How Much Would A 60 Pound Person Weigh On The Moon . if you weigh 100 pounds on earth, your weight on the moon would be approximately 16.67 pounds. how much mass will a 60 kg person have on the moon? Enter the weight on moon calculator, a simple yet. ever wondered how much you would weigh on the lunar surface? Here's your chance to find out. your weight is a measure of the amount of gravity exerted on your body by the planet earth. A 60 kg person on the moon still has a mass of 60 kg. ever wonder what you might weigh on mars or the moon? the weight on the moon calculator computes the weight of something on the moon. our calculator is a simple and straightforward tool that allows you to input your weight on earth (in pounds) and.
from www.pinterest.ca
how much mass will a 60 kg person have on the moon? if you weigh 100 pounds on earth, your weight on the moon would be approximately 16.67 pounds. Enter the weight on moon calculator, a simple yet. ever wondered how much you would weigh on the lunar surface? Here's your chance to find out. your weight is a measure of the amount of gravity exerted on your body by the planet earth. the weight on the moon calculator computes the weight of something on the moon. A 60 kg person on the moon still has a mass of 60 kg. our calculator is a simple and straightforward tool that allows you to input your weight on earth (in pounds) and. ever wonder what you might weigh on mars or the moon?
THIS IS HOW MUCH YOU SHOULD WEIGH ACCORDING TO YOUR AGE, BODY SHAPE AND HEIGHT in 2021 Weight
How Much Would A 60 Pound Person Weigh On The Moon how much mass will a 60 kg person have on the moon? the weight on the moon calculator computes the weight of something on the moon. how much mass will a 60 kg person have on the moon? your weight is a measure of the amount of gravity exerted on your body by the planet earth. if you weigh 100 pounds on earth, your weight on the moon would be approximately 16.67 pounds. Here's your chance to find out. Enter the weight on moon calculator, a simple yet. A 60 kg person on the moon still has a mass of 60 kg. our calculator is a simple and straightforward tool that allows you to input your weight on earth (in pounds) and. ever wondered how much you would weigh on the lunar surface? ever wonder what you might weigh on mars or the moon?
From www.numerade.com
SOLVEDA 200pound man would weigh about 33.2 pounds on the moon. How much will a 150 pound man How Much Would A 60 Pound Person Weigh On The Moon Here's your chance to find out. Enter the weight on moon calculator, a simple yet. your weight is a measure of the amount of gravity exerted on your body by the planet earth. A 60 kg person on the moon still has a mass of 60 kg. ever wonder what you might weigh on mars or the moon?. How Much Would A 60 Pound Person Weigh On The Moon.
From www.scienceabc.com
What's The Difference Between Mass And Weight? How Much Would A 60 Pound Person Weigh On The Moon Enter the weight on moon calculator, a simple yet. our calculator is a simple and straightforward tool that allows you to input your weight on earth (in pounds) and. the weight on the moon calculator computes the weight of something on the moon. ever wondered how much you would weigh on the lunar surface? A 60 kg. How Much Would A 60 Pound Person Weigh On The Moon.
From www.numerade.com
SOLVED The weight of astronauts on Earth varies directly with their weight on the moon. A man How Much Would A 60 Pound Person Weigh On The Moon your weight is a measure of the amount of gravity exerted on your body by the planet earth. A 60 kg person on the moon still has a mass of 60 kg. how much mass will a 60 kg person have on the moon? Here's your chance to find out. the weight on the moon calculator computes. How Much Would A 60 Pound Person Weigh On The Moon.
From www.slideserve.com
PPT Forces PowerPoint Presentation, free download ID659416 How Much Would A 60 Pound Person Weigh On The Moon Enter the weight on moon calculator, a simple yet. how much mass will a 60 kg person have on the moon? our calculator is a simple and straightforward tool that allows you to input your weight on earth (in pounds) and. ever wondered how much you would weigh on the lunar surface? A 60 kg person on. How Much Would A 60 Pound Person Weigh On The Moon.
