Diabetes Data Visualization . It is calculated by adjusting to. specifically, this paper discusses the successes and challenges that arose when using commercial. this project developed a diabetes data visualization mobile application for adolescents and found that clinical and. the cdss helps care providers to explore patients’ temporal data and assess the risk of developing. primary aims of this research were to:
from www.researchgate.net
the cdss helps care providers to explore patients’ temporal data and assess the risk of developing. It is calculated by adjusting to. specifically, this paper discusses the successes and challenges that arose when using commercial. this project developed a diabetes data visualization mobile application for adolescents and found that clinical and. primary aims of this research were to:
Visualization of the first 2000 patients of the diabetes dataset. (a)... Download Scientific
Diabetes Data Visualization the cdss helps care providers to explore patients’ temporal data and assess the risk of developing. the cdss helps care providers to explore patients’ temporal data and assess the risk of developing. It is calculated by adjusting to. specifically, this paper discusses the successes and challenges that arose when using commercial. primary aims of this research were to: this project developed a diabetes data visualization mobile application for adolescents and found that clinical and.
From blog.hubspot.com
Stats Shouldn't Stand Alone Why You Need Data Visualization to Teach and Convince Diabetes Data Visualization specifically, this paper discusses the successes and challenges that arose when using commercial. this project developed a diabetes data visualization mobile application for adolescents and found that clinical and. primary aims of this research were to: It is calculated by adjusting to. the cdss helps care providers to explore patients’ temporal data and assess the risk. Diabetes Data Visualization.
From www.researchgate.net
(PDF) Temporal Visualization of Diabetes Mellitus via Hemoglobin A1c Levels Diabetes Data Visualization this project developed a diabetes data visualization mobile application for adolescents and found that clinical and. It is calculated by adjusting to. primary aims of this research were to: the cdss helps care providers to explore patients’ temporal data and assess the risk of developing. specifically, this paper discusses the successes and challenges that arose when. Diabetes Data Visualization.
From github.com
GitHub YifengHe/ExploratoryDataAnalysisandPredictiononDiabetesDatasetusingR This Diabetes Data Visualization this project developed a diabetes data visualization mobile application for adolescents and found that clinical and. the cdss helps care providers to explore patients’ temporal data and assess the risk of developing. primary aims of this research were to: specifically, this paper discusses the successes and challenges that arose when using commercial. It is calculated by. Diabetes Data Visualization.
From lovefordatascience.blogspot.com
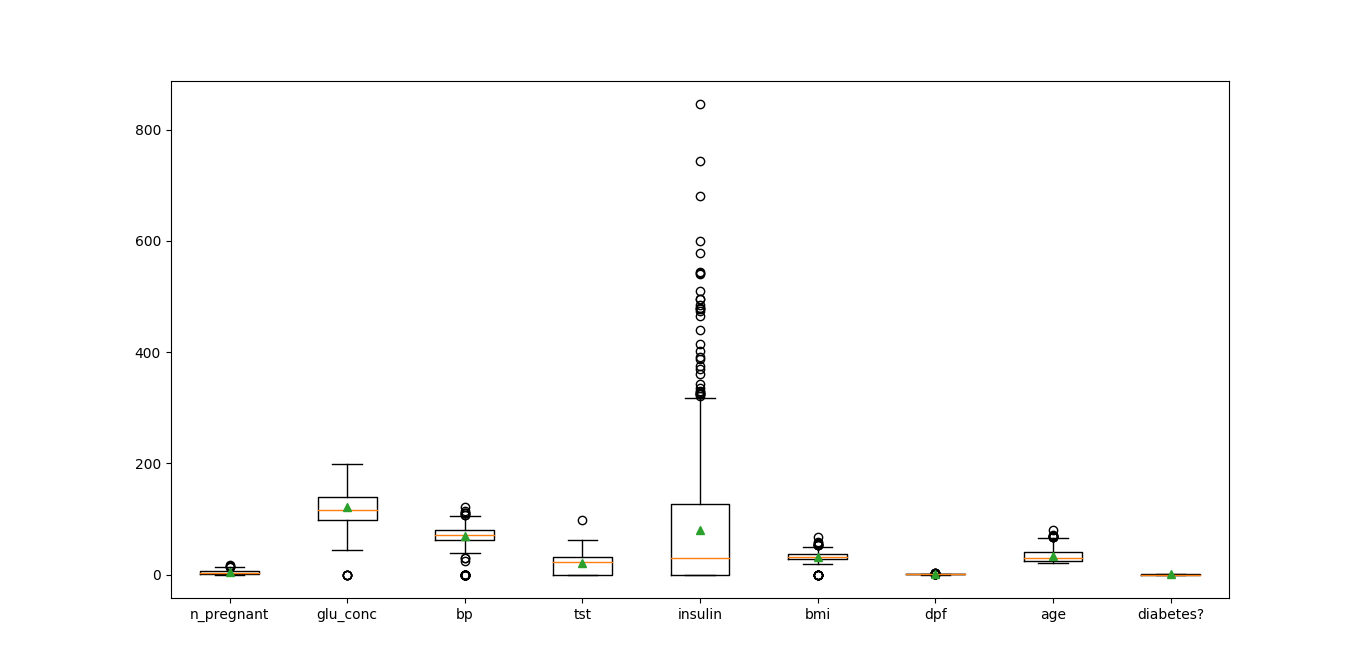
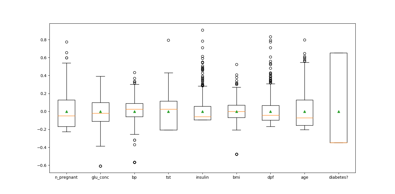
Data analysis and visualization in Python (Pima Indians diabetes data set) Love for Data Science Diabetes Data Visualization primary aims of this research were to: this project developed a diabetes data visualization mobile application for adolescents and found that clinical and. the cdss helps care providers to explore patients’ temporal data and assess the risk of developing. specifically, this paper discusses the successes and challenges that arose when using commercial. It is calculated by. Diabetes Data Visualization.
