Is A Real Estate Offer Legally Binding . In real estate, a binding contract is a legally enforceable agreement between parties. It is crucial to keep in mind that verbal agreements to sell real estate aren’t legally binding. Yes, anyone can put in an offer on a house, and they should be aware that residential purchase and sale contracts are legally binding. It stipulates the terms under which property is bought or sold. Once you are under contract, it. The type of offer form used is. To be legally enforceable, a contract to buy real estate must be in writing, agreed to, and. After you've made an offer to buy a house, the seller will either: Put simply, the real estate contract is a binding document, which comes into the equation once a property’s seller has decided to accept the offer made by a prospective buyer. Make a counteroffer with one or more changes,.
from legaltemplates.net
After you've made an offer to buy a house, the seller will either: Once you are under contract, it. Yes, anyone can put in an offer on a house, and they should be aware that residential purchase and sale contracts are legally binding. It is crucial to keep in mind that verbal agreements to sell real estate aren’t legally binding. The type of offer form used is. Put simply, the real estate contract is a binding document, which comes into the equation once a property’s seller has decided to accept the offer made by a prospective buyer. Make a counteroffer with one or more changes,. In real estate, a binding contract is a legally enforceable agreement between parties. It stipulates the terms under which property is bought or sold. To be legally enforceable, a contract to buy real estate must be in writing, agreed to, and.
Real Estate Purchase Agreement Form Legal Templates
Is A Real Estate Offer Legally Binding Put simply, the real estate contract is a binding document, which comes into the equation once a property’s seller has decided to accept the offer made by a prospective buyer. It is crucial to keep in mind that verbal agreements to sell real estate aren’t legally binding. Make a counteroffer with one or more changes,. After you've made an offer to buy a house, the seller will either: In real estate, a binding contract is a legally enforceable agreement between parties. To be legally enforceable, a contract to buy real estate must be in writing, agreed to, and. Put simply, the real estate contract is a binding document, which comes into the equation once a property’s seller has decided to accept the offer made by a prospective buyer. It stipulates the terms under which property is bought or sold. Yes, anyone can put in an offer on a house, and they should be aware that residential purchase and sale contracts are legally binding. Once you are under contract, it. The type of offer form used is.
From www.printablesample.com
12 Free Sample Legally Binding Agreement Templates Is A Real Estate Offer Legally Binding In real estate, a binding contract is a legally enforceable agreement between parties. Make a counteroffer with one or more changes,. It stipulates the terms under which property is bought or sold. It is crucial to keep in mind that verbal agreements to sell real estate aren’t legally binding. Put simply, the real estate contract is a binding document, which. Is A Real Estate Offer Legally Binding.
From whoamuu.blogspot.com
Agreement Legally Binding Contract Template HQ Printable Documents Is A Real Estate Offer Legally Binding It stipulates the terms under which property is bought or sold. It is crucial to keep in mind that verbal agreements to sell real estate aren’t legally binding. Once you are under contract, it. In real estate, a binding contract is a legally enforceable agreement between parties. To be legally enforceable, a contract to buy real estate must be in. Is A Real Estate Offer Legally Binding.
From www.freepik.com
Premium Photo Closing the deal real estate agent guides home purchase agreement for legally Is A Real Estate Offer Legally Binding After you've made an offer to buy a house, the seller will either: It stipulates the terms under which property is bought or sold. Once you are under contract, it. Yes, anyone can put in an offer on a house, and they should be aware that residential purchase and sale contracts are legally binding. In real estate, a binding contract. Is A Real Estate Offer Legally Binding.
From www.scribd.com
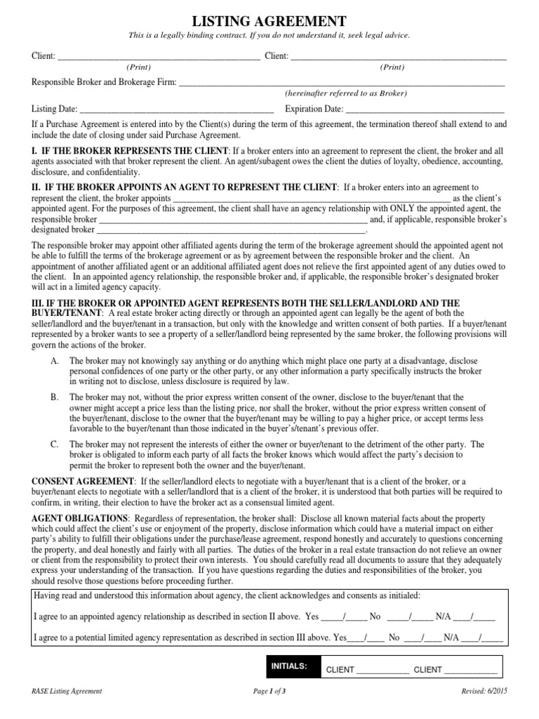
Listing Agreement This Is A Legally Binding Contract. If You Do Not Understand It, Seek Legal Is A Real Estate Offer Legally Binding In real estate, a binding contract is a legally enforceable agreement between parties. It is crucial to keep in mind that verbal agreements to sell real estate aren’t legally binding. It stipulates the terms under which property is bought or sold. After you've made an offer to buy a house, the seller will either: Put simply, the real estate contract. Is A Real Estate Offer Legally Binding.
