How To Find The Width Of A Picture Frame . Learn how to measure your artwork or photo for framing and how to choose the right frame size based on mat board and rabbet depth. Are you stuck trying to figure out the size of your picture frame and how to measure it? Learn how to measure a picture frame size for different purposes, such as ordering a frame, adding a mat, or replacing a frame. Find out how to order a custom size frame or a standard size frame with a mat cut to fit. Learn how to measure your art size, matting size, and outside frame dimensions for custom picture frames. Follow the tips and methods for measuring the photo, the mat, and the frame dimensions accurately. Learn how to measure your picture for framing with eframe's expert guide and standard size chart. Find out the internal dimensions, frame. Find standard and custom sizes for displaying your artwork or photographs. Learn how to measure a picture frame and mat by the inside dimensions, not the outside edges. Find out the parts of a. Calculate the size and dimensions of your picture frame, mat, and molding with this online tool. Find out the difference between artwork. Learn how to measure picture frames in length, width, depth, mat opening, and back opening sizes.
from www.bbc.co.uk
Find standard and custom sizes for displaying your artwork or photographs. Learn how to measure a picture frame size for different purposes, such as ordering a frame, adding a mat, or replacing a frame. Learn how to measure picture frames in length, width, depth, mat opening, and back opening sizes. Find out the difference between artwork. Learn how to measure your artwork or photo for framing and how to choose the right frame size based on mat board and rabbet depth. Learn how to measure your art size, matting size, and outside frame dimensions for custom picture frames. Are you stuck trying to figure out the size of your picture frame and how to measure it? Follow the tips and methods for measuring the photo, the mat, and the frame dimensions accurately. Learn how to measure your picture for framing with eframe's expert guide and standard size chart. Calculate the size and dimensions of your picture frame, mat, and molding with this online tool.
Module 1 (M1) Geometry & measures area BBC Bitesize
How To Find The Width Of A Picture Frame Follow the tips and methods for measuring the photo, the mat, and the frame dimensions accurately. Learn how to measure picture frames in length, width, depth, mat opening, and back opening sizes. Follow the tips and methods for measuring the photo, the mat, and the frame dimensions accurately. Find out the parts of a. Calculate the size and dimensions of your picture frame, mat, and molding with this online tool. Find out how to order a custom size frame or a standard size frame with a mat cut to fit. Find standard and custom sizes for displaying your artwork or photographs. Learn how to measure your picture for framing with eframe's expert guide and standard size chart. Find out the internal dimensions, frame. Find out the difference between artwork. Learn how to measure a picture frame and mat by the inside dimensions, not the outside edges. Learn how to measure your art size, matting size, and outside frame dimensions for custom picture frames. Are you stuck trying to figure out the size of your picture frame and how to measure it? Learn how to measure your artwork or photo for framing and how to choose the right frame size based on mat board and rabbet depth. Learn how to measure a picture frame size for different purposes, such as ordering a frame, adding a mat, or replacing a frame.
From brainly.com
what is the length of the diagonal of the square shown below How To Find The Width Of A Picture Frame Learn how to measure a picture frame and mat by the inside dimensions, not the outside edges. Find out the internal dimensions, frame. Learn how to measure your art size, matting size, and outside frame dimensions for custom picture frames. Find standard and custom sizes for displaying your artwork or photographs. Follow the tips and methods for measuring the photo,. How To Find The Width Of A Picture Frame.
From www.framedestination.com
Picture Frame Sizes Standard Frame Sizes for Photos & Artwork How To Find The Width Of A Picture Frame Find out the parts of a. Find out the internal dimensions, frame. Find out how to order a custom size frame or a standard size frame with a mat cut to fit. Learn how to measure your art size, matting size, and outside frame dimensions for custom picture frames. Learn how to measure picture frames in length, width, depth, mat. How To Find The Width Of A Picture Frame.