From www.healthdata.org
Diabetes in the US Institute for Health Metrics and Evaluation Diabetes Data Visualization the cdss helps care providers to explore patients’ temporal data and assess the risk of developing. specifically, this paper discusses the successes and challenges that arose when using commercial. It is calculated by adjusting to. primary aims of this research were to: this project developed a diabetes data visualization mobile application for adolescents and found that. Diabetes Data Visualization.
From www.mindsumo.com
AstraZeneca Propose a new data visualization diagram to track treatment gaps for diabetes Diabetes Data Visualization this project developed a diabetes data visualization mobile application for adolescents and found that clinical and. the cdss helps care providers to explore patients’ temporal data and assess the risk of developing. specifically, this paper discusses the successes and challenges that arose when using commercial. It is calculated by adjusting to. primary aims of this research. Diabetes Data Visualization.
From www.researchgate.net
The decision boundary visualization for the DIABETES dataset classified... Download Scientific Diabetes Data Visualization this project developed a diabetes data visualization mobile application for adolescents and found that clinical and. the cdss helps care providers to explore patients’ temporal data and assess the risk of developing. specifically, this paper discusses the successes and challenges that arose when using commercial. It is calculated by adjusting to. primary aims of this research. Diabetes Data Visualization.
From lovefordatascience.blogspot.com
Data analysis and visualization in Python (Pima Indians diabetes data set) Love for Data Science Diabetes Data Visualization primary aims of this research were to: the cdss helps care providers to explore patients’ temporal data and assess the risk of developing. specifically, this paper discusses the successes and challenges that arose when using commercial. It is calculated by adjusting to. this project developed a diabetes data visualization mobile application for adolescents and found that. Diabetes Data Visualization.
From www.slideserve.com
PPT Managing a diabetes database using a data dictionary and processing health records Diabetes Data Visualization primary aims of this research were to: the cdss helps care providers to explore patients’ temporal data and assess the risk of developing. It is calculated by adjusting to. specifically, this paper discusses the successes and challenges that arose when using commercial. this project developed a diabetes data visualization mobile application for adolescents and found that. Diabetes Data Visualization.
From www.mdedge.com
Dietary for patients with diabetes MDedge Family Medicine Diabetes Data Visualization the cdss helps care providers to explore patients’ temporal data and assess the risk of developing. this project developed a diabetes data visualization mobile application for adolescents and found that clinical and. specifically, this paper discusses the successes and challenges that arose when using commercial. primary aims of this research were to: It is calculated by. Diabetes Data Visualization.
From www.cdc.gov
Diagnosed Diabetes Prevalence and Risk Factor Rankings, by State, 20142016 A Ring Map Diabetes Data Visualization the cdss helps care providers to explore patients’ temporal data and assess the risk of developing. this project developed a diabetes data visualization mobile application for adolescents and found that clinical and. primary aims of this research were to: It is calculated by adjusting to. specifically, this paper discusses the successes and challenges that arose when. Diabetes Data Visualization.
From www.researchgate.net
Visualization of the first 2000 patients of the diabetes dataset. (a)... Download Scientific Diabetes Data Visualization this project developed a diabetes data visualization mobile application for adolescents and found that clinical and. It is calculated by adjusting to. primary aims of this research were to: the cdss helps care providers to explore patients’ temporal data and assess the risk of developing. specifically, this paper discusses the successes and challenges that arose when. Diabetes Data Visualization.