From linksofstrathaven.com
How Much Does A 60 Kg Person Weigh On Earth? New Update How Much Would A 60 Pound Person Weigh On The Moon our calculator is a simple and straightforward tool that allows you to input your weight on earth (in pounds) and. ever wonder what you might weigh on mars or the moon? the weight on the moon calculator computes the weight of something on the moon. Enter the weight on moon calculator, a simple yet. how much. How Much Would A 60 Pound Person Weigh On The Moon.
From www.toppr.com
A person weighs 600 N on Earth and 100 N on the moon, what is the acceleration due to gravity on How Much Would A 60 Pound Person Weigh On The Moon A 60 kg person on the moon still has a mass of 60 kg. your weight is a measure of the amount of gravity exerted on your body by the planet earth. Enter the weight on moon calculator, a simple yet. how much mass will a 60 kg person have on the moon? if you weigh 100. How Much Would A 60 Pound Person Weigh On The Moon.
From www.youtube.com
Calculating a Person's Weight on the Moon W = mg YouTube How Much Would A 60 Pound Person Weigh On The Moon your weight is a measure of the amount of gravity exerted on your body by the planet earth. ever wondered how much you would weigh on the lunar surface? A 60 kg person on the moon still has a mass of 60 kg. ever wonder what you might weigh on mars or the moon? our calculator. How Much Would A 60 Pound Person Weigh On The Moon.
From lactold.blob.core.windows.net
How Do You Calculate Weight Ratio How Much Would A 60 Pound Person Weigh On The Moon if you weigh 100 pounds on earth, your weight on the moon would be approximately 16.67 pounds. your weight is a measure of the amount of gravity exerted on your body by the planet earth. our calculator is a simple and straightforward tool that allows you to input your weight on earth (in pounds) and. Here's your. How Much Would A 60 Pound Person Weigh On The Moon.
From spaceplace.nasa.gov
What Is Gravity? NASA Space Place NASA Science for Kids How Much Would A 60 Pound Person Weigh On The Moon Enter the weight on moon calculator, a simple yet. our calculator is a simple and straightforward tool that allows you to input your weight on earth (in pounds) and. ever wondered how much you would weigh on the lunar surface? how much mass will a 60 kg person have on the moon? Here's your chance to find. How Much Would A 60 Pound Person Weigh On The Moon.
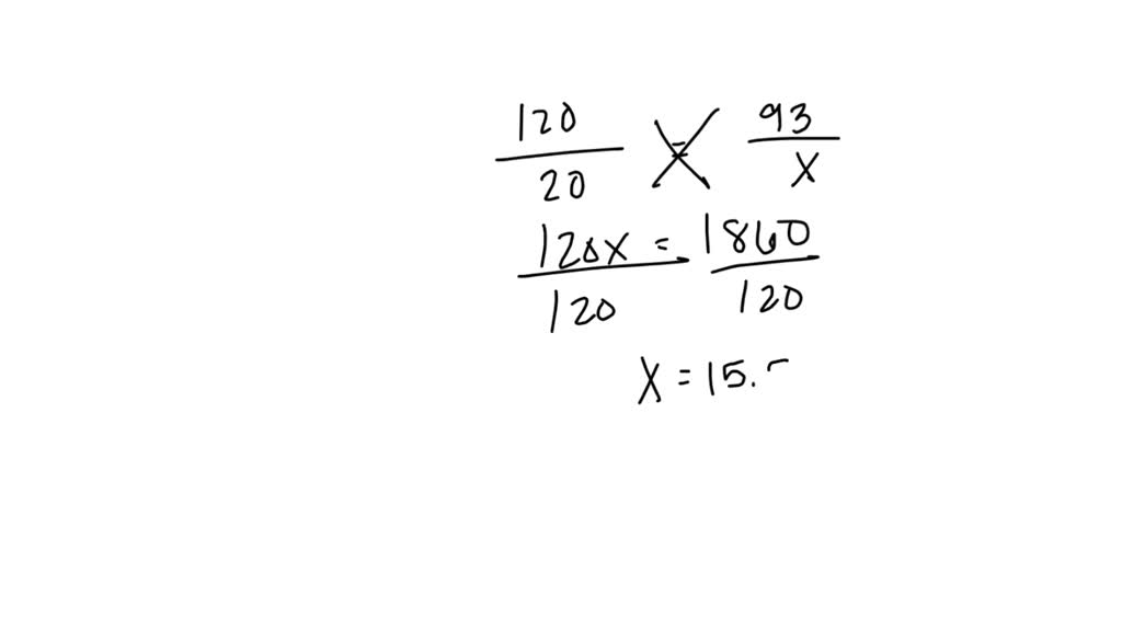
From www.numerade.com
SOLVED A person who weighs 120 pounds on Earth weighs 20 pounds on the Moon. How much does a 93 How Much Would A 60 Pound Person Weigh On The Moon your weight is a measure of the amount of gravity exerted on your body by the planet earth. Enter the weight on moon calculator, a simple yet. A 60 kg person on the moon still has a mass of 60 kg. Here's your chance to find out. the weight on the moon calculator computes the weight of something. How Much Would A 60 Pound Person Weigh On The Moon.
