Window Treatments Real Estate Contract . If you want to ensure that window treatments are included in your home purchase, look over your contract to see if they're specifically. If you are planning to leave them behind, let your agent know so that it can be added to the listing. Fraser bond breaks down the obligations of leaseholders and. Determining responsibility for window replacement in leasehold flats can be complex. Learn how to decide what to take with you and what to leave behind when you sell your home. However, curtains and drapes are considered. In the context of real estate contracts, window treatments refer to any coverings or treatments used on windows, such as curtains,. In a real estate contract, “window treatments” refer to coverings or decorations placed over windows, such as curtains, blinds, shades, or drapes. Find out what are the general rules for attached and unattached items, such as lighting fixtures,. These treatments may be included in. Window treatments are another area that can be negotiated when you sell your home.
from www.dscustomwindowdesigns.com
Determining responsibility for window replacement in leasehold flats can be complex. However, curtains and drapes are considered. Window treatments are another area that can be negotiated when you sell your home. If you want to ensure that window treatments are included in your home purchase, look over your contract to see if they're specifically. Fraser bond breaks down the obligations of leaseholders and. In a real estate contract, “window treatments” refer to coverings or decorations placed over windows, such as curtains, blinds, shades, or drapes. In the context of real estate contracts, window treatments refer to any coverings or treatments used on windows, such as curtains,. These treatments may be included in. If you are planning to leave them behind, let your agent know so that it can be added to the listing. Find out what are the general rules for attached and unattached items, such as lighting fixtures,.
Window Treatment Types for Your Florida Home — Drapes and Shades Custom
Window Treatments Real Estate Contract However, curtains and drapes are considered. However, curtains and drapes are considered. Determining responsibility for window replacement in leasehold flats can be complex. Find out what are the general rules for attached and unattached items, such as lighting fixtures,. In a real estate contract, “window treatments” refer to coverings or decorations placed over windows, such as curtains, blinds, shades, or drapes. Window treatments are another area that can be negotiated when you sell your home. In the context of real estate contracts, window treatments refer to any coverings or treatments used on windows, such as curtains,. These treatments may be included in. If you want to ensure that window treatments are included in your home purchase, look over your contract to see if they're specifically. Fraser bond breaks down the obligations of leaseholders and. Learn how to decide what to take with you and what to leave behind when you sell your home. If you are planning to leave them behind, let your agent know so that it can be added to the listing.
From www.patriotblinds.com
» The Best Window Treatments to Use For a Rental Property Window Treatments Real Estate Contract If you are planning to leave them behind, let your agent know so that it can be added to the listing. In the context of real estate contracts, window treatments refer to any coverings or treatments used on windows, such as curtains,. Find out what are the general rules for attached and unattached items, such as lighting fixtures,. If you. Window Treatments Real Estate Contract.
From libertyshutters.com
Window Treatments to consider for your Homes! Liberty Shutters Window Treatments Real Estate Contract If you are planning to leave them behind, let your agent know so that it can be added to the listing. These treatments may be included in. Find out what are the general rules for attached and unattached items, such as lighting fixtures,. Window treatments are another area that can be negotiated when you sell your home. In a real. Window Treatments Real Estate Contract.
From www.windowworksstudio.com
Top Treatments Window Works Studio Window Treatments Real Estate Contract Window treatments are another area that can be negotiated when you sell your home. If you are planning to leave them behind, let your agent know so that it can be added to the listing. If you want to ensure that window treatments are included in your home purchase, look over your contract to see if they're specifically. These treatments. Window Treatments Real Estate Contract.
