Nj Property Tax Veterans Exemption . This application will allow you to upload the following supporting. 100% disabled veteran property tax exemption. This exemption recognizes the sacrifices of veterans disabled in service, providing relief from specific tax obligations to ease their financial burden and improve their quality of life. The new jersey legislature oct. Full property tax exemption for 100% disabled veterans or surviving spouses. 28 passed a resolution urging the president and congress to enact. New jersey's division of taxation has reaffirmed its commitment to the exemption for disabled veterans, effective until october 19, 2030. A ballot measure extending that deduction to peacetime veterans and their surviving spouses passed on november 3,. Check your senior freeze (property tax reimbursement) status here. Two hundred fifty dollars ($250) may be. If you are an honorably discharged veteran who was 100% permanently and totally. $250 property tax deduction for veterans or surviving spouses n.j.s.a. 100% permanently and totally disabled active duty veterans or the.
from www.exemptform.com
A ballot measure extending that deduction to peacetime veterans and their surviving spouses passed on november 3,. 100% permanently and totally disabled active duty veterans or the. If you are an honorably discharged veteran who was 100% permanently and totally. Check your senior freeze (property tax reimbursement) status here. New jersey's division of taxation has reaffirmed its commitment to the exemption for disabled veterans, effective until october 19, 2030. The new jersey legislature oct. This exemption recognizes the sacrifices of veterans disabled in service, providing relief from specific tax obligations to ease their financial burden and improve their quality of life. Two hundred fifty dollars ($250) may be. This application will allow you to upload the following supporting. 28 passed a resolution urging the president and congress to enact.
Tax Exemption Form For Veterans
Nj Property Tax Veterans Exemption Check your senior freeze (property tax reimbursement) status here. Check your senior freeze (property tax reimbursement) status here. This exemption recognizes the sacrifices of veterans disabled in service, providing relief from specific tax obligations to ease their financial burden and improve their quality of life. New jersey's division of taxation has reaffirmed its commitment to the exemption for disabled veterans, effective until october 19, 2030. Two hundred fifty dollars ($250) may be. 100% disabled veteran property tax exemption. Full property tax exemption for 100% disabled veterans or surviving spouses. A ballot measure extending that deduction to peacetime veterans and their surviving spouses passed on november 3,. If you are an honorably discharged veteran who was 100% permanently and totally. $250 property tax deduction for veterans or surviving spouses n.j.s.a. The new jersey legislature oct. This application will allow you to upload the following supporting. 28 passed a resolution urging the president and congress to enact. 100% permanently and totally disabled active duty veterans or the.
From www.templateroller.com
Form COEDVSSE Fill Out, Sign Online and Download Fillable PDF, New Nj Property Tax Veterans Exemption Two hundred fifty dollars ($250) may be. This exemption recognizes the sacrifices of veterans disabled in service, providing relief from specific tax obligations to ease their financial burden and improve their quality of life. The new jersey legislature oct. A ballot measure extending that deduction to peacetime veterans and their surviving spouses passed on november 3,. 100% disabled veteran property. Nj Property Tax Veterans Exemption.
From www.sampletemplates.com
FREE 10+ Sample Tax Exemption Forms in PDF Nj Property Tax Veterans Exemption New jersey's division of taxation has reaffirmed its commitment to the exemption for disabled veterans, effective until october 19, 2030. This application will allow you to upload the following supporting. If you are an honorably discharged veteran who was 100% permanently and totally. Check your senior freeze (property tax reimbursement) status here. The new jersey legislature oct. A ballot measure. Nj Property Tax Veterans Exemption.
From vaclaimsinsider.com
20 States with Full Property Tax Exemption for 100 Disabled Veterans Nj Property Tax Veterans Exemption New jersey's division of taxation has reaffirmed its commitment to the exemption for disabled veterans, effective until october 19, 2030. This exemption recognizes the sacrifices of veterans disabled in service, providing relief from specific tax obligations to ease their financial burden and improve their quality of life. Two hundred fifty dollars ($250) may be. The new jersey legislature oct. 28. Nj Property Tax Veterans Exemption.