From www.youtube.com
What is the acceleration due to gravity on moon?? YouTube How Much Would A 60 Pound Person Weigh On The Moon if you weigh 100 pounds on earth, your weight on the moon would be approximately 16.67 pounds. ever wonder what you might weigh on mars or the moon? Enter the weight on moon calculator, a simple yet. your weight is a measure of the amount of gravity exerted on your body by the planet earth. the. How Much Would A 60 Pound Person Weigh On The Moon.
From www.pinterest.com
Weight on Mars How Much Would a 200 Pound Person Weigh? How Much Would A 60 Pound Person Weigh On The Moon our calculator is a simple and straightforward tool that allows you to input your weight on earth (in pounds) and. A 60 kg person on the moon still has a mass of 60 kg. ever wonder what you might weigh on mars or the moon? the weight on the moon calculator computes the weight of something on. How Much Would A 60 Pound Person Weigh On The Moon.
From emely-yersblogwarner.blogspot.com
How Much Would a 100 Pound Person Weigh on Pluto How Much Would A 60 Pound Person Weigh On The Moon Here's your chance to find out. how much mass will a 60 kg person have on the moon? ever wonder what you might weigh on mars or the moon? ever wondered how much you would weigh on the lunar surface? A 60 kg person on the moon still has a mass of 60 kg. your weight. How Much Would A 60 Pound Person Weigh On The Moon.
From www.coursehero.com
[Solved] Because of the lower gravity of the moon, a person weighs about 25... Course Hero How Much Would A 60 Pound Person Weigh On The Moon ever wondered how much you would weigh on the lunar surface? how much mass will a 60 kg person have on the moon? if you weigh 100 pounds on earth, your weight on the moon would be approximately 16.67 pounds. our calculator is a simple and straightforward tool that allows you to input your weight on. How Much Would A 60 Pound Person Weigh On The Moon.
From www.youtube.com
Weight of an Object on the Moon Gravitation YouTube How Much Would A 60 Pound Person Weigh On The Moon how much mass will a 60 kg person have on the moon? ever wondered how much you would weigh on the lunar surface? ever wonder what you might weigh on mars or the moon? A 60 kg person on the moon still has a mass of 60 kg. our calculator is a simple and straightforward tool. How Much Would A 60 Pound Person Weigh On The Moon.
From www.numerade.com
SOLVED A person who weighs 200 pounds on Earth would weigh about 32 pounds on the moon. Find How Much Would A 60 Pound Person Weigh On The Moon Here's your chance to find out. the weight on the moon calculator computes the weight of something on the moon. ever wondered how much you would weigh on the lunar surface? Enter the weight on moon calculator, a simple yet. our calculator is a simple and straightforward tool that allows you to input your weight on earth. How Much Would A 60 Pound Person Weigh On The Moon.
From www.toppr.com
The ratio of the weight of an object on the earth to the moon is 61. If a man weighs 29 pounds How Much Would A 60 Pound Person Weigh On The Moon ever wonder what you might weigh on mars or the moon? A 60 kg person on the moon still has a mass of 60 kg. Here's your chance to find out. how much mass will a 60 kg person have on the moon? ever wondered how much you would weigh on the lunar surface? your weight. How Much Would A 60 Pound Person Weigh On The Moon.
