How To Write An Essay Basic Essay Structure In Three Minutes . This brief video presentation shows you the basic elements of an academic essay structure, including the introduction, body paragraphs and the. Find out how to use logical order, signalling language and. Find out how to organize information within the body paragraphs and answer the what, why, and how questions. Find out how to structure your essay, choose your thesis, and cite your. Introduction, body paragraphs, and conclusion. See examples of different types of essays and their key characteristics and structures. Learn the basics of academic essay writing, from choosing a topic and purpose to structuring and revising your argument. Learn how to write a typical assignment with an introduction, a main body and a conclusion. Learn the basic steps and tips for writing an essay, from generating ideas and picking a type to revising and proofreading. Learn how to write strong essays efficiently with a template for the basic essay structure: Learn how to structure an essay with introduction, body paragraphs, and conclusion.
from www.slideserve.com
Find out how to structure your essay, choose your thesis, and cite your. Learn how to write a typical assignment with an introduction, a main body and a conclusion. Learn the basics of academic essay writing, from choosing a topic and purpose to structuring and revising your argument. Find out how to use logical order, signalling language and. This brief video presentation shows you the basic elements of an academic essay structure, including the introduction, body paragraphs and the. Learn the basic steps and tips for writing an essay, from generating ideas and picking a type to revising and proofreading. Learn how to write strong essays efficiently with a template for the basic essay structure: Learn how to structure an essay with introduction, body paragraphs, and conclusion. Introduction, body paragraphs, and conclusion. Find out how to organize information within the body paragraphs and answer the what, why, and how questions.
PPT The Structure of an Essay PowerPoint Presentation, free download
How To Write An Essay Basic Essay Structure In Three Minutes Find out how to organize information within the body paragraphs and answer the what, why, and how questions. This brief video presentation shows you the basic elements of an academic essay structure, including the introduction, body paragraphs and the. Learn how to write strong essays efficiently with a template for the basic essay structure: See examples of different types of essays and their key characteristics and structures. Learn the basic steps and tips for writing an essay, from generating ideas and picking a type to revising and proofreading. Learn how to write a typical assignment with an introduction, a main body and a conclusion. Find out how to organize information within the body paragraphs and answer the what, why, and how questions. Learn the basics of academic essay writing, from choosing a topic and purpose to structuring and revising your argument. Learn how to structure an essay with introduction, body paragraphs, and conclusion. Find out how to use logical order, signalling language and. Introduction, body paragraphs, and conclusion. Find out how to structure your essay, choose your thesis, and cite your.
From www.absolutelystudying.com
A Simple Explanation of Basic Essay Structure and Organization How To Write An Essay Basic Essay Structure In Three Minutes Find out how to structure your essay, choose your thesis, and cite your. Learn the basics of academic essay writing, from choosing a topic and purpose to structuring and revising your argument. Introduction, body paragraphs, and conclusion. See examples of different types of essays and their key characteristics and structures. Find out how to organize information within the body paragraphs. How To Write An Essay Basic Essay Structure In Three Minutes.
From www.transtle.com
How to Write an Essay Step by Step Guide & Examples Transtle How To Write An Essay Basic Essay Structure In Three Minutes Find out how to structure your essay, choose your thesis, and cite your. Learn how to write a typical assignment with an introduction, a main body and a conclusion. Learn the basics of academic essay writing, from choosing a topic and purpose to structuring and revising your argument. Learn the basic steps and tips for writing an essay, from generating. How To Write An Essay Basic Essay Structure In Three Minutes.
From www.youtube.com
How to Write an Essay in English (Essay Writing in 9 Simple Steps How To Write An Essay Basic Essay Structure In Three Minutes Find out how to organize information within the body paragraphs and answer the what, why, and how questions. Learn the basics of academic essay writing, from choosing a topic and purpose to structuring and revising your argument. Introduction, body paragraphs, and conclusion. Learn how to write strong essays efficiently with a template for the basic essay structure: Learn how to. How To Write An Essay Basic Essay Structure In Three Minutes.