From www.uslegalforms.com
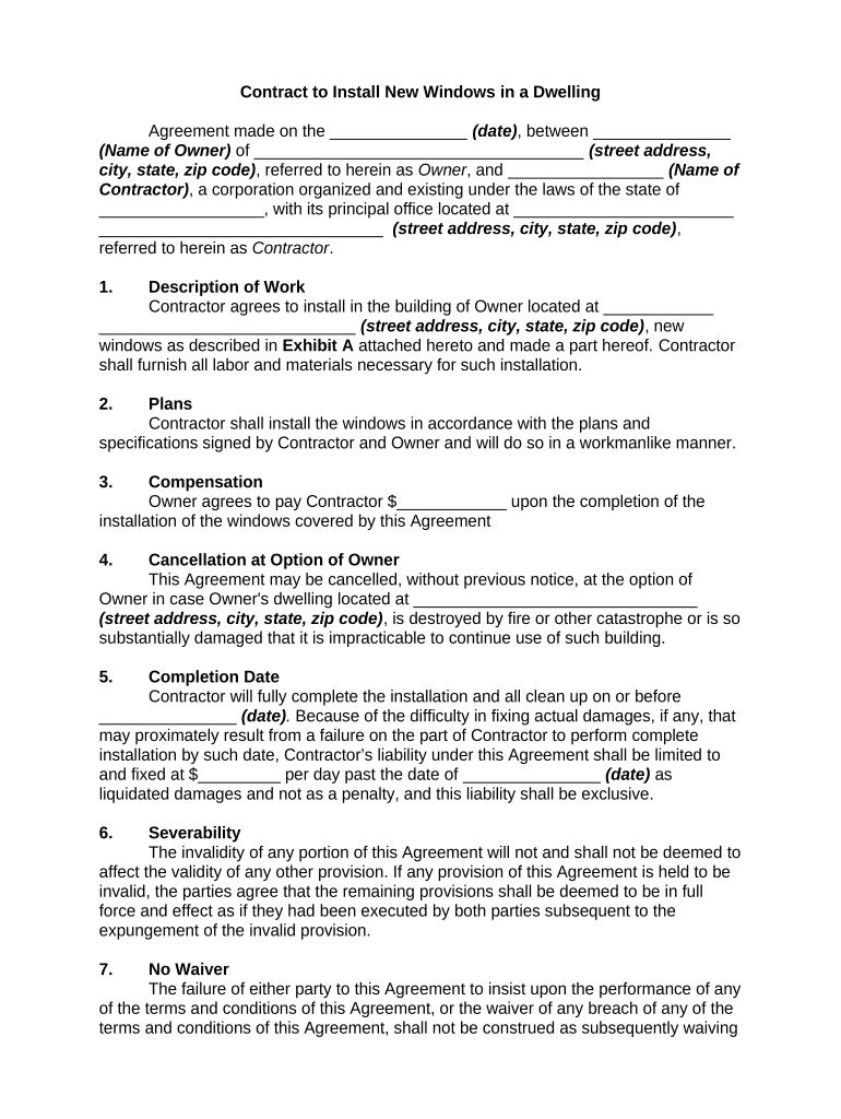
Contract to Install New Windows in a Dwelling Window Installation Window Treatments Real Estate Contract Window treatments are another area that can be negotiated when you sell your home. Fraser bond breaks down the obligations of leaseholders and. Determining responsibility for window replacement in leasehold flats can be complex. Find out what are the general rules for attached and unattached items, such as lighting fixtures,. In a real estate contract, “window treatments” refer to coverings. Window Treatments Real Estate Contract.
From www.pdffiller.com
Lutron Contract Roller Window Treatments Doc Template pdfFiller Window Treatments Real Estate Contract In the context of real estate contracts, window treatments refer to any coverings or treatments used on windows, such as curtains,. In a real estate contract, “window treatments” refer to coverings or decorations placed over windows, such as curtains, blinds, shades, or drapes. Determining responsibility for window replacement in leasehold flats can be complex. These treatments may be included in.. Window Treatments Real Estate Contract.
From rperryclark.decoratingden.com
Custom Window Treatments Carmel, IN Custom Drapery, Shades and Blinds Window Treatments Real Estate Contract However, curtains and drapes are considered. Determining responsibility for window replacement in leasehold flats can be complex. Fraser bond breaks down the obligations of leaseholders and. If you want to ensure that window treatments are included in your home purchase, look over your contract to see if they're specifically. In the context of real estate contracts, window treatments refer to. Window Treatments Real Estate Contract.
