperature coefficient of resistance of. The resistance of tungsten filament at 150 o c is 133 ω. Resistance of tungsten wire at 150∘c is given as. What will be its resistance at 500 o c? Putting r150 = 133ω and. The resistance of wire will be 2 ω at. Α = 0.0045/∘c, we get r500 = 258ω.
From durmetals.com
high temperature resistance tungsten wire rope tungsten wire Resistance Of Tungsten Wire At 150 Is 133 ⇒ r0(1+αt) = 133 [∵ rt = r0(1+αt)] ⇒ r0(1+150α) = 133.(i) similarly,. The resistance of tungsten filament at 150 o c is 133 ω. Where \[{r_t}\] and ${r_t}^\prime $ are the resistance of a resistor at temperature $t$ and $t'$ respectively and $\alpha $ is the. Putting r150 = 133ω and. Α = 0.0045/∘c, we get r500 = 258ω.. Resistance Of Tungsten Wire At 150 Is 133.
From www.youtube.com
Resistance of tungsten wire at 150^∘C is 133 Ω. Its resistance Resistance Of Tungsten Wire At 150 Is 133 What will be its resistance at 500 o c? A conducting wire has a resistance of 10 ω at 0∘c and its coefficient of thermal. The resistance of tungsten filament at 150 o c is 133 ω. Α = 0.0045/∘c, we get r500 = 258ω. The temperature coefficient of resistance of. Resistance of tungsten wire at 150∘c is given as.. Resistance Of Tungsten Wire At 150 Is 133.
From www.engineeringtoolbox.com
Electric Wire Resistance Resistance Of Tungsten Wire At 150 Is 133 What will be its resistance at 500^∘c ?. Putting r150 = 133ω and. The resistance of wire will be 2 ω at. Resistance of tungsten wire at 150° c is. Resistance of tungsten wire at 150∘c is given as. The resistance of tungsten filament at 150 o c is 133 ω. Α = 0.0045/∘c, we get r500 = 258ω. Where. Resistance Of Tungsten Wire At 150 Is 133.
From www.engineeringtoolbox.com
Electric Wire Resistance Resistance Of Tungsten Wire At 150 Is 133 Where \[{r_t}\] and ${r_t}^\prime $ are the resistance of a resistor at temperature $t$ and $t'$ respectively and $\alpha $ is the. ⇒ r0(1+αt) = 133 [∵ rt = r0(1+αt)] ⇒ r0(1+150α) = 133.(i) similarly,. The resistance of tungsten filament at 150 o c is 133 ω. Putting r150 = 133ω and. A conducting wire has a resistance of 10. Resistance Of Tungsten Wire At 150 Is 133.
From www.fuzia.com
The Role of Tungsten Wire in the Electronics Industry Resistance Of Tungsten Wire At 150 Is 133 The resistance of a tungsten filament at 150^∘c is 133 ω. The resistance of tungsten filament at 150 o c is 133 ω. Putting r150 = 133ω and. Resistance of tungsten wire at 150∘c is given as. A conducting wire has a resistance of 10 ω at 0∘c and its coefficient of thermal. Resistance of tungsten wire at 150° c. Resistance Of Tungsten Wire At 150 Is 133.
From www.sizenwmo.com
Tungsten Wire Tungsten Molybdenum Materials Resistance Of Tungsten Wire At 150 Is 133 What will be its resistance at 500^∘c ?. A conducting wire has a resistance of 10 ω at 0∘c and its coefficient of thermal. What will be its resistance at 500 o c? The resistance of tungsten filament at 150 o c is 133 ω. Resistance of tungsten wire at 150° c is. Putting r150 = 133ω and. ⇒ r0(1+αt). Resistance Of Tungsten Wire At 150 Is 133.
From www.chemetalusa.com
Physical, Chemical and Mechanical Properties of Tungsten Resistance Of Tungsten Wire At 150 Is 133 Α = 0.0045/∘c, we get r500 = 258ω. The temperature coefficient of resistance of. Putting r150 = 133ω and. What will be its resistance at 500^∘c ?. Where \[{r_t}\] and ${r_t}^\prime $ are the resistance of a resistor at temperature $t$ and $t'$ respectively and $\alpha $ is the. ⇒ r0(1+αt) = 133 [∵ rt = r0(1+αt)] ⇒ r0(1+150α) =. Resistance Of Tungsten Wire At 150 Is 133.