From webapi.bu.edu
What is the structure of an essay. Basic Essay Structure. 20221021 How To Write An Essay Basic Essay Structure In Three Minutes Find out how to structure your essay, choose your thesis, and cite your. Learn how to write a typical assignment with an introduction, a main body and a conclusion. Find out how to organize information within the body paragraphs and answer the what, why, and how questions. Learn how to structure an essay with introduction, body paragraphs, and conclusion. Learn. How To Write An Essay Basic Essay Structure In Three Minutes.
From www.slideshare.net
Parts of an Essay How To Write An Essay Basic Essay Structure In Three Minutes Learn the basic steps and tips for writing an essay, from generating ideas and picking a type to revising and proofreading. Find out how to use logical order, signalling language and. Learn how to write strong essays efficiently with a template for the basic essay structure: See examples of different types of essays and their key characteristics and structures. Find. How To Write An Essay Basic Essay Structure In Three Minutes.
From www.studypool.com
SOLUTION How to write an essay Studypool How To Write An Essay Basic Essay Structure In Three Minutes See examples of different types of essays and their key characteristics and structures. Find out how to structure your essay, choose your thesis, and cite your. Find out how to use logical order, signalling language and. Introduction, body paragraphs, and conclusion. Learn how to write a typical assignment with an introduction, a main body and a conclusion. This brief video. How To Write An Essay Basic Essay Structure In Three Minutes.
From www.yourdictionary.com
How to Write an Essay Fast Writing Tips and Tricks YourDictionary How To Write An Essay Basic Essay Structure In Three Minutes Introduction, body paragraphs, and conclusion. Learn how to write a typical assignment with an introduction, a main body and a conclusion. Learn the basics of academic essay writing, from choosing a topic and purpose to structuring and revising your argument. Find out how to use logical order, signalling language and. Learn how to structure an essay with introduction, body paragraphs,. How To Write An Essay Basic Essay Structure In Three Minutes.
From www.slideserve.com
PPT The Structure of an Essay PowerPoint Presentation, free download How To Write An Essay Basic Essay Structure In Three Minutes Learn how to write a typical assignment with an introduction, a main body and a conclusion. Learn the basic steps and tips for writing an essay, from generating ideas and picking a type to revising and proofreading. See examples of different types of essays and their key characteristics and structures. Find out how to structure your essay, choose your thesis,. How To Write An Essay Basic Essay Structure In Three Minutes.
From www.pinterest.co.uk
StepByStep Guide to Essay Writing Ielts writing, Ielts, Essay How To Write An Essay Basic Essay Structure In Three Minutes Introduction, body paragraphs, and conclusion. Learn how to write a typical assignment with an introduction, a main body and a conclusion. Learn the basics of academic essay writing, from choosing a topic and purpose to structuring and revising your argument. Learn how to write strong essays efficiently with a template for the basic essay structure: Find out how to use. How To Write An Essay Basic Essay Structure In Three Minutes.
From onlinefreenotes.com
Essay writing How to write an essay? Format and sample How To Write An Essay Basic Essay Structure In Three Minutes Learn how to write a typical assignment with an introduction, a main body and a conclusion. Learn how to structure an essay with introduction, body paragraphs, and conclusion. Find out how to organize information within the body paragraphs and answer the what, why, and how questions. This brief video presentation shows you the basic elements of an academic essay structure,. How To Write An Essay Basic Essay Structure In Three Minutes.
From webapi.bu.edu
What is the structure of an essay. Basic Essay Structure. 20221021 How To Write An Essay Basic Essay Structure In Three Minutes Find out how to structure your essay, choose your thesis, and cite your. Learn how to write strong essays efficiently with a template for the basic essay structure: Learn the basic steps and tips for writing an essay, from generating ideas and picking a type to revising and proofreading. This brief video presentation shows you the basic elements of an. How To Write An Essay Basic Essay Structure In Three Minutes.