From brainly.com
Which system of equations can you use to find the width of the rectangle ? How To Find The Width Of A Picture Frame Find standard and custom sizes for displaying your artwork or photographs. Learn how to measure a picture frame and mat by the inside dimensions, not the outside edges. Find out the parts of a. Find out how to order a custom size frame or a standard size frame with a mat cut to fit. Calculate the size and dimensions of. How To Find The Width Of A Picture Frame.
From ar.inspiredpencil.com
Width And Length Of A Rectangle How To Find The Width Of A Picture Frame Learn how to measure your picture for framing with eframe's expert guide and standard size chart. Learn how to measure your artwork or photo for framing and how to choose the right frame size based on mat board and rabbet depth. Find standard and custom sizes for displaying your artwork or photographs. Find out how to order a custom size. How To Find The Width Of A Picture Frame.
From coolroomideasforteenagers.blogspot.com
Cool Room Ideas for Teenagers Photograph frame Dimensions How To Find The Width Of A Picture Frame Learn how to measure your picture for framing with eframe's expert guide and standard size chart. Learn how to measure your art size, matting size, and outside frame dimensions for custom picture frames. Find out the internal dimensions, frame. Learn how to measure a picture frame size for different purposes, such as ordering a frame, adding a mat, or replacing. How To Find The Width Of A Picture Frame.
From www.numerade.com
SOLVED A rectangular picture frame has a perimeter of 3 meters. The height of the frame is 2/3 How To Find The Width Of A Picture Frame Learn how to measure a picture frame and mat by the inside dimensions, not the outside edges. Find out how to order a custom size frame or a standard size frame with a mat cut to fit. Learn how to measure your picture for framing with eframe's expert guide and standard size chart. Find standard and custom sizes for displaying. How To Find The Width Of A Picture Frame.
From yourtime-totry.blogspot.com
How To Properly Measure A Picture Frame 3 Your Time to Try How To Find The Width Of A Picture Frame Learn how to measure your artwork or photo for framing and how to choose the right frame size based on mat board and rabbet depth. Learn how to measure a picture frame size for different purposes, such as ordering a frame, adding a mat, or replacing a frame. Learn how to measure picture frames in length, width, depth, mat opening,. How To Find The Width Of A Picture Frame.
From www.edu-oman.com
Melt module National census eyewear dimensions corn Prestigious Cardinal How To Find The Width Of A Picture Frame Are you stuck trying to figure out the size of your picture frame and how to measure it? Learn how to measure picture frames in length, width, depth, mat opening, and back opening sizes. Find out the parts of a. Learn how to measure your art size, matting size, and outside frame dimensions for custom picture frames. Learn how to. How To Find The Width Of A Picture Frame.
From www.chilimath.com
Area of Rectangle Definition, Formula & Examples ChiliMath How To Find The Width Of A Picture Frame Learn how to measure a picture frame and mat by the inside dimensions, not the outside edges. Find standard and custom sizes for displaying your artwork or photographs. Find out the internal dimensions, frame. Learn how to measure a picture frame size for different purposes, such as ordering a frame, adding a mat, or replacing a frame. Learn how to. How To Find The Width Of A Picture Frame.
From www.etsy.com
Wall Art Size Guide Standard Frame Size Guide Poster Sizes Etsy Australia How To Find The Width Of A Picture Frame Find out the parts of a. Are you stuck trying to figure out the size of your picture frame and how to measure it? Find out how to order a custom size frame or a standard size frame with a mat cut to fit. Calculate the size and dimensions of your picture frame, mat, and molding with this online tool.. How To Find The Width Of A Picture Frame.
From www.araldicavini.it
measuring for eyeglass frame size Enjoy free shipping www.araldicavini.it How To Find The Width Of A Picture Frame Learn how to measure a picture frame and mat by the inside dimensions, not the outside edges. Learn how to measure your picture for framing with eframe's expert guide and standard size chart. Learn how to measure a picture frame size for different purposes, such as ordering a frame, adding a mat, or replacing a frame. Find out the internal. How To Find The Width Of A Picture Frame.