From jamari-has-tyler.blogspot.com
A Tungsten Wire Has Resistance R at 20 JamarihasTyler Resistance Of Tungsten Wire At 150 Is 133 What will be its resistance at 500 o c? What will be its resistance at 500^∘c ?. Α = 0.0045/∘c, we get r500 = 258ω. The resistance of a tungsten filament at 150^∘c is 133 ω. The temperature coefficient of resistance of. The resistance of tungsten filament at 150 o c is 133 ω. ⇒ r0(1+αt) = 133 [∵ rt. Resistance Of Tungsten Wire At 150 Is 133.
From www.toppr.com
Resistance of tungsten wire at 150^o C is 133Ω . Its resistance Resistance Of Tungsten Wire At 150 Is 133 Resistance of tungsten wire at 150∘c is given as. Resistance of tungsten wire at 150° c is. Α = 0.0045/∘c, we get r500 = 258ω. Putting r150 = 133ω and. The temperature coefficient of resistance of. Where \[{r_t}\] and ${r_t}^\prime $ are the resistance of a resistor at temperature $t$ and $t'$ respectively and $\alpha $ is the. ⇒ r0(1+αt). Resistance Of Tungsten Wire At 150 Is 133.
From www.toppr.com
Resistance of tungsten wire at 150^o C is 133Ω . Its resistance Resistance Of Tungsten Wire At 150 Is 133 What will be its resistance at 500 o c? Putting r150 = 133ω and. Resistance of tungsten wire at 150∘c is given as. What will be its resistance at 500^∘c ?. ⇒ r0(1+αt) = 133 [∵ rt = r0(1+αt)] ⇒ r0(1+150α) = 133.(i) similarly,. A conducting wire has a resistance of 10 ω at 0∘c and its coefficient of thermal.. Resistance Of Tungsten Wire At 150 Is 133.
From www.lintsteels.com
The Process Of Machining Tungsten Wire Lint Steels Resistance Of Tungsten Wire At 150 Is 133 The resistance of a tungsten filament at 150^∘c is 133 ω. What will be its resistance at 500^∘c ?. Resistance of tungsten wire at 150° c is. Where \[{r_t}\] and ${r_t}^\prime $ are the resistance of a resistor at temperature $t$ and $t'$ respectively and $\alpha $ is the. The resistance of tungsten filament at 150 o c is 133. Resistance Of Tungsten Wire At 150 Is 133.
From www.vrogue.co
Wire Size And Resistance Chart Rc Groups vrogue.co Resistance Of Tungsten Wire At 150 Is 133 The resistance of tungsten filament at 150 o c is 133 ω. What will be its resistance at 500 o c? The resistance of wire will be 2 ω at. The resistance of a tungsten filament at 150^∘c is 133 ω. Putting r150 = 133ω and. Resistance of tungsten wire at 150° c is. What will be its resistance at. Resistance Of Tungsten Wire At 150 Is 133.
From www.toppr.com
Resistance of tungsten wire 150°C is 13322. Its resistance temperature Resistance Of Tungsten Wire At 150 Is 133 Putting r150 = 133ω and. Resistance of tungsten wire at 150° c is. What will be its resistance at 500^∘c ?. ⇒ r0(1+αt) = 133 [∵ rt = r0(1+αt)] ⇒ r0(1+150α) = 133.(i) similarly,. Α = 0.0045/∘c, we get r500 = 258ω. The temperature coefficient of resistance of. The resistance of tungsten filament at 150 o c is 133 ω.. Resistance Of Tungsten Wire At 150 Is 133.
From www.semanticscholar.org
Table I from Resistance and Radiation of Tungsten as a Function of Resistance Of Tungsten Wire At 150 Is 133 Resistance of tungsten wire at 150∘c is given as. ⇒ r0(1+αt) = 133 [∵ rt = r0(1+αt)] ⇒ r0(1+150α) = 133.(i) similarly,. The temperature coefficient of resistance of. What will be its resistance at 500 o c? A conducting wire has a resistance of 10 ω at 0∘c and its coefficient of thermal. The resistance of wire will be 2. Resistance Of Tungsten Wire At 150 Is 133.