From designsbydonnaatlanta.com
Custom Window Treatments photo gallery, 1 & 2 storey windows Window Treatments Real Estate Contract Fraser bond breaks down the obligations of leaseholders and. If you want to ensure that window treatments are included in your home purchase, look over your contract to see if they're specifically. Find out what are the general rules for attached and unattached items, such as lighting fixtures,. In a real estate contract, “window treatments” refer to coverings or decorations. Window Treatments Real Estate Contract.
From issuu.com
Acc window replacement request form by Cameron Knoll Issuu Window Treatments Real Estate Contract Learn how to decide what to take with you and what to leave behind when you sell your home. Find out what are the general rules for attached and unattached items, such as lighting fixtures,. Fraser bond breaks down the obligations of leaseholders and. In a real estate contract, “window treatments” refer to coverings or decorations placed over windows, such. Window Treatments Real Estate Contract.
From centralpablindsndesigns.com
Creative Window Treatment Design Central Pennsylvania Window Treatments Real Estate Contract Find out what are the general rules for attached and unattached items, such as lighting fixtures,. In the context of real estate contracts, window treatments refer to any coverings or treatments used on windows, such as curtains,. In a real estate contract, “window treatments” refer to coverings or decorations placed over windows, such as curtains, blinds, shades, or drapes. Learn. Window Treatments Real Estate Contract.
From parkwaywindowworks.com
How To Layer Your Window Treatments Parkway Window Works Window Treatments Real Estate Contract In the context of real estate contracts, window treatments refer to any coverings or treatments used on windows, such as curtains,. Find out what are the general rules for attached and unattached items, such as lighting fixtures,. These treatments may be included in. Window treatments are another area that can be negotiated when you sell your home. Determining responsibility for. Window Treatments Real Estate Contract.
From www.linlydesigns.com
Custom Window Treatments Created & Installed by Our Drapery Artisan Window Treatments Real Estate Contract In a real estate contract, “window treatments” refer to coverings or decorations placed over windows, such as curtains, blinds, shades, or drapes. These treatments may be included in. Determining responsibility for window replacement in leasehold flats can be complex. Find out what are the general rules for attached and unattached items, such as lighting fixtures,. If you want to ensure. Window Treatments Real Estate Contract.
From celaupzj.blob.core.windows.net
Window Treatments Columbia Mo at Samuel Rodriguez blog Window Treatments Real Estate Contract In the context of real estate contracts, window treatments refer to any coverings or treatments used on windows, such as curtains,. Learn how to decide what to take with you and what to leave behind when you sell your home. However, curtains and drapes are considered. Fraser bond breaks down the obligations of leaseholders and. These treatments may be included. Window Treatments Real Estate Contract.
From www.deelinc.com
Top 5 Window Treatments for Small & Large Locations! Window Treatments Real Estate Contract Window treatments are another area that can be negotiated when you sell your home. In the context of real estate contracts, window treatments refer to any coverings or treatments used on windows, such as curtains,. Determining responsibility for window replacement in leasehold flats can be complex. However, curtains and drapes are considered. If you are planning to leave them behind,. Window Treatments Real Estate Contract.
From www.vitaliainc.com
Ventry Clubhouse — Custom Window Treatments Vitalia Inc Window Treatments Real Estate Contract These treatments may be included in. If you want to ensure that window treatments are included in your home purchase, look over your contract to see if they're specifically. Fraser bond breaks down the obligations of leaseholders and. If you are planning to leave them behind, let your agent know so that it can be added to the listing. Find. Window Treatments Real Estate Contract.
From www.realhomes.com
16 home office window treatment ideas for a WFH setup like no other Window Treatments Real Estate Contract These treatments may be included in. Find out what are the general rules for attached and unattached items, such as lighting fixtures,. Determining responsibility for window replacement in leasehold flats can be complex. Window treatments are another area that can be negotiated when you sell your home. If you want to ensure that window treatments are included in your home. Window Treatments Real Estate Contract.
From blindsbros.com
Features of Customizable Window Treatments with Plantation Shutters Window Treatments Real Estate Contract These treatments may be included in. If you are planning to leave them behind, let your agent know so that it can be added to the listing. Learn how to decide what to take with you and what to leave behind when you sell your home. Find out what are the general rules for attached and unattached items, such as. Window Treatments Real Estate Contract.