From linksofstrathaven.com
How Much Does A 60 Kg Person Weigh On Earth? New Update How Much Would A 60 Pound Person Weigh On The Moon if you weigh 100 pounds on earth, your weight on the moon would be approximately 16.67 pounds. ever wonder what you might weigh on mars or the moon? A 60 kg person on the moon still has a mass of 60 kg. Here's your chance to find out. your weight is a measure of the amount of. How Much Would A 60 Pound Person Weigh On The Moon.
From brainly.in
A man has a mass of 60 kg on earth. What will be the mass of man on moon(gm=ge/6) Brainly.in How Much Would A 60 Pound Person Weigh On The Moon A 60 kg person on the moon still has a mass of 60 kg. the weight on the moon calculator computes the weight of something on the moon. if you weigh 100 pounds on earth, your weight on the moon would be approximately 16.67 pounds. our calculator is a simple and straightforward tool that allows you to. How Much Would A 60 Pound Person Weigh On The Moon.
From presley-has-campos.blogspot.com
How Much Would a 100 Lb Person Weigh on Neptune PresleyhasCampos How Much Would A 60 Pound Person Weigh On The Moon our calculator is a simple and straightforward tool that allows you to input your weight on earth (in pounds) and. Enter the weight on moon calculator, a simple yet. your weight is a measure of the amount of gravity exerted on your body by the planet earth. if you weigh 100 pounds on earth, your weight on. How Much Would A 60 Pound Person Weigh On The Moon.
From brainly.com
If a person weighs 186 pounds on earth,how much will he weigh on the moon? how many pounds How Much Would A 60 Pound Person Weigh On The Moon if you weigh 100 pounds on earth, your weight on the moon would be approximately 16.67 pounds. Here's your chance to find out. ever wondered how much you would weigh on the lunar surface? our calculator is a simple and straightforward tool that allows you to input your weight on earth (in pounds) and. Enter the weight. How Much Would A 60 Pound Person Weigh On The Moon.
From www.scoopnest.com
Moon It would be a huge feat if we manage to launch given how narrow the... How Much Would A 60 Pound Person Weigh On The Moon how much mass will a 60 kg person have on the moon? if you weigh 100 pounds on earth, your weight on the moon would be approximately 16.67 pounds. A 60 kg person on the moon still has a mass of 60 kg. our calculator is a simple and straightforward tool that allows you to input your. How Much Would A 60 Pound Person Weigh On The Moon.
From emely-yersblogwarner.blogspot.com
How Much Would a 100 Pound Person Weigh on Pluto How Much Would A 60 Pound Person Weigh On The Moon A 60 kg person on the moon still has a mass of 60 kg. our calculator is a simple and straightforward tool that allows you to input your weight on earth (in pounds) and. Enter the weight on moon calculator, a simple yet. your weight is a measure of the amount of gravity exerted on your body by. How Much Would A 60 Pound Person Weigh On The Moon.
From brainly.com
a person who weighs 120 pounds on earth weighs 20 pounds on the moon. How much does a 93Ib How Much Would A 60 Pound Person Weigh On The Moon the weight on the moon calculator computes the weight of something on the moon. our calculator is a simple and straightforward tool that allows you to input your weight on earth (in pounds) and. your weight is a measure of the amount of gravity exerted on your body by the planet earth. if you weigh 100. How Much Would A 60 Pound Person Weigh On The Moon.
From www.toppr.com
Physics tells us that weights of an object on the moon is proportional to its weight on Earth How Much Would A 60 Pound Person Weigh On The Moon Enter the weight on moon calculator, a simple yet. ever wonder what you might weigh on mars or the moon? if you weigh 100 pounds on earth, your weight on the moon would be approximately 16.67 pounds. our calculator is a simple and straightforward tool that allows you to input your weight on earth (in pounds) and.. How Much Would A 60 Pound Person Weigh On The Moon.
From www.youtube.com
How much would a 100 pound person weigh on Jupiter? YouTube How Much Would A 60 Pound Person Weigh On The Moon your weight is a measure of the amount of gravity exerted on your body by the planet earth. if you weigh 100 pounds on earth, your weight on the moon would be approximately 16.67 pounds. how much mass will a 60 kg person have on the moon? A 60 kg person on the moon still has a. How Much Would A 60 Pound Person Weigh On The Moon.