From www.wikihow.com
How to Write an Essay (with Pictures) wikiHow How To Write An Essay Basic Essay Structure In Three Minutes Introduction, body paragraphs, and conclusion. Find out how to organize information within the body paragraphs and answer the what, why, and how questions. Learn the basics of academic essay writing, from choosing a topic and purpose to structuring and revising your argument. Find out how to use logical order, signalling language and. This brief video presentation shows you the basic. How To Write An Essay Basic Essay Structure In Three Minutes.
From www.eslbuzz.com
StepByStep Guide to Essay Writing ESL Buzz How To Write An Essay Basic Essay Structure In Three Minutes Learn how to structure an essay with introduction, body paragraphs, and conclusion. Learn how to write strong essays efficiently with a template for the basic essay structure: Find out how to use logical order, signalling language and. See examples of different types of essays and their key characteristics and structures. Introduction, body paragraphs, and conclusion. Learn the basics of academic. How To Write An Essay Basic Essay Structure In Three Minutes.
From www.matrix.edu.au
Part 6 How To Write An Essay For Band 6 Marks Matrix Education How To Write An Essay Basic Essay Structure In Three Minutes This brief video presentation shows you the basic elements of an academic essay structure, including the introduction, body paragraphs and the. Learn how to structure an essay with introduction, body paragraphs, and conclusion. Find out how to organize information within the body paragraphs and answer the what, why, and how questions. Find out how to use logical order, signalling language. How To Write An Essay Basic Essay Structure In Three Minutes.
From assignmentfirm.com
Model Basic Essay Structure Guideline Secure High Grades In Essay How To Write An Essay Basic Essay Structure In Three Minutes Find out how to use logical order, signalling language and. Learn how to structure an essay with introduction, body paragraphs, and conclusion. See examples of different types of essays and their key characteristics and structures. Find out how to structure your essay, choose your thesis, and cite your. Learn the basic steps and tips for writing an essay, from generating. How To Write An Essay Basic Essay Structure In Three Minutes.
From grammar.yourdictionary.com
What Are the Main Parts of an Essay? How To Write An Essay Basic Essay Structure In Three Minutes Learn how to structure an essay with introduction, body paragraphs, and conclusion. Learn how to write strong essays efficiently with a template for the basic essay structure: Find out how to organize information within the body paragraphs and answer the what, why, and how questions. See examples of different types of essays and their key characteristics and structures. Find out. How To Write An Essay Basic Essay Structure In Three Minutes.
From peachyessay.com
How to Structure an Essay A Guide for College Students How To Write An Essay Basic Essay Structure In Three Minutes Learn how to structure an essay with introduction, body paragraphs, and conclusion. Find out how to use logical order, signalling language and. See examples of different types of essays and their key characteristics and structures. Learn the basic steps and tips for writing an essay, from generating ideas and picking a type to revising and proofreading. Introduction, body paragraphs, and. How To Write An Essay Basic Essay Structure In Three Minutes.
From www.yourdictionary.com
How to Write an Essay YourDictionary How To Write An Essay Basic Essay Structure In Three Minutes Learn the basics of academic essay writing, from choosing a topic and purpose to structuring and revising your argument. Find out how to use logical order, signalling language and. Learn how to write strong essays efficiently with a template for the basic essay structure: Find out how to organize information within the body paragraphs and answer the what, why, and. How To Write An Essay Basic Essay Structure In Three Minutes.
From tomcatmytheresa.blogspot.com
How To Write An Essay Step By Step How To Write An Essay Basic Essay Structure In Three Minutes Find out how to structure your essay, choose your thesis, and cite your. Find out how to use logical order, signalling language and. Find out how to organize information within the body paragraphs and answer the what, why, and how questions. Learn the basics of academic essay writing, from choosing a topic and purpose to structuring and revising your argument.. How To Write An Essay Basic Essay Structure In Three Minutes.