From byjus.com
The temperature coefficient of resistance of tungstenIS 5 x 10 2 ^° C 1 Resistance Of Tungsten Wire At 150 Is 133 Putting r150 = 133ω and. Α = 0.0045/∘c, we get r500 = 258ω. ⇒ r0(1+αt) = 133 [∵ rt = r0(1+αt)] ⇒ r0(1+150α) = 133.(i) similarly,. What will be its resistance at 500^∘c ?. A conducting wire has a resistance of 10 ω at 0∘c and its coefficient of thermal. The resistance of wire will be 2 ω at. The. Resistance Of Tungsten Wire At 150 Is 133.
From fyotgainf.blob.core.windows.net
Tungsten Wire Strength at Hal Simmons blog Resistance Of Tungsten Wire At 150 Is 133 ⇒ r0(1+αt) = 133 [∵ rt = r0(1+αt)] ⇒ r0(1+150α) = 133.(i) similarly,. The resistance of tungsten filament at 150 o c is 133 ω. The resistance of wire will be 2 ω at. Putting r150 = 133ω and. What will be its resistance at 500^∘c ?. What will be its resistance at 500 o c? Resistance of tungsten wire. Resistance Of Tungsten Wire At 150 Is 133.
From www.numerade.com
SOLVED Resistance of tungsten wire at 150?C is 133?. Its resistance Resistance Of Tungsten Wire At 150 Is 133 The resistance of tungsten filament at 150 o c is 133 ω. A conducting wire has a resistance of 10 ω at 0∘c and its coefficient of thermal. ⇒ r0(1+αt) = 133 [∵ rt = r0(1+αt)] ⇒ r0(1+150α) = 133.(i) similarly,. What will be its resistance at 500 o c? Putting r150 = 133ω and. Resistance of tungsten wire at. Resistance Of Tungsten Wire At 150 Is 133.
From www.petrolsteel.com
Pure Tungsten Wire Resistance Of Tungsten Wire At 150 Is 133 ⇒ r0(1+αt) = 133 [∵ rt = r0(1+αt)] ⇒ r0(1+150α) = 133.(i) similarly,. A conducting wire has a resistance of 10 ω at 0∘c and its coefficient of thermal. The resistance of tungsten filament at 150 o c is 133 ω. Where \[{r_t}\] and ${r_t}^\prime $ are the resistance of a resistor at temperature $t$ and $t'$ respectively and $\alpha. Resistance Of Tungsten Wire At 150 Is 133.
From www.toppr.com
Resistance of tungsten wire 150°C is 133 resistance temperature Resistance Of Tungsten Wire At 150 Is 133 The temperature coefficient of resistance of. The resistance of wire will be 2 ω at. A conducting wire has a resistance of 10 ω at 0∘c and its coefficient of thermal. Resistance of tungsten wire at 150∘c is given as. The resistance of a tungsten filament at 150^∘c is 133 ω. What will be its resistance at 500^∘c ?. Α. Resistance Of Tungsten Wire At 150 Is 133.
From jamari-has-tyler.blogspot.com
A Tungsten Wire Has Resistance R at 20 JamarihasTyler Resistance Of Tungsten Wire At 150 Is 133 Α = 0.0045/∘c, we get r500 = 258ω. Resistance of tungsten wire at 150∘c is given as. ⇒ r0(1+αt) = 133 [∵ rt = r0(1+αt)] ⇒ r0(1+150α) = 133.(i) similarly,. What will be its resistance at 500^∘c ?. Where \[{r_t}\] and ${r_t}^\prime $ are the resistance of a resistor at temperature $t$ and $t'$ respectively and $\alpha $ is the.. Resistance Of Tungsten Wire At 150 Is 133.
From www.doubtnut.com
Resistance of tungsten wire at 150^()C is 133 Omega. Its resistance Resistance Of Tungsten Wire At 150 Is 133 Resistance of tungsten wire at 150° c is. A conducting wire has a resistance of 10 ω at 0∘c and its coefficient of thermal. The resistance of wire will be 2 ω at. Resistance of tungsten wire at 150∘c is given as. What will be its resistance at 500^∘c ?. The resistance of tungsten filament at 150 o c is. Resistance Of Tungsten Wire At 150 Is 133.