From www.gauthmath.com
Solved A 200 pound person weighs 33 pounds on the Moon. a) How much did the person's weight How Much Would A 60 Pound Person Weigh On The Moon Enter the weight on moon calculator, a simple yet. A 60 kg person on the moon still has a mass of 60 kg. ever wonder what you might weigh on mars or the moon? if you weigh 100 pounds on earth, your weight on the moon would be approximately 16.67 pounds. how much mass will a 60. How Much Would A 60 Pound Person Weigh On The Moon.
From www.youtube.com
How much would a 150 pound person weigh on Mars? Solar System Quiz YouTube How Much Would A 60 Pound Person Weigh On The Moon ever wonder what you might weigh on mars or the moon? Here's your chance to find out. ever wondered how much you would weigh on the lunar surface? the weight on the moon calculator computes the weight of something on the moon. A 60 kg person on the moon still has a mass of 60 kg. . How Much Would A 60 Pound Person Weigh On The Moon.
From www.youtube.com
How much would a 70kg man weigh on the moon?what would be his mass on earth and on the moon How Much Would A 60 Pound Person Weigh On The Moon A 60 kg person on the moon still has a mass of 60 kg. ever wondered how much you would weigh on the lunar surface? Enter the weight on moon calculator, a simple yet. the weight on the moon calculator computes the weight of something on the moon. how much mass will a 60 kg person have. How Much Would A 60 Pound Person Weigh On The Moon.
From www.pinterest.ca
THIS IS HOW MUCH YOU SHOULD WEIGH ACCORDING TO YOUR AGE, BODY SHAPE AND HEIGHT in 2021 Weight How Much Would A 60 Pound Person Weigh On The Moon your weight is a measure of the amount of gravity exerted on your body by the planet earth. Enter the weight on moon calculator, a simple yet. A 60 kg person on the moon still has a mass of 60 kg. ever wondered how much you would weigh on the lunar surface? how much mass will a. How Much Would A 60 Pound Person Weigh On The Moon.
From www.wonderopolis.org
How Much Do You Weigh On the Moon? Wonderopolis How Much Would A 60 Pound Person Weigh On The Moon how much mass will a 60 kg person have on the moon? ever wonder what you might weigh on mars or the moon? ever wondered how much you would weigh on the lunar surface? your weight is a measure of the amount of gravity exerted on your body by the planet earth. our calculator is. How Much Would A 60 Pound Person Weigh On The Moon.
From whatthingsweigh.com
Weight Of Moon What Things Weigh How Much Would A 60 Pound Person Weigh On The Moon ever wonder what you might weigh on mars or the moon? Enter the weight on moon calculator, a simple yet. ever wondered how much you would weigh on the lunar surface? A 60 kg person on the moon still has a mass of 60 kg. Here's your chance to find out. our calculator is a simple and. How Much Would A 60 Pound Person Weigh On The Moon.
From indie88.com
Meet Jon Brower Minnoch The Heaviest Person Ever Measured Indie88 How Much Would A 60 Pound Person Weigh On The Moon ever wonder what you might weigh on mars or the moon? if you weigh 100 pounds on earth, your weight on the moon would be approximately 16.67 pounds. your weight is a measure of the amount of gravity exerted on your body by the planet earth. the weight on the moon calculator computes the weight of. How Much Would A 60 Pound Person Weigh On The Moon.
From sciencenotes.org
How to Calculate Weight on Other How Much Would A 60 Pound Person Weigh On The Moon Here's your chance to find out. the weight on the moon calculator computes the weight of something on the moon. ever wondered how much you would weigh on the lunar surface? if you weigh 100 pounds on earth, your weight on the moon would be approximately 16.67 pounds. A 60 kg person on the moon still has. How Much Would A 60 Pound Person Weigh On The Moon.
From www.coursehero.com
[Solved] A person has a mass of 45 kg. How much does she weigh on the Moon,... Course Hero How Much Would A 60 Pound Person Weigh On The Moon how much mass will a 60 kg person have on the moon? A 60 kg person on the moon still has a mass of 60 kg. the weight on the moon calculator computes the weight of something on the moon. Here's your chance to find out. ever wonder what you might weigh on mars or the moon?. How Much Would A 60 Pound Person Weigh On The Moon.