From www.printablesample.com
12 Free Sample Legally Binding Agreement Templates Is A Real Estate Offer Legally Binding Put simply, the real estate contract is a binding document, which comes into the equation once a property’s seller has decided to accept the offer made by a prospective buyer. In real estate, a binding contract is a legally enforceable agreement between parties. Make a counteroffer with one or more changes,. Yes, anyone can put in an offer on a. Is A Real Estate Offer Legally Binding.
From www.freepik.com
Premium Photo Closing the deal real estate agent guides home purchase agreement for legally Is A Real Estate Offer Legally Binding To be legally enforceable, a contract to buy real estate must be in writing, agreed to, and. Make a counteroffer with one or more changes,. Put simply, the real estate contract is a binding document, which comes into the equation once a property’s seller has decided to accept the offer made by a prospective buyer. Yes, anyone can put in. Is A Real Estate Offer Legally Binding.
From legaltemplates.net
Real Estate Purchase Agreement Form Legal Templates Is A Real Estate Offer Legally Binding Put simply, the real estate contract is a binding document, which comes into the equation once a property’s seller has decided to accept the offer made by a prospective buyer. In real estate, a binding contract is a legally enforceable agreement between parties. After you've made an offer to buy a house, the seller will either: To be legally enforceable,. Is A Real Estate Offer Legally Binding.
From www.freepik.com
Premium Photo Closing the deal real estate agent guides home purchase agreement for legally Is A Real Estate Offer Legally Binding In real estate, a binding contract is a legally enforceable agreement between parties. Put simply, the real estate contract is a binding document, which comes into the equation once a property’s seller has decided to accept the offer made by a prospective buyer. Once you are under contract, it. Make a counteroffer with one or more changes,. To be legally. Is A Real Estate Offer Legally Binding.
From www.allbusinesstemplates.com
Real Estate Offer Letter Templates at Is A Real Estate Offer Legally Binding Make a counteroffer with one or more changes,. Once you are under contract, it. It is crucial to keep in mind that verbal agreements to sell real estate aren’t legally binding. To be legally enforceable, a contract to buy real estate must be in writing, agreed to, and. Yes, anyone can put in an offer on a house, and they. Is A Real Estate Offer Legally Binding.
From www.sampleforms.com
FREE 42+ Contract Forms in PDF MS Word Excel Is A Real Estate Offer Legally Binding It stipulates the terms under which property is bought or sold. In real estate, a binding contract is a legally enforceable agreement between parties. The type of offer form used is. Yes, anyone can put in an offer on a house, and they should be aware that residential purchase and sale contracts are legally binding. After you've made an offer. Is A Real Estate Offer Legally Binding.
From www.realestateskills.com
Real Estate Offer Letter The (ULTIMATE) Guide 2022 Is A Real Estate Offer Legally Binding The type of offer form used is. In real estate, a binding contract is a legally enforceable agreement between parties. Once you are under contract, it. It stipulates the terms under which property is bought or sold. Yes, anyone can put in an offer on a house, and they should be aware that residential purchase and sale contracts are legally. Is A Real Estate Offer Legally Binding.
From projectopenletter.com
Is A Purchase Agreement Legally Binding Printable Form, Templates and Letter Is A Real Estate Offer Legally Binding After you've made an offer to buy a house, the seller will either: To be legally enforceable, a contract to buy real estate must be in writing, agreed to, and. Yes, anyone can put in an offer on a house, and they should be aware that residential purchase and sale contracts are legally binding. It stipulates the terms under which. Is A Real Estate Offer Legally Binding.
From www.template.net
Real Estate Legally Binding Agreement Form Template Edit Online & Download Example Is A Real Estate Offer Legally Binding Put simply, the real estate contract is a binding document, which comes into the equation once a property’s seller has decided to accept the offer made by a prospective buyer. Once you are under contract, it. It is crucial to keep in mind that verbal agreements to sell real estate aren’t legally binding. After you've made an offer to buy. Is A Real Estate Offer Legally Binding.
From www.freepik.com
Premium Photo Closing the deal real estate agent guides home purchase agreement for legally Is A Real Estate Offer Legally Binding The type of offer form used is. It is crucial to keep in mind that verbal agreements to sell real estate aren’t legally binding. To be legally enforceable, a contract to buy real estate must be in writing, agreed to, and. Put simply, the real estate contract is a binding document, which comes into the equation once a property’s seller. Is A Real Estate Offer Legally Binding.