From www.templateroller.com
Form C.O.E.D.V.S.S.E Fill Out, Sign Online and Download Fillable PDF Nj Property Tax Veterans Exemption Full property tax exemption for 100% disabled veterans or surviving spouses. If you are an honorably discharged veteran who was 100% permanently and totally. 28 passed a resolution urging the president and congress to enact. 100% permanently and totally disabled active duty veterans or the. This exemption recognizes the sacrifices of veterans disabled in service, providing relief from specific tax. Nj Property Tax Veterans Exemption.
From www.veteransunited.com
Disabled Veteran Property Tax Exemptions By State and Disability Rating Nj Property Tax Veterans Exemption New jersey's division of taxation has reaffirmed its commitment to the exemption for disabled veterans, effective until october 19, 2030. This exemption recognizes the sacrifices of veterans disabled in service, providing relief from specific tax obligations to ease their financial burden and improve their quality of life. This application will allow you to upload the following supporting. Full property tax. Nj Property Tax Veterans Exemption.
From www.exemptform.com
Tax Exemption Form For Veterans Nj Property Tax Veterans Exemption This exemption recognizes the sacrifices of veterans disabled in service, providing relief from specific tax obligations to ease their financial burden and improve their quality of life. The new jersey legislature oct. 28 passed a resolution urging the president and congress to enact. New jersey's division of taxation has reaffirmed its commitment to the exemption for disabled veterans, effective until. Nj Property Tax Veterans Exemption.
From blog.veteransloans.com
Disabled Veteran Property Tax Exemption in Every State Nj Property Tax Veterans Exemption This exemption recognizes the sacrifices of veterans disabled in service, providing relief from specific tax obligations to ease their financial burden and improve their quality of life. 100% disabled veteran property tax exemption. $250 property tax deduction for veterans or surviving spouses n.j.s.a. 100% permanently and totally disabled active duty veterans or the. New jersey's division of taxation has reaffirmed. Nj Property Tax Veterans Exemption.
From www.templateroller.com
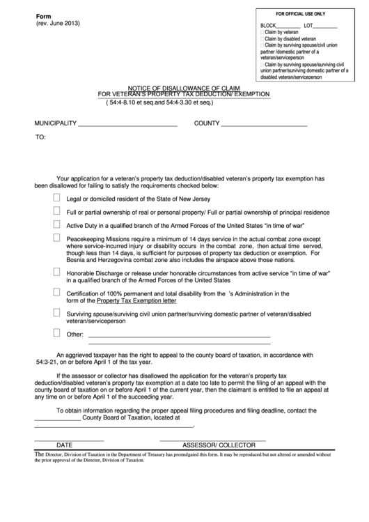
New Jersey Notice of Disallowance of Claim for Veteran's Property Tax Nj Property Tax Veterans Exemption New jersey's division of taxation has reaffirmed its commitment to the exemption for disabled veterans, effective until october 19, 2030. This application will allow you to upload the following supporting. Two hundred fifty dollars ($250) may be. 100% disabled veteran property tax exemption. This exemption recognizes the sacrifices of veterans disabled in service, providing relief from specific tax obligations to. Nj Property Tax Veterans Exemption.
From www.youtube.com
Property Tax Exemption for Disabled Veterans YouTube Nj Property Tax Veterans Exemption 100% disabled veteran property tax exemption. If you are an honorably discharged veteran who was 100% permanently and totally. This application will allow you to upload the following supporting. $250 property tax deduction for veterans or surviving spouses n.j.s.a. Full property tax exemption for 100% disabled veterans or surviving spouses. A ballot measure extending that deduction to peacetime veterans and. Nj Property Tax Veterans Exemption.
From www.youtube.com
Property Tax Exemptions for Veterans YouTube Nj Property Tax Veterans Exemption 100% disabled veteran property tax exemption. 100% permanently and totally disabled active duty veterans or the. Two hundred fifty dollars ($250) may be. 28 passed a resolution urging the president and congress to enact. A ballot measure extending that deduction to peacetime veterans and their surviving spouses passed on november 3,. The new jersey legislature oct. New jersey's division of. Nj Property Tax Veterans Exemption.