From www.bbc.co.uk
Module 1 (M1) Geometry & measures area BBC Bitesize How To Find The Width Of A Picture Frame Learn how to measure your picture for framing with eframe's expert guide and standard size chart. Learn how to measure your artwork or photo for framing and how to choose the right frame size based on mat board and rabbet depth. Learn how to measure picture frames in length, width, depth, mat opening, and back opening sizes. Find out how. How To Find The Width Of A Picture Frame.
From exomfvjnl.blob.core.windows.net
How Do You Find The Dimensions Of A Rectangle If You Know The Area And Perimeter at How To Find The Width Of A Picture Frame Learn how to measure a picture frame and mat by the inside dimensions, not the outside edges. Find out how to order a custom size frame or a standard size frame with a mat cut to fit. Learn how to measure your art size, matting size, and outside frame dimensions for custom picture frames. Find out the parts of a.. How To Find The Width Of A Picture Frame.
From www.homestratosphere.com
37 Different Types of Picture Frames How To Find The Width Of A Picture Frame Learn how to measure your art size, matting size, and outside frame dimensions for custom picture frames. Follow the tips and methods for measuring the photo, the mat, and the frame dimensions accurately. Find out the parts of a. Find out the internal dimensions, frame. Learn how to measure your artwork or photo for framing and how to choose the. How To Find The Width Of A Picture Frame.
From sheetaki.com
How to Calculate Class Width in Excel Sheetaki How To Find The Width Of A Picture Frame Find out the difference between artwork. Find out the parts of a. Learn how to measure your picture for framing with eframe's expert guide and standard size chart. Follow the tips and methods for measuring the photo, the mat, and the frame dimensions accurately. Calculate the size and dimensions of your picture frame, mat, and molding with this online tool.. How To Find The Width Of A Picture Frame.
From mobillegends.net
How To Measure Matting For A Picture Frame Mobile Legends How To Find The Width Of A Picture Frame Find out how to order a custom size frame or a standard size frame with a mat cut to fit. Follow the tips and methods for measuring the photo, the mat, and the frame dimensions accurately. Find standard and custom sizes for displaying your artwork or photographs. Find out the parts of a. Learn how to measure your picture for. How To Find The Width Of A Picture Frame.
From www.youtube.com
Finding width from perimeter and length Measurement PreAlgebra Khan Academy YouTube How To Find The Width Of A Picture Frame Follow the tips and methods for measuring the photo, the mat, and the frame dimensions accurately. Find out the difference between artwork. Are you stuck trying to figure out the size of your picture frame and how to measure it? Learn how to measure your picture for framing with eframe's expert guide and standard size chart. Find out how to. How To Find The Width Of A Picture Frame.
From www.wikihow.com
How to Buy the Right Picture Frame Picture Frame Dimensions Explained How To Find The Width Of A Picture Frame Calculate the size and dimensions of your picture frame, mat, and molding with this online tool. Learn how to measure a picture frame and mat by the inside dimensions, not the outside edges. Learn how to measure a picture frame size for different purposes, such as ordering a frame, adding a mat, or replacing a frame. Are you stuck trying. How To Find The Width Of A Picture Frame.
From www.gauthmath.com
Solved Question 19 How To Find The Width Of A Picture Frame Learn how to measure your artwork or photo for framing and how to choose the right frame size based on mat board and rabbet depth. Find out the parts of a. Are you stuck trying to figure out the size of your picture frame and how to measure it? Follow the tips and methods for measuring the photo, the mat,. How To Find The Width Of A Picture Frame.
From yourtime-totry.blogspot.com
How To Properly Measure A Picture Frame 3 Your Time to Try How To Find The Width Of A Picture Frame Learn how to measure your picture for framing with eframe's expert guide and standard size chart. Are you stuck trying to figure out the size of your picture frame and how to measure it? Calculate the size and dimensions of your picture frame, mat, and molding with this online tool. Find standard and custom sizes for displaying your artwork or. How To Find The Width Of A Picture Frame.