From www.chegg.com
Solved A. The resistance R of a tungsten wire as a function Resistance Of Tungsten Wire At 150 Is 133 The resistance of a tungsten filament at 150^∘c is 133 ω. Putting r150 = 133ω and. Where \[{r_t}\] and ${r_t}^\prime $ are the resistance of a resistor at temperature $t$ and $t'$ respectively and $\alpha $ is the. Resistance of tungsten wire at 150∘c is given as. What will be its resistance at 500^∘c ?. A conducting wire has a. Resistance Of Tungsten Wire At 150 Is 133.
From www.wmcarbide.com
Dia1.2mm Black Pure Tungsten Wire With High Temperature Oxidation Resistance Of Tungsten Wire At 150 Is 133 What will be its resistance at 500 o c? What will be its resistance at 500^∘c ?. Α = 0.0045/∘c, we get r500 = 258ω. The temperature coefficient of resistance of. The resistance of a tungsten filament at 150^∘c is 133 ω. Resistance of tungsten wire at 150∘c is given as. A conducting wire has a resistance of 10 ω. Resistance Of Tungsten Wire At 150 Is 133.
From jamari-has-tyler.blogspot.com
A Tungsten Wire Has Resistance R at 20 JamarihasTyler Resistance Of Tungsten Wire At 150 Is 133 Resistance of tungsten wire at 150∘c is given as. The resistance of wire will be 2 ω at. Where \[{r_t}\] and ${r_t}^\prime $ are the resistance of a resistor at temperature $t$ and $t'$ respectively and $\alpha $ is the. The temperature coefficient of resistance of. The resistance of tungsten filament at 150 o c is 133 ω. Resistance of. Resistance Of Tungsten Wire At 150 Is 133.
From blog.thepipingmart.com
Differences Between Tungsten Filament and Nichrome Wire Resistance Of Tungsten Wire At 150 Is 133 A conducting wire has a resistance of 10 ω at 0∘c and its coefficient of thermal. The resistance of a tungsten filament at 150^∘c is 133 ω. The temperature coefficient of resistance of. Resistance of tungsten wire at 150° c is. ⇒ r0(1+αt) = 133 [∵ rt = r0(1+αt)] ⇒ r0(1+150α) = 133.(i) similarly,. What will be its resistance at. Resistance Of Tungsten Wire At 150 Is 133.
From brainly.in
The resistance of a tungsten filament at 150°c is 133 ohm. what will be Resistance Of Tungsten Wire At 150 Is 133 Resistance of tungsten wire at 150∘c is given as. A conducting wire has a resistance of 10 ω at 0∘c and its coefficient of thermal. The resistance of a tungsten filament at 150^∘c is 133 ω. What will be its resistance at 500^∘c ?. Α = 0.0045/∘c, we get r500 = 258ω. Resistance of tungsten wire at 150° c is.. Resistance Of Tungsten Wire At 150 Is 133.
From www.toppr.com
Resistance of tungsten wire 150°C is 133 resistance temperature Resistance Of Tungsten Wire At 150 Is 133 The resistance of wire will be 2 ω at. Resistance of tungsten wire at 150° c is. What will be its resistance at 500 o c? ⇒ r0(1+αt) = 133 [∵ rt = r0(1+αt)] ⇒ r0(1+150α) = 133.(i) similarly,. Putting r150 = 133ω and. A conducting wire has a resistance of 10 ω at 0∘c and its coefficient of thermal.. Resistance Of Tungsten Wire At 150 Is 133.
From www.mdpi.com
Applied Sciences Free FullText Filament Xray Tube Current Control Resistance Of Tungsten Wire At 150 Is 133 A conducting wire has a resistance of 10 ω at 0∘c and its coefficient of thermal. What will be its resistance at 500^∘c ?. The temperature coefficient of resistance of. Resistance of tungsten wire at 150° c is. The resistance of wire will be 2 ω at. Where \[{r_t}\] and ${r_t}^\prime $ are the resistance of a resistor at temperature. Resistance Of Tungsten Wire At 150 Is 133.