From www.researchgate.net
(PDF) Information Visualization for Diabetes Management A Literature Review Diabetes Data Visualization specifically, this paper discusses the successes and challenges that arose when using commercial. this project developed a diabetes data visualization mobile application for adolescents and found that clinical and. primary aims of this research were to: the cdss helps care providers to explore patients’ temporal data and assess the risk of developing. It is calculated by. Diabetes Data Visualization.
From diabeticmuscleandfitness.com
How to convert AVERAGE BLOOD GLUCOSE into HBA1c Diabetic Muscle & Fitness Diabetes Data Visualization primary aims of this research were to: It is calculated by adjusting to. the cdss helps care providers to explore patients’ temporal data and assess the risk of developing. this project developed a diabetes data visualization mobile application for adolescents and found that clinical and. specifically, this paper discusses the successes and challenges that arose when. Diabetes Data Visualization.
From github.com
GitHub shubhadapaithankar/DiabetesDetectionAnalysisandVisualizationSystem Diabetes Diabetes Data Visualization It is calculated by adjusting to. specifically, this paper discusses the successes and challenges that arose when using commercial. the cdss helps care providers to explore patients’ temporal data and assess the risk of developing. this project developed a diabetes data visualization mobile application for adolescents and found that clinical and. primary aims of this research. Diabetes Data Visualization.
From www.youtube.com
Data Visualization, Predicting Diabetes using Machine Learning, Python, Project YouTube Diabetes Data Visualization primary aims of this research were to: the cdss helps care providers to explore patients’ temporal data and assess the risk of developing. It is calculated by adjusting to. specifically, this paper discusses the successes and challenges that arose when using commercial. this project developed a diabetes data visualization mobile application for adolescents and found that. Diabetes Data Visualization.
From www.semanticscholar.org
Figure 3 from Hadoop based Analysis and Visualization of Diabetes Data through Tableau Diabetes Data Visualization this project developed a diabetes data visualization mobile application for adolescents and found that clinical and. specifically, this paper discusses the successes and challenges that arose when using commercial. the cdss helps care providers to explore patients’ temporal data and assess the risk of developing. It is calculated by adjusting to. primary aims of this research. Diabetes Data Visualization.
From www.researchgate.net
Diabetes data set path visualization of the Explainable Ensemble Trees... Download Scientific Diabetes Data Visualization It is calculated by adjusting to. the cdss helps care providers to explore patients’ temporal data and assess the risk of developing. primary aims of this research were to: specifically, this paper discusses the successes and challenges that arose when using commercial. this project developed a diabetes data visualization mobile application for adolescents and found that. Diabetes Data Visualization.
From raw.githubusercontent.com
Diabetes_Data_Analysis Diabetes Data Visualization this project developed a diabetes data visualization mobile application for adolescents and found that clinical and. specifically, this paper discusses the successes and challenges that arose when using commercial. It is calculated by adjusting to. the cdss helps care providers to explore patients’ temporal data and assess the risk of developing. primary aims of this research. Diabetes Data Visualization.
From www.pinterest.com
Daily Infographic A New Infographic Every Day Data Visualization, Information Design and Diabetes Data Visualization It is calculated by adjusting to. specifically, this paper discusses the successes and challenges that arose when using commercial. this project developed a diabetes data visualization mobile application for adolescents and found that clinical and. primary aims of this research were to: the cdss helps care providers to explore patients’ temporal data and assess the risk. Diabetes Data Visualization.
From clearhealthcosts.com
Visualizing health issues Diabetes, hypertension Clear Health Costs Diabetes Data Visualization It is calculated by adjusting to. primary aims of this research were to: the cdss helps care providers to explore patients’ temporal data and assess the risk of developing. specifically, this paper discusses the successes and challenges that arose when using commercial. this project developed a diabetes data visualization mobile application for adolescents and found that. Diabetes Data Visualization.
From www.who.int
Diabetes Diabetes Data Visualization the cdss helps care providers to explore patients’ temporal data and assess the risk of developing. this project developed a diabetes data visualization mobile application for adolescents and found that clinical and. It is calculated by adjusting to. primary aims of this research were to: specifically, this paper discusses the successes and challenges that arose when. Diabetes Data Visualization.
From www.statista.com
Chart Where Diabetes Burdens Are Rising Statista Diabetes Data Visualization specifically, this paper discusses the successes and challenges that arose when using commercial. the cdss helps care providers to explore patients’ temporal data and assess the risk of developing. It is calculated by adjusting to. primary aims of this research were to: this project developed a diabetes data visualization mobile application for adolescents and found that. Diabetes Data Visualization.
From www.healthdata.org
Diabetes in the US Institute for Health Metrics and Evaluation Diabetes Data Visualization primary aims of this research were to: It is calculated by adjusting to. specifically, this paper discusses the successes and challenges that arose when using commercial. this project developed a diabetes data visualization mobile application for adolescents and found that clinical and. the cdss helps care providers to explore patients’ temporal data and assess the risk. Diabetes Data Visualization.