From studylib.net
THIS IS A LEGALLY BINDING CONTRACT Is A Real Estate Offer Legally Binding It stipulates the terms under which property is bought or sold. Make a counteroffer with one or more changes,. It is crucial to keep in mind that verbal agreements to sell real estate aren’t legally binding. Put simply, the real estate contract is a binding document, which comes into the equation once a property’s seller has decided to accept the. Is A Real Estate Offer Legally Binding.
From www.paystubhero.com
Is an Offer Letter Legally Binding? What You Need to Know Pay Stub Hero Is A Real Estate Offer Legally Binding After you've made an offer to buy a house, the seller will either: Once you are under contract, it. To be legally enforceable, a contract to buy real estate must be in writing, agreed to, and. It is crucial to keep in mind that verbal agreements to sell real estate aren’t legally binding. Yes, anyone can put in an offer. Is A Real Estate Offer Legally Binding.
From www.freepik.com
Premium Photo Closing the deal real estate agent guides home purchase agreement for legally Is A Real Estate Offer Legally Binding After you've made an offer to buy a house, the seller will either: Once you are under contract, it. Yes, anyone can put in an offer on a house, and they should be aware that residential purchase and sale contracts are legally binding. To be legally enforceable, a contract to buy real estate must be in writing, agreed to, and.. Is A Real Estate Offer Legally Binding.
From www.freepik.com
Premium Photo Closing the Deal Real Estate Agent Guides Home Purchase Agreement for Legally Is A Real Estate Offer Legally Binding In real estate, a binding contract is a legally enforceable agreement between parties. After you've made an offer to buy a house, the seller will either: Once you are under contract, it. It is crucial to keep in mind that verbal agreements to sell real estate aren’t legally binding. Yes, anyone can put in an offer on a house, and. Is A Real Estate Offer Legally Binding.
From www.printablesample.com
12 Free Sample Legally Binding Agreement Templates Is A Real Estate Offer Legally Binding Make a counteroffer with one or more changes,. It is crucial to keep in mind that verbal agreements to sell real estate aren’t legally binding. Yes, anyone can put in an offer on a house, and they should be aware that residential purchase and sale contracts are legally binding. After you've made an offer to buy a house, the seller. Is A Real Estate Offer Legally Binding.
From secretsofthepaast.blogspot.com
Legally Binding Contract Template Is A Real Estate Offer Legally Binding Put simply, the real estate contract is a binding document, which comes into the equation once a property’s seller has decided to accept the offer made by a prospective buyer. After you've made an offer to buy a house, the seller will either: To be legally enforceable, a contract to buy real estate must be in writing, agreed to, and.. Is A Real Estate Offer Legally Binding.
From kelleylawoffice.com
Is A Handshake Legally Binding In A Real Estate Deal? Is A Real Estate Offer Legally Binding To be legally enforceable, a contract to buy real estate must be in writing, agreed to, and. It is crucial to keep in mind that verbal agreements to sell real estate aren’t legally binding. It stipulates the terms under which property is bought or sold. Put simply, the real estate contract is a binding document, which comes into the equation. Is A Real Estate Offer Legally Binding.
From massrealestatelawblog.com
Massachusetts Offer to Purchase Real Estate A Binding Contract Massachusetts Real Estate Law Blog Is A Real Estate Offer Legally Binding After you've made an offer to buy a house, the seller will either: It is crucial to keep in mind that verbal agreements to sell real estate aren’t legally binding. Put simply, the real estate contract is a binding document, which comes into the equation once a property’s seller has decided to accept the offer made by a prospective buyer.. Is A Real Estate Offer Legally Binding.
From www.printablesample.com
12 Free Sample Legally Binding Agreement Templates Is A Real Estate Offer Legally Binding In real estate, a binding contract is a legally enforceable agreement between parties. It is crucial to keep in mind that verbal agreements to sell real estate aren’t legally binding. The type of offer form used is. Once you are under contract, it. After you've made an offer to buy a house, the seller will either: Make a counteroffer with. Is A Real Estate Offer Legally Binding.
From www.freepik.com
Premium Photo Closing the deal real estate agent guides home purchase agreement for legally Is A Real Estate Offer Legally Binding It is crucial to keep in mind that verbal agreements to sell real estate aren’t legally binding. Once you are under contract, it. To be legally enforceable, a contract to buy real estate must be in writing, agreed to, and. Put simply, the real estate contract is a binding document, which comes into the equation once a property’s seller has. Is A Real Estate Offer Legally Binding.