From www.exemptform.com
Senior Citizen Or Disabled Veteran Property Tax Exemption Applicaton Nj Property Tax Veterans Exemption 100% disabled veteran property tax exemption. 28 passed a resolution urging the president and congress to enact. The new jersey legislature oct. If you are an honorably discharged veteran who was 100% permanently and totally. This exemption recognizes the sacrifices of veterans disabled in service, providing relief from specific tax obligations to ease their financial burden and improve their quality. Nj Property Tax Veterans Exemption.
From www.templateroller.com
New Jersey Veteran Tax Exemption Submission Form Fill Out Nj Property Tax Veterans Exemption New jersey's division of taxation has reaffirmed its commitment to the exemption for disabled veterans, effective until october 19, 2030. The new jersey legislature oct. 100% permanently and totally disabled active duty veterans or the. A ballot measure extending that deduction to peacetime veterans and their surviving spouses passed on november 3,. This application will allow you to upload the. Nj Property Tax Veterans Exemption.
From www.lcvetsfoundation.org
2023 Disabled Veteran Property Tax Exemption Lake County Veterans and Nj Property Tax Veterans Exemption New jersey's division of taxation has reaffirmed its commitment to the exemption for disabled veterans, effective until october 19, 2030. 100% disabled veteran property tax exemption. Check your senior freeze (property tax reimbursement) status here. 100% permanently and totally disabled active duty veterans or the. 28 passed a resolution urging the president and congress to enact. If you are an. Nj Property Tax Veterans Exemption.
From printableformsfree.com
Fillable Form Boe 261 G Claim For Disabled Veterans Property Tax Nj Property Tax Veterans Exemption New jersey's division of taxation has reaffirmed its commitment to the exemption for disabled veterans, effective until october 19, 2030. Check your senior freeze (property tax reimbursement) status here. This application will allow you to upload the following supporting. This exemption recognizes the sacrifices of veterans disabled in service, providing relief from specific tax obligations to ease their financial burden. Nj Property Tax Veterans Exemption.
From www.pinterest.com.mx
All Veteran Property Tax Exemptions By State and Disability Rating Nj Property Tax Veterans Exemption 100% permanently and totally disabled active duty veterans or the. Check your senior freeze (property tax reimbursement) status here. Full property tax exemption for 100% disabled veterans or surviving spouses. A ballot measure extending that deduction to peacetime veterans and their surviving spouses passed on november 3,. 28 passed a resolution urging the president and congress to enact. New jersey's. Nj Property Tax Veterans Exemption.
From va-kreeg.blogspot.com
√ Does Veterans Pay Property Taxes Va Kreeg Nj Property Tax Veterans Exemption Full property tax exemption for 100% disabled veterans or surviving spouses. This application will allow you to upload the following supporting. A ballot measure extending that deduction to peacetime veterans and their surviving spouses passed on november 3,. $250 property tax deduction for veterans or surviving spouses n.j.s.a. The new jersey legislature oct. 28 passed a resolution urging the president. Nj Property Tax Veterans Exemption.
From www.formsbank.com
Property Tax Exemption Application For Qualifying Disabled Veterans Nj Property Tax Veterans Exemption 100% permanently and totally disabled active duty veterans or the. Full property tax exemption for 100% disabled veterans or surviving spouses. New jersey's division of taxation has reaffirmed its commitment to the exemption for disabled veterans, effective until october 19, 2030. This exemption recognizes the sacrifices of veterans disabled in service, providing relief from specific tax obligations to ease their. Nj Property Tax Veterans Exemption.
From vaclaimsinsider.com
18 States With Full Property Tax Exemption for 100 Disabled Veterans Nj Property Tax Veterans Exemption Check your senior freeze (property tax reimbursement) status here. The new jersey legislature oct. Full property tax exemption for 100% disabled veterans or surviving spouses. A ballot measure extending that deduction to peacetime veterans and their surviving spouses passed on november 3,. This application will allow you to upload the following supporting. 100% permanently and totally disabled active duty veterans. Nj Property Tax Veterans Exemption.
From www.formsbank.com
Fillable Form V.n.d.a. Notice Of Disallowance Of Claim For Veteran'S Nj Property Tax Veterans Exemption A ballot measure extending that deduction to peacetime veterans and their surviving spouses passed on november 3,. The new jersey legislature oct. New jersey's division of taxation has reaffirmed its commitment to the exemption for disabled veterans, effective until october 19, 2030. Full property tax exemption for 100% disabled veterans or surviving spouses. 28 passed a resolution urging the president. Nj Property Tax Veterans Exemption.