From peachyessay.com
How to Structure an Essay A Guide for College Students How To Write An Essay Basic Essay Structure In Three Minutes See examples of different types of essays and their key characteristics and structures. This brief video presentation shows you the basic elements of an academic essay structure, including the introduction, body paragraphs and the. Find out how to structure your essay, choose your thesis, and cite your. Find out how to use logical order, signalling language and. Learn how to. How To Write An Essay Basic Essay Structure In Three Minutes.
From flexiblelearning.auckland.ac.nz
Essay writing Planning the essay How To Write An Essay Basic Essay Structure In Three Minutes Introduction, body paragraphs, and conclusion. Learn how to write a typical assignment with an introduction, a main body and a conclusion. Learn how to write strong essays efficiently with a template for the basic essay structure: See examples of different types of essays and their key characteristics and structures. This brief video presentation shows you the basic elements of an. How To Write An Essay Basic Essay Structure In Three Minutes.
From 7esl.com
How to Write an Essay in 9 Simple Steps • 7ESL How To Write An Essay Basic Essay Structure In Three Minutes Find out how to use logical order, signalling language and. Find out how to organize information within the body paragraphs and answer the what, why, and how questions. Learn how to write a typical assignment with an introduction, a main body and a conclusion. Find out how to structure your essay, choose your thesis, and cite your. Introduction, body paragraphs,. How To Write An Essay Basic Essay Structure In Three Minutes.
From medium.com
Essay Outline How to create good essay outlines by TutorBin Medium How To Write An Essay Basic Essay Structure In Three Minutes Learn the basic steps and tips for writing an essay, from generating ideas and picking a type to revising and proofreading. Learn how to structure an essay with introduction, body paragraphs, and conclusion. Learn the basics of academic essay writing, from choosing a topic and purpose to structuring and revising your argument. Find out how to use logical order, signalling. How To Write An Essay Basic Essay Structure In Three Minutes.
From www.scribd.com
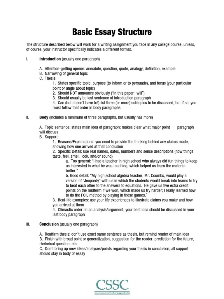
Basic Essay Structure Introduction (Usually One Paragraph) PDF How To Write An Essay Basic Essay Structure In Three Minutes Find out how to use logical order, signalling language and. Learn the basics of academic essay writing, from choosing a topic and purpose to structuring and revising your argument. Introduction, body paragraphs, and conclusion. Learn how to structure an essay with introduction, body paragraphs, and conclusion. Find out how to organize information within the body paragraphs and answer the what,. How To Write An Essay Basic Essay Structure In Three Minutes.
From lowielun.eu
Basic 3 Paragraph Essay Write a three paragraph essay How To Write An Essay Basic Essay Structure In Three Minutes This brief video presentation shows you the basic elements of an academic essay structure, including the introduction, body paragraphs and the. Learn the basics of academic essay writing, from choosing a topic and purpose to structuring and revising your argument. Introduction, body paragraphs, and conclusion. Learn the basic steps and tips for writing an essay, from generating ideas and picking. How To Write An Essay Basic Essay Structure In Three Minutes.
From studycorgi.com
How to Write a 3000Word Essay and How Long Is It? Structure, Examples How To Write An Essay Basic Essay Structure In Three Minutes Learn the basic steps and tips for writing an essay, from generating ideas and picking a type to revising and proofreading. Learn how to write a typical assignment with an introduction, a main body and a conclusion. Find out how to use logical order, signalling language and. Find out how to organize information within the body paragraphs and answer the. How To Write An Essay Basic Essay Structure In Three Minutes.
From helpfulprofessor.com
11 Rules for Essay Paragraph Structure (with Examples) (2024) How To Write An Essay Basic Essay Structure In Three Minutes Learn how to structure an essay with introduction, body paragraphs, and conclusion. Find out how to use logical order, signalling language and. This brief video presentation shows you the basic elements of an academic essay structure, including the introduction, body paragraphs and the. Learn how to write a typical assignment with an introduction, a main body and a conclusion. Introduction,. How To Write An Essay Basic Essay Structure In Three Minutes.