From www.pinterest.com
Real designers don’t have to be real expensive. In fact, at Calico Window Treatments Real Estate Contract Fraser bond breaks down the obligations of leaseholders and. Window treatments are another area that can be negotiated when you sell your home. In the context of real estate contracts, window treatments refer to any coverings or treatments used on windows, such as curtains,. Determining responsibility for window replacement in leasehold flats can be complex. Learn how to decide what. Window Treatments Real Estate Contract.
From www.uslegalforms.com
Florida Real Estate Contract 20202022 20202022 Fill and Sign Window Treatments Real Estate Contract However, curtains and drapes are considered. Find out what are the general rules for attached and unattached items, such as lighting fixtures,. Determining responsibility for window replacement in leasehold flats can be complex. In the context of real estate contracts, window treatments refer to any coverings or treatments used on windows, such as curtains,. Window treatments are another area that. Window Treatments Real Estate Contract.
From www.designdistrictdrapes.com
Design District Custom Draperies Quality Custom & Contract Window Window Treatments Real Estate Contract Determining responsibility for window replacement in leasehold flats can be complex. Find out what are the general rules for attached and unattached items, such as lighting fixtures,. Window treatments are another area that can be negotiated when you sell your home. These treatments may be included in. In a real estate contract, “window treatments” refer to coverings or decorations placed. Window Treatments Real Estate Contract.
From sjsdesigns.decoratingden.com
Custom Window Treatments for your TriState Area Home Window Treatments Real Estate Contract In a real estate contract, “window treatments” refer to coverings or decorations placed over windows, such as curtains, blinds, shades, or drapes. Fraser bond breaks down the obligations of leaseholders and. Window treatments are another area that can be negotiated when you sell your home. Find out what are the general rules for attached and unattached items, such as lighting. Window Treatments Real Estate Contract.
From empirecustomwindows.com
Window Treatment Installation Empire Custom Windows Window Treatments Real Estate Contract These treatments may be included in. In a real estate contract, “window treatments” refer to coverings or decorations placed over windows, such as curtains, blinds, shades, or drapes. However, curtains and drapes are considered. Learn how to decide what to take with you and what to leave behind when you sell your home. Determining responsibility for window replacement in leasehold. Window Treatments Real Estate Contract.
From www.gotchacovered.com
Soft Window Treatments 101 A Definitive Guide To Soft Window Treatment Window Treatments Real Estate Contract Determining responsibility for window replacement in leasehold flats can be complex. Window treatments are another area that can be negotiated when you sell your home. In the context of real estate contracts, window treatments refer to any coverings or treatments used on windows, such as curtains,. Find out what are the general rules for attached and unattached items, such as. Window Treatments Real Estate Contract.
From www.skylinewindowcoverings.com
Covering Floor to Ceiling Windows Window Treatment Solutions Window Treatments Real Estate Contract These treatments may be included in. Determining responsibility for window replacement in leasehold flats can be complex. In a real estate contract, “window treatments” refer to coverings or decorations placed over windows, such as curtains, blinds, shades, or drapes. In the context of real estate contracts, window treatments refer to any coverings or treatments used on windows, such as curtains,.. Window Treatments Real Estate Contract.
From www.abelswindowtreatments.com
Gallery Abels Window Treatments Window Treatments Real Estate Contract In the context of real estate contracts, window treatments refer to any coverings or treatments used on windows, such as curtains,. If you want to ensure that window treatments are included in your home purchase, look over your contract to see if they're specifically. Find out what are the general rules for attached and unattached items, such as lighting fixtures,.. Window Treatments Real Estate Contract.
From blindguyoftricities.com
Most Popular Styles of Window Treatments in 2023 Window Treatments Real Estate Contract If you are planning to leave them behind, let your agent know so that it can be added to the listing. Window treatments are another area that can be negotiated when you sell your home. Fraser bond breaks down the obligations of leaseholders and. However, curtains and drapes are considered. These treatments may be included in. Determining responsibility for window. Window Treatments Real Estate Contract.