From www.freepik.com
Premium Photo Closing the deal real estate agent guides home purchase agreement for legally Is A Real Estate Offer Legally Binding It stipulates the terms under which property is bought or sold. The type of offer form used is. Make a counteroffer with one or more changes,. In real estate, a binding contract is a legally enforceable agreement between parties. Once you are under contract, it. Yes, anyone can put in an offer on a house, and they should be aware. Is A Real Estate Offer Legally Binding.
From www.freepik.com
Premium Photo Closing the deal real estate agent guides home purchase agreement for legally Is A Real Estate Offer Legally Binding The type of offer form used is. Once you are under contract, it. Make a counteroffer with one or more changes,. It is crucial to keep in mind that verbal agreements to sell real estate aren’t legally binding. It stipulates the terms under which property is bought or sold. After you've made an offer to buy a house, the seller. Is A Real Estate Offer Legally Binding.
From www.template.net
Legally Binding Rental Agreement Template Google Docs, Word, Apple Pages Is A Real Estate Offer Legally Binding After you've made an offer to buy a house, the seller will either: It is crucial to keep in mind that verbal agreements to sell real estate aren’t legally binding. To be legally enforceable, a contract to buy real estate must be in writing, agreed to, and. Yes, anyone can put in an offer on a house, and they should. Is A Real Estate Offer Legally Binding.
From www.youtube.com
Components of a Legal Binding Contract YouTube Is A Real Estate Offer Legally Binding Put simply, the real estate contract is a binding document, which comes into the equation once a property’s seller has decided to accept the offer made by a prospective buyer. After you've made an offer to buy a house, the seller will either: Once you are under contract, it. Yes, anyone can put in an offer on a house, and. Is A Real Estate Offer Legally Binding.
From www.studocu.com
(Seller) Sales Agreement Main (1).docx AGREEMENT TO SELL REAL ESTATE This is a legally binding Is A Real Estate Offer Legally Binding In real estate, a binding contract is a legally enforceable agreement between parties. The type of offer form used is. Yes, anyone can put in an offer on a house, and they should be aware that residential purchase and sale contracts are legally binding. It is crucial to keep in mind that verbal agreements to sell real estate aren’t legally. Is A Real Estate Offer Legally Binding.
From www.freepik.com
Premium Photo Closing the deal real estate agent guides home purchase agreement for legally Is A Real Estate Offer Legally Binding Put simply, the real estate contract is a binding document, which comes into the equation once a property’s seller has decided to accept the offer made by a prospective buyer. It is crucial to keep in mind that verbal agreements to sell real estate aren’t legally binding. It stipulates the terms under which property is bought or sold. In real. Is A Real Estate Offer Legally Binding.
From www.templateral.com
√ Free Editable Legally Binding Contract Template Is A Real Estate Offer Legally Binding It is crucial to keep in mind that verbal agreements to sell real estate aren’t legally binding. Yes, anyone can put in an offer on a house, and they should be aware that residential purchase and sale contracts are legally binding. The type of offer form used is. Make a counteroffer with one or more changes,. Put simply, the real. Is A Real Estate Offer Legally Binding.
From www.freepik.com
Premium Photo Closing the deal real estate agent guides home purchase agreement for legally Is A Real Estate Offer Legally Binding Make a counteroffer with one or more changes,. Once you are under contract, it. To be legally enforceable, a contract to buy real estate must be in writing, agreed to, and. It stipulates the terms under which property is bought or sold. After you've made an offer to buy a house, the seller will either: The type of offer form. Is A Real Estate Offer Legally Binding.
From wcnllp.com
Is an Offer to Purchase Real Estate Binding? Wilchins Cosentino & Novins LLP, Wellesley MA Law Is A Real Estate Offer Legally Binding Yes, anyone can put in an offer on a house, and they should be aware that residential purchase and sale contracts are legally binding. It stipulates the terms under which property is bought or sold. In real estate, a binding contract is a legally enforceable agreement between parties. Put simply, the real estate contract is a binding document, which comes. Is A Real Estate Offer Legally Binding.
From www.hauseit.com
Are Real Estate Offers Binding in NYC? Hauseit® NYC Is A Real Estate Offer Legally Binding Make a counteroffer with one or more changes,. Yes, anyone can put in an offer on a house, and they should be aware that residential purchase and sale contracts are legally binding. Put simply, the real estate contract is a binding document, which comes into the equation once a property’s seller has decided to accept the offer made by a. Is A Real Estate Offer Legally Binding.
From www.freepik.com
Premium Photo Closing the Deal Real Estate Agent Guides Home Purchase Agreement for Legally Is A Real Estate Offer Legally Binding Once you are under contract, it. To be legally enforceable, a contract to buy real estate must be in writing, agreed to, and. Make a counteroffer with one or more changes,. Yes, anyone can put in an offer on a house, and they should be aware that residential purchase and sale contracts are legally binding. Put simply, the real estate. Is A Real Estate Offer Legally Binding.