From www.researchgate.net
Visualization of the first 2000 patients of the diabetes dataset. (a)... Download Scientific Diabetes Data Visualization specifically, this paper discusses the successes and challenges that arose when using commercial. It is calculated by adjusting to. the cdss helps care providers to explore patients’ temporal data and assess the risk of developing. this project developed a diabetes data visualization mobile application for adolescents and found that clinical and. primary aims of this research. Diabetes Data Visualization.
From www.healthworkscollective.com
Great Healthcare Infographics 2 Things Your Data Visualization Needs Health Works Collective Diabetes Data Visualization specifically, this paper discusses the successes and challenges that arose when using commercial. this project developed a diabetes data visualization mobile application for adolescents and found that clinical and. primary aims of this research were to: the cdss helps care providers to explore patients’ temporal data and assess the risk of developing. It is calculated by. Diabetes Data Visualization.
From www.kaggle.com
Diabetes Health Indicators Dataset Kaggle Diabetes Data Visualization the cdss helps care providers to explore patients’ temporal data and assess the risk of developing. specifically, this paper discusses the successes and challenges that arose when using commercial. It is calculated by adjusting to. primary aims of this research were to: this project developed a diabetes data visualization mobile application for adolescents and found that. Diabetes Data Visualization.
From lovefordatascience.blogspot.com
Data analysis and visualization in Python (Pima Indians diabetes data set) Love for Data Science Diabetes Data Visualization specifically, this paper discusses the successes and challenges that arose when using commercial. this project developed a diabetes data visualization mobile application for adolescents and found that clinical and. It is calculated by adjusting to. primary aims of this research were to: the cdss helps care providers to explore patients’ temporal data and assess the risk. Diabetes Data Visualization.
From www.analyticsvidhya.com
Diabetes Prediction Using Machine Learning Analytics Vidhya Diabetes Data Visualization this project developed a diabetes data visualization mobile application for adolescents and found that clinical and. the cdss helps care providers to explore patients’ temporal data and assess the risk of developing. specifically, this paper discusses the successes and challenges that arose when using commercial. It is calculated by adjusting to. primary aims of this research. Diabetes Data Visualization.
From uxfol.io
MedSculp Diabetes Data Visualization Diabetes Data Visualization specifically, this paper discusses the successes and challenges that arose when using commercial. It is calculated by adjusting to. the cdss helps care providers to explore patients’ temporal data and assess the risk of developing. this project developed a diabetes data visualization mobile application for adolescents and found that clinical and. primary aims of this research. Diabetes Data Visualization.
From www.mdpi.com
Future Free FullText Diabetes Monitoring System in Smart Health Cities Based on Diabetes Data Visualization It is calculated by adjusting to. this project developed a diabetes data visualization mobile application for adolescents and found that clinical and. the cdss helps care providers to explore patients’ temporal data and assess the risk of developing. primary aims of this research were to: specifically, this paper discusses the successes and challenges that arose when. Diabetes Data Visualization.
From lovefordatascience.blogspot.com
Data analysis and visualization in Python (Pima Indians diabetes data set) Love for Data Science Diabetes Data Visualization It is calculated by adjusting to. this project developed a diabetes data visualization mobile application for adolescents and found that clinical and. the cdss helps care providers to explore patients’ temporal data and assess the risk of developing. specifically, this paper discusses the successes and challenges that arose when using commercial. primary aims of this research. Diabetes Data Visualization.
From rayb78.github.io
Diabetes Sugar Level Chart Diabetes Data Visualization the cdss helps care providers to explore patients’ temporal data and assess the risk of developing. primary aims of this research were to: specifically, this paper discusses the successes and challenges that arose when using commercial. this project developed a diabetes data visualization mobile application for adolescents and found that clinical and. It is calculated by. Diabetes Data Visualization.
From www.researchgate.net
(PDF) Business Intelligence Data Visualization for Diabetes Health Prediction Diabetes Data Visualization the cdss helps care providers to explore patients’ temporal data and assess the risk of developing. primary aims of this research were to: this project developed a diabetes data visualization mobile application for adolescents and found that clinical and. specifically, this paper discusses the successes and challenges that arose when using commercial. It is calculated by. Diabetes Data Visualization.
From www.slideshare.net
The Data of Diabetes Infographic Diabetes Data Visualization It is calculated by adjusting to. the cdss helps care providers to explore patients’ temporal data and assess the risk of developing. this project developed a diabetes data visualization mobile application for adolescents and found that clinical and. primary aims of this research were to: specifically, this paper discusses the successes and challenges that arose when. Diabetes Data Visualization.