From www.advancedwriters.com
Essay Outline A StepbyStep Guide to Write a Masterpiece How To Write An Essay Basic Essay Structure In Three Minutes This brief video presentation shows you the basic elements of an academic essay structure, including the introduction, body paragraphs and the. Learn how to write strong essays efficiently with a template for the basic essay structure: See examples of different types of essays and their key characteristics and structures. Introduction, body paragraphs, and conclusion. Find out how to use logical. How To Write An Essay Basic Essay Structure In Three Minutes.
From englishgrammarsoft.com
How to Write an Essay Structure of Essay Guide How To Write An Essay Basic Essay Structure In Three Minutes Learn how to write a typical assignment with an introduction, a main body and a conclusion. Learn how to write strong essays efficiently with a template for the basic essay structure: Find out how to use logical order, signalling language and. Introduction, body paragraphs, and conclusion. Learn the basic steps and tips for writing an essay, from generating ideas and. How To Write An Essay Basic Essay Structure In Three Minutes.
From www.slideshare.net
Essay format template from essay writing servi… How To Write An Essay Basic Essay Structure In Three Minutes Learn the basic steps and tips for writing an essay, from generating ideas and picking a type to revising and proofreading. See examples of different types of essays and their key characteristics and structures. Learn how to write strong essays efficiently with a template for the basic essay structure: This brief video presentation shows you the basic elements of an. How To Write An Essay Basic Essay Structure In Three Minutes.
From www.academic-englishuk.com
Academic Paragraphing how to write an academic paragraph How To Write An Essay Basic Essay Structure In Three Minutes Find out how to organize information within the body paragraphs and answer the what, why, and how questions. Learn the basics of academic essay writing, from choosing a topic and purpose to structuring and revising your argument. Learn how to write strong essays efficiently with a template for the basic essay structure: Find out how to use logical order, signalling. How To Write An Essay Basic Essay Structure In Three Minutes.
From www.slideserve.com
PPT Essay Structure PowerPoint Presentation, free download ID4341645 How To Write An Essay Basic Essay Structure In Three Minutes Find out how to structure your essay, choose your thesis, and cite your. Learn the basic steps and tips for writing an essay, from generating ideas and picking a type to revising and proofreading. Learn how to write a typical assignment with an introduction, a main body and a conclusion. Introduction, body paragraphs, and conclusion. Find out how to organize. How To Write An Essay Basic Essay Structure In Three Minutes.
From www.template.net
19+ Essay Templates in PDF How To Write An Essay Basic Essay Structure In Three Minutes This brief video presentation shows you the basic elements of an academic essay structure, including the introduction, body paragraphs and the. Learn how to write strong essays efficiently with a template for the basic essay structure: Find out how to use logical order, signalling language and. Learn the basic steps and tips for writing an essay, from generating ideas and. How To Write An Essay Basic Essay Structure In Three Minutes.
From exemplarywriters.com
How to Structure an Essay Exemplary Writers How To Write An Essay Basic Essay Structure In Three Minutes Learn how to write strong essays efficiently with a template for the basic essay structure: This brief video presentation shows you the basic elements of an academic essay structure, including the introduction, body paragraphs and the. Find out how to use logical order, signalling language and. Learn how to structure an essay with introduction, body paragraphs, and conclusion. Learn how. How To Write An Essay Basic Essay Structure In Three Minutes.
From www.template.net
15+ Essay Format Templates PDF How To Write An Essay Basic Essay Structure In Three Minutes Find out how to structure your essay, choose your thesis, and cite your. Find out how to organize information within the body paragraphs and answer the what, why, and how questions. Learn how to structure an essay with introduction, body paragraphs, and conclusion. Learn how to write strong essays efficiently with a template for the basic essay structure: Learn the. How To Write An Essay Basic Essay Structure In Three Minutes.