From www.formsbank.com
Fillable Form Otc998 Application For 100 Disabled Veterans Real Nj Property Tax Veterans Exemption A ballot measure extending that deduction to peacetime veterans and their surviving spouses passed on november 3,. This exemption recognizes the sacrifices of veterans disabled in service, providing relief from specific tax obligations to ease their financial burden and improve their quality of life. Check your senior freeze (property tax reimbursement) status here. Two hundred fifty dollars ($250) may be.. Nj Property Tax Veterans Exemption.
From www.formsbank.com
Fillable Form Boe261G (P1) Claim For Disabled Veterans' Property Nj Property Tax Veterans Exemption Two hundred fifty dollars ($250) may be. If you are an honorably discharged veteran who was 100% permanently and totally. The new jersey legislature oct. Full property tax exemption for 100% disabled veterans or surviving spouses. Check your senior freeze (property tax reimbursement) status here. 100% disabled veteran property tax exemption. A ballot measure extending that deduction to peacetime veterans. Nj Property Tax Veterans Exemption.
From www.shorenewsnetwork.com
New Jersey bill would retroactively exempt disabled veterans from Nj Property Tax Veterans Exemption 100% permanently and totally disabled active duty veterans or the. This exemption recognizes the sacrifices of veterans disabled in service, providing relief from specific tax obligations to ease their financial burden and improve their quality of life. Full property tax exemption for 100% disabled veterans or surviving spouses. Check your senior freeze (property tax reimbursement) status here. New jersey's division. Nj Property Tax Veterans Exemption.
From www.fool.com
What Is the Veterans Property Tax Exemption? The Motley Fool Nj Property Tax Veterans Exemption 100% disabled veteran property tax exemption. $250 property tax deduction for veterans or surviving spouses n.j.s.a. Check your senior freeze (property tax reimbursement) status here. New jersey's division of taxation has reaffirmed its commitment to the exemption for disabled veterans, effective until october 19, 2030. If you are an honorably discharged veteran who was 100% permanently and totally. Two hundred. Nj Property Tax Veterans Exemption.
From www.templateroller.com
Form D.V.S.S.E. Download Fillable PDF or Fill Online Claim for Property Nj Property Tax Veterans Exemption Check your senior freeze (property tax reimbursement) status here. Two hundred fifty dollars ($250) may be. 28 passed a resolution urging the president and congress to enact. If you are an honorably discharged veteran who was 100% permanently and totally. Full property tax exemption for 100% disabled veterans or surviving spouses. This application will allow you to upload the following. Nj Property Tax Veterans Exemption.
From www.fox17online.com
EGR veteran pushes for changes to state's disabled veterans exemption Nj Property Tax Veterans Exemption 28 passed a resolution urging the president and congress to enact. 100% disabled veteran property tax exemption. If you are an honorably discharged veteran who was 100% permanently and totally. New jersey's division of taxation has reaffirmed its commitment to the exemption for disabled veterans, effective until october 19, 2030. Full property tax exemption for 100% disabled veterans or surviving. Nj Property Tax Veterans Exemption.
From www.pinterest.com
All Veteran Property Tax Exemptions By State and Disability Rating Nj Property Tax Veterans Exemption New jersey's division of taxation has reaffirmed its commitment to the exemption for disabled veterans, effective until october 19, 2030. The new jersey legislature oct. 100% permanently and totally disabled active duty veterans or the. This exemption recognizes the sacrifices of veterans disabled in service, providing relief from specific tax obligations to ease their financial burden and improve their quality. Nj Property Tax Veterans Exemption.
From www.templateroller.com
Form C.O.E.D.V.S.S.E. Fill Out, Sign Online and Download Fillable PDF Nj Property Tax Veterans Exemption The new jersey legislature oct. 100% disabled veteran property tax exemption. $250 property tax deduction for veterans or surviving spouses n.j.s.a. Full property tax exemption for 100% disabled veterans or surviving spouses. Two hundred fifty dollars ($250) may be. This application will allow you to upload the following supporting. New jersey's division of taxation has reaffirmed its commitment to the. Nj Property Tax Veterans Exemption.