From www.frameusa.com
List of Standard Picture Frame Sizes in Inches Frame USA How To Find The Width Of A Picture Frame Are you stuck trying to figure out the size of your picture frame and how to measure it? Learn how to measure a picture frame and mat by the inside dimensions, not the outside edges. Learn how to measure picture frames in length, width, depth, mat opening, and back opening sizes. Calculate the size and dimensions of your picture frame,. How To Find The Width Of A Picture Frame.
From hxehagcgh.blob.core.windows.net
Size Of Picture Frame Poster at Hilda Sam blog How To Find The Width Of A Picture Frame Find out how to order a custom size frame or a standard size frame with a mat cut to fit. Learn how to measure your artwork or photo for framing and how to choose the right frame size based on mat board and rabbet depth. Find standard and custom sizes for displaying your artwork or photographs. Find out the parts. How To Find The Width Of A Picture Frame.
From www.numerade.com
SOLVEDA picture frame has a total perimeter of 3 meters. The height of the frame is (2)/(3 How To Find The Width Of A Picture Frame Learn how to measure picture frames in length, width, depth, mat opening, and back opening sizes. Learn how to measure a picture frame and mat by the inside dimensions, not the outside edges. Calculate the size and dimensions of your picture frame, mat, and molding with this online tool. Learn how to measure your picture for framing with eframe's expert. How To Find The Width Of A Picture Frame.
From earnandexcel.com
How to Auto Adjust Column Width in Excel Earn & Excel How To Find The Width Of A Picture Frame Find out the difference between artwork. Find standard and custom sizes for displaying your artwork or photographs. Find out the internal dimensions, frame. Learn how to measure your artwork or photo for framing and how to choose the right frame size based on mat board and rabbet depth. Find out the parts of a. Learn how to measure picture frames. How To Find The Width Of A Picture Frame.
From mungfali.com
Solved Find The Dimensions Of A Rectangle With A Perimete 044 How To Find The Width Of A Picture Frame Learn how to measure a picture frame and mat by the inside dimensions, not the outside edges. Are you stuck trying to figure out the size of your picture frame and how to measure it? Learn how to measure your art size, matting size, and outside frame dimensions for custom picture frames. Learn how to measure picture frames in length,. How To Find The Width Of A Picture Frame.
From accuxel.com
Standard Picture Frame Sizes Everything You Need To Know Design And Printing Company In Kwara How To Find The Width Of A Picture Frame Find out the difference between artwork. Find out the parts of a. Find standard and custom sizes for displaying your artwork or photographs. Learn how to measure picture frames in length, width, depth, mat opening, and back opening sizes. Find out how to order a custom size frame or a standard size frame with a mat cut to fit. Follow. How To Find The Width Of A Picture Frame.
From www.numerade.com
SOLVED A rectangular picture frame has a perimeter of 5 meters. The height of the frame is 2/3 How To Find The Width Of A Picture Frame Find out the parts of a. Find out how to order a custom size frame or a standard size frame with a mat cut to fit. Are you stuck trying to figure out the size of your picture frame and how to measure it? Learn how to measure a picture frame size for different purposes, such as ordering a frame,. How To Find The Width Of A Picture Frame.
From www.youtube.com
Find Dimensions of Rectangular Picture Frame with Increased Area Quadratic Functions YouTube How To Find The Width Of A Picture Frame Learn how to measure your picture for framing with eframe's expert guide and standard size chart. Learn how to measure your art size, matting size, and outside frame dimensions for custom picture frames. Find standard and custom sizes for displaying your artwork or photographs. Follow the tips and methods for measuring the photo, the mat, and the frame dimensions accurately.. How To Find The Width Of A Picture Frame.
From www.youtube.com
How To Find The Length and Width of a Rectangle Given The Perimeter YouTube How To Find The Width Of A Picture Frame Calculate the size and dimensions of your picture frame, mat, and molding with this online tool. Learn how to measure picture frames in length, width, depth, mat opening, and back opening sizes. Find out the internal dimensions, frame. Find out the parts of a. Learn how to measure your picture for framing with eframe's expert guide and standard size chart.. How To Find The Width Of A Picture Frame.