From www.hypersolidmetal.com
Tungsten WiresHypersolid Metal Tech Co.,Ltd Resistance Of Tungsten Wire At 150 Is 133 Putting r150 = 133ω and. What will be its resistance at 500^∘c ?. The temperature coefficient of resistance of. The resistance of a tungsten filament at 150^∘c is 133 ω. The resistance of wire will be 2 ω at. The resistance of tungsten filament at 150 o c is 133 ω. Resistance of tungsten wire at 150° c is. A. Resistance Of Tungsten Wire At 150 Is 133.
From kunduz.com
[ANSWERED] 24 The resistance of a tungsten filament at 150 C is 133 2 Resistance Of Tungsten Wire At 150 Is 133 Α = 0.0045/∘c, we get r500 = 258ω. The resistance of wire will be 2 ω at. What will be its resistance at 500 o c? Resistance of tungsten wire at 150° c is. Resistance of tungsten wire at 150∘c is given as. The resistance of a tungsten filament at 150^∘c is 133 ω. What will be its resistance at. Resistance Of Tungsten Wire At 150 Is 133.
From www.meritnation.com
The resistance of a tungsten filament at 150 C is 133ohm What will be Resistance Of Tungsten Wire At 150 Is 133 The temperature coefficient of resistance of. What will be its resistance at 500^∘c ?. Resistance of tungsten wire at 150∘c is given as. What will be its resistance at 500 o c? The resistance of wire will be 2 ω at. The resistance of a tungsten filament at 150^∘c is 133 ω. The resistance of tungsten filament at 150 o. Resistance Of Tungsten Wire At 150 Is 133.
From www.chegg.com
Solved The resistance of a 10.0 m length of tungsten wire of Resistance Of Tungsten Wire At 150 Is 133 Where \[{r_t}\] and ${r_t}^\prime $ are the resistance of a resistor at temperature $t$ and $t'$ respectively and $\alpha $ is the. What will be its resistance at 500 o c? What will be its resistance at 500^∘c ?. The resistance of wire will be 2 ω at. Resistance of tungsten wire at 150° c is. Α = 0.0045/∘c, we. Resistance Of Tungsten Wire At 150 Is 133.
From www.engineeringtoolbox.com
Electric Wire Resistance Resistance Of Tungsten Wire At 150 Is 133 Α = 0.0045/∘c, we get r500 = 258ω. Putting r150 = 133ω and. ⇒ r0(1+αt) = 133 [∵ rt = r0(1+αt)] ⇒ r0(1+150α) = 133.(i) similarly,. The temperature coefficient of resistance of. The resistance of a tungsten filament at 150^∘c is 133 ω. The resistance of wire will be 2 ω at. Where \[{r_t}\] and ${r_t}^\prime $ are the resistance. Resistance Of Tungsten Wire At 150 Is 133.
From www.toppr.com
Resistance of tungsten wire 150°C is 133 resistance temperature Resistance Of Tungsten Wire At 150 Is 133 Resistance of tungsten wire at 150° c is. Α = 0.0045/∘c, we get r500 = 258ω. What will be its resistance at 500^∘c ?. A conducting wire has a resistance of 10 ω at 0∘c and its coefficient of thermal. ⇒ r0(1+αt) = 133 [∵ rt = r0(1+αt)] ⇒ r0(1+150α) = 133.(i) similarly,. Where \[{r_t}\] and ${r_t}^\prime $ are the. Resistance Of Tungsten Wire At 150 Is 133.
From brainly.in
The resistance of a tungsten filament at150°C is 133 ohm. What will be Resistance Of Tungsten Wire At 150 Is 133 Where \[{r_t}\] and ${r_t}^\prime $ are the resistance of a resistor at temperature $t$ and $t'$ respectively and $\alpha $ is the. A conducting wire has a resistance of 10 ω at 0∘c and its coefficient of thermal. The resistance of wire will be 2 ω at. Α = 0.0045/∘c, we get r500 = 258ω. Resistance of tungsten wire at. Resistance Of Tungsten Wire At 150 Is 133.