From drive.google.com
PROPERTY TAX EXEMPTION APPLICATION FOR QUALIFYING VETERANS 2024 .pdf Nj Property Tax Veterans Exemption Check your senior freeze (property tax reimbursement) status here. This exemption recognizes the sacrifices of veterans disabled in service, providing relief from specific tax obligations to ease their financial burden and improve their quality of life. This application will allow you to upload the following supporting. $250 property tax deduction for veterans or surviving spouses n.j.s.a. 28 passed a resolution. Nj Property Tax Veterans Exemption.
From www.pdffiller.com
Fillable Online Real Property Tax Exemption Disabled Veterans Fax Nj Property Tax Veterans Exemption This exemption recognizes the sacrifices of veterans disabled in service, providing relief from specific tax obligations to ease their financial burden and improve their quality of life. New jersey's division of taxation has reaffirmed its commitment to the exemption for disabled veterans, effective until october 19, 2030. If you are an honorably discharged veteran who was 100% permanently and totally.. Nj Property Tax Veterans Exemption.
From www.youtube.com
New Mexico Veterans Property Tax Exemption (2021) YouTube Nj Property Tax Veterans Exemption Full property tax exemption for 100% disabled veterans or surviving spouses. Two hundred fifty dollars ($250) may be. $250 property tax deduction for veterans or surviving spouses n.j.s.a. This exemption recognizes the sacrifices of veterans disabled in service, providing relief from specific tax obligations to ease their financial burden and improve their quality of life. Check your senior freeze (property. Nj Property Tax Veterans Exemption.
From www.templateroller.com
New Jersey Claim for Property Tax Exemption on Dwelling of Disabled Nj Property Tax Veterans Exemption Check your senior freeze (property tax reimbursement) status here. New jersey's division of taxation has reaffirmed its commitment to the exemption for disabled veterans, effective until october 19, 2030. This application will allow you to upload the following supporting. Two hundred fifty dollars ($250) may be. This exemption recognizes the sacrifices of veterans disabled in service, providing relief from specific. Nj Property Tax Veterans Exemption.
From www.exemptform.com
Senior Citizen Or Disabled Veteran Property Tax Exemption Applicaton Nj Property Tax Veterans Exemption Full property tax exemption for 100% disabled veterans or surviving spouses. If you are an honorably discharged veteran who was 100% permanently and totally. New jersey's division of taxation has reaffirmed its commitment to the exemption for disabled veterans, effective until october 19, 2030. This exemption recognizes the sacrifices of veterans disabled in service, providing relief from specific tax obligations. Nj Property Tax Veterans Exemption.
From vaclaimsinsider.com
18 States With Full Property Tax Exemption for 100 Disabled Veterans Nj Property Tax Veterans Exemption If you are an honorably discharged veteran who was 100% permanently and totally. $250 property tax deduction for veterans or surviving spouses n.j.s.a. This application will allow you to upload the following supporting. 100% permanently and totally disabled active duty veterans or the. The new jersey legislature oct. Check your senior freeze (property tax reimbursement) status here. This exemption recognizes. Nj Property Tax Veterans Exemption.
From www.youtube.com
Veteran Property Tax Exemptions Explained YouTube Nj Property Tax Veterans Exemption 28 passed a resolution urging the president and congress to enact. Two hundred fifty dollars ($250) may be. Check your senior freeze (property tax reimbursement) status here. 100% permanently and totally disabled active duty veterans or the. The new jersey legislature oct. $250 property tax deduction for veterans or surviving spouses n.j.s.a. A ballot measure extending that deduction to peacetime. Nj Property Tax Veterans Exemption.
From www.exemptform.com
Tax Exemption Form For Veterans Nj Property Tax Veterans Exemption The new jersey legislature oct. This application will allow you to upload the following supporting. Full property tax exemption for 100% disabled veterans or surviving spouses. $250 property tax deduction for veterans or surviving spouses n.j.s.a. 100% disabled veteran property tax exemption. Check your senior freeze (property tax reimbursement) status here. This exemption recognizes the sacrifices of veterans disabled in. Nj Property Tax Veterans Exemption.