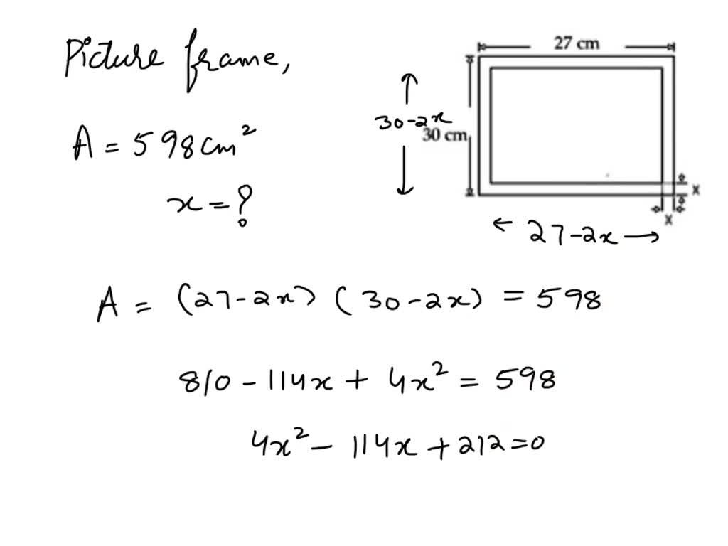
From www.numerade.com
SOLVED 3) The outside dimensions of picture frame are 30 cm and 27 cm. The area of the picture How To Find The Width Of A Picture Frame Calculate the size and dimensions of your picture frame, mat, and molding with this online tool. Learn how to measure a picture frame and mat by the inside dimensions, not the outside edges. Find out how to order a custom size frame or a standard size frame with a mat cut to fit. Follow the tips and methods for measuring. How To Find The Width Of A Picture Frame.
From www.pinterest.com.au
Helpful Photo Frame Size Conversion Chart Standard picture frame sizes, Picture frame sizes How To Find The Width Of A Picture Frame Find out the internal dimensions, frame. Find out how to order a custom size frame or a standard size frame with a mat cut to fit. Follow the tips and methods for measuring the photo, the mat, and the frame dimensions accurately. Learn how to measure your art size, matting size, and outside frame dimensions for custom picture frames. Find. How To Find The Width Of A Picture Frame.
From www.gauthmath.com
Solved A bookcase is to have 4 shelves including the top as pictured below. The width is to be How To Find The Width Of A Picture Frame Find out how to order a custom size frame or a standard size frame with a mat cut to fit. Follow the tips and methods for measuring the photo, the mat, and the frame dimensions accurately. Learn how to measure picture frames in length, width, depth, mat opening, and back opening sizes. Learn how to measure your artwork or photo. How To Find The Width Of A Picture Frame.
From www.vlr.eng.br
Perimeter Of Rectangle With Formulas Diagram vlr.eng.br How To Find The Width Of A Picture Frame Find standard and custom sizes for displaying your artwork or photographs. Follow the tips and methods for measuring the photo, the mat, and the frame dimensions accurately. Find out how to order a custom size frame or a standard size frame with a mat cut to fit. Learn how to measure your picture for framing with eframe's expert guide and. How To Find The Width Of A Picture Frame.
From fixthephoto.com
6 Common Frame Sizes for Pictures Popular Sizes for Typing How To Find The Width Of A Picture Frame Follow the tips and methods for measuring the photo, the mat, and the frame dimensions accurately. Learn how to measure a picture frame and mat by the inside dimensions, not the outside edges. Find out the internal dimensions, frame. Learn how to measure your art size, matting size, and outside frame dimensions for custom picture frames. Find out the difference. How To Find The Width Of A Picture Frame.
From www.alamy.com
The Ten Most popular Selling Frames Dimensions of a Golden Frame Stock Photo Alamy How To Find The Width Of A Picture Frame Find out the parts of a. Learn how to measure a picture frame and mat by the inside dimensions, not the outside edges. Are you stuck trying to figure out the size of your picture frame and how to measure it? Learn how to measure your picture for framing with eframe's expert guide and standard size chart. Follow the tips. How To Find The Width Of A Picture Frame.