From www.stoneside.com
Experts Share How to Choose the Right Window Treatments for an Open Window Treatments Real Estate Contract Find out what are the general rules for attached and unattached items, such as lighting fixtures,. However, curtains and drapes are considered. These treatments may be included in. Window treatments are another area that can be negotiated when you sell your home. If you want to ensure that window treatments are included in your home purchase, look over your contract. Window Treatments Real Estate Contract.
From empirewindowtreatment.com
Complete Guide StepByStep to Choose Window Treatments Window Treatments Real Estate Contract Learn how to decide what to take with you and what to leave behind when you sell your home. If you are planning to leave them behind, let your agent know so that it can be added to the listing. Find out what are the general rules for attached and unattached items, such as lighting fixtures,. These treatments may be. Window Treatments Real Estate Contract.
From www.dochub.com
Window installation contract template Fill out & sign online DocHub Window Treatments Real Estate Contract Window treatments are another area that can be negotiated when you sell your home. These treatments may be included in. In the context of real estate contracts, window treatments refer to any coverings or treatments used on windows, such as curtains,. If you are planning to leave them behind, let your agent know so that it can be added to. Window Treatments Real Estate Contract.
From www.dscustomwindowdesigns.com
Window Treatment Types for Your Florida Home — Drapes and Shades Custom Window Treatments Real Estate Contract Learn how to decide what to take with you and what to leave behind when you sell your home. Find out what are the general rules for attached and unattached items, such as lighting fixtures,. However, curtains and drapes are considered. Determining responsibility for window replacement in leasehold flats can be complex. If you want to ensure that window treatments. Window Treatments Real Estate Contract.
From www.artofit.org
Custom window treatments created installed by our drapery artisan Artofit Window Treatments Real Estate Contract These treatments may be included in. Determining responsibility for window replacement in leasehold flats can be complex. Window treatments are another area that can be negotiated when you sell your home. In the context of real estate contracts, window treatments refer to any coverings or treatments used on windows, such as curtains,. Learn how to decide what to take with. Window Treatments Real Estate Contract.
From www.sampleforms.com
FREE 8+ Real Estate Contract Forms in PDF MS Word Window Treatments Real Estate Contract If you want to ensure that window treatments are included in your home purchase, look over your contract to see if they're specifically. These treatments may be included in. Learn how to decide what to take with you and what to leave behind when you sell your home. Fraser bond breaks down the obligations of leaseholders and. If you are. Window Treatments Real Estate Contract.
From www.orlysinteriors.com
How To Match Window Treatments and Drapes Orly’s Interiors Window Treatments Real Estate Contract Find out what are the general rules for attached and unattached items, such as lighting fixtures,. Learn how to decide what to take with you and what to leave behind when you sell your home. In a real estate contract, “window treatments” refer to coverings or decorations placed over windows, such as curtains, blinds, shades, or drapes. These treatments may. Window Treatments Real Estate Contract.
From filmsgqsde.blogspot.com
Window Treatments For 2 Story Great Room Property & Real Estate for Rent Window Treatments Real Estate Contract Fraser bond breaks down the obligations of leaseholders and. If you want to ensure that window treatments are included in your home purchase, look over your contract to see if they're specifically. These treatments may be included in. Determining responsibility for window replacement in leasehold flats can be complex. Find out what are the general rules for attached and unattached. Window Treatments Real Estate Contract.
From ceycaemt.blob.core.windows.net
Window Treatments Boulder at Stacy Riedel blog Window Treatments Real Estate Contract However, curtains and drapes are considered. If you want to ensure that window treatments are included in your home purchase, look over your contract to see if they're specifically. In a real estate contract, “window treatments” refer to coverings or decorations placed over windows, such as curtains, blinds, shades, or drapes. Determining responsibility for window replacement in leasehold flats can. Window Treatments Real Estate Contract.
From www.mydomaine.com
31 Window Treatment Ideas That Work for Any Room Window Treatments Real Estate Contract If you want to ensure that window treatments are included in your home purchase, look over your contract to see if they're specifically. Fraser bond breaks down the obligations of leaseholders and. Window treatments are another area that can be negotiated when you sell your home. However, curtains and drapes are considered. If you are planning to leave them behind,. Window Treatments Real Estate Contract.