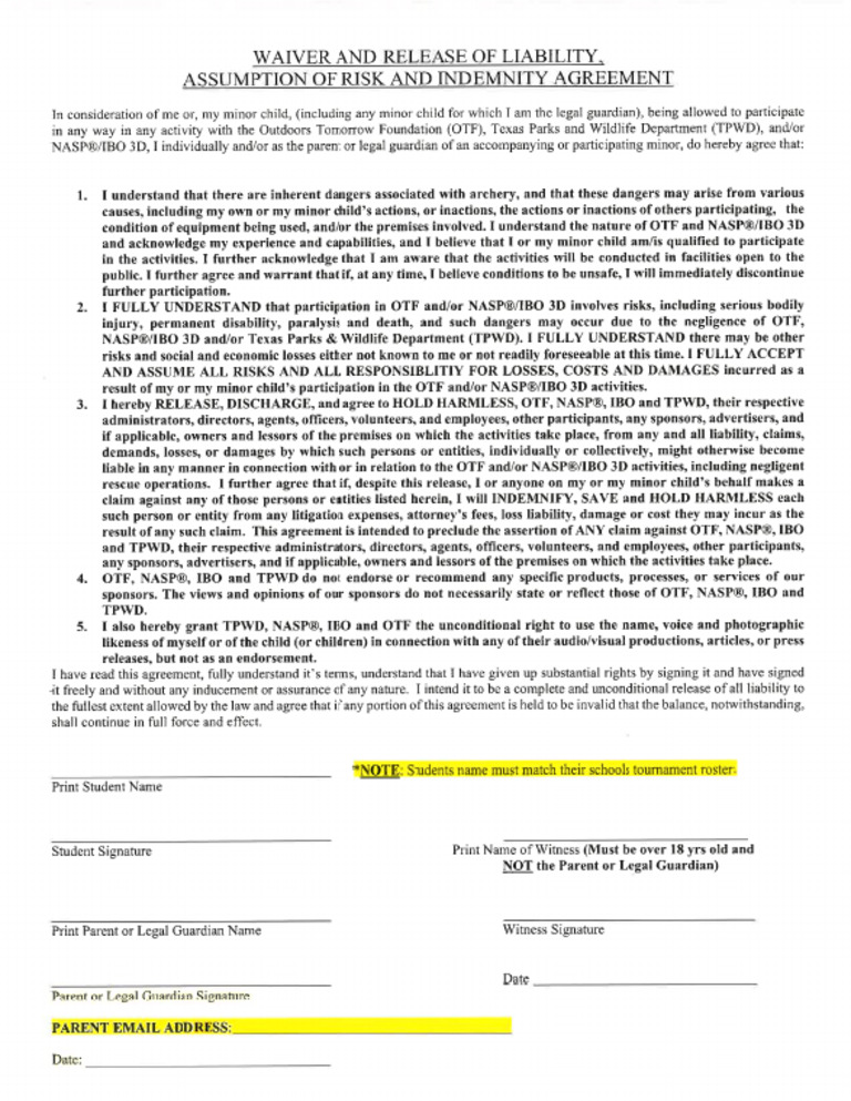
Archery Tag Waiver . Release of liability for infectious diseases. This hold harmless agreement (agreement) is made between global archery (company) and the customer (user) regarding the use of. If you are under the age of 16 the waiver will need to be completed by a parent or legal guardian. Release and waiver of liability, assumption of risk, and indemnity agreement. The risk of injury from the activity and equipment involved in archery or archery tag is potentially significant, including the potential for. Archery tag release and waiver of liability, assumption of risk, and indemnity. In consideration of participating in. In consideration of participating in. Waivers are required to be signed before any archery or archery tag® activity. Global events & more center. I confirm that i am not presenting (and my child (ren) are not presenting) any of the following symptoms listed here: Save time on the day by reading and signing the archery tag waiver before your event. Release and waiver of liability, assumption of risk, and indemnity agreement.
from atelier-yuwa.ciao.jp
Archery tag release and waiver of liability, assumption of risk, and indemnity. Release of liability for infectious diseases. In consideration of participating in. Save time on the day by reading and signing the archery tag waiver before your event. In consideration of participating in. Release and waiver of liability, assumption of risk, and indemnity agreement. Release and waiver of liability, assumption of risk, and indemnity agreement. Global events & more center. I confirm that i am not presenting (and my child (ren) are not presenting) any of the following symptoms listed here: Waivers are required to be signed before any archery or archery tag® activity.
How To Play Archery Tag 2020 Archery atelieryuwa.ciao.jp
Archery Tag Waiver Waivers are required to be signed before any archery or archery tag® activity. Save time on the day by reading and signing the archery tag waiver before your event. Release and waiver of liability, assumption of risk, and indemnity agreement. Global events & more center. The risk of injury from the activity and equipment involved in archery or archery tag is potentially significant, including the potential for. Archery tag release and waiver of liability, assumption of risk, and indemnity. If you are under the age of 16 the waiver will need to be completed by a parent or legal guardian. Waivers are required to be signed before any archery or archery tag® activity. Release and waiver of liability, assumption of risk, and indemnity agreement. In consideration of participating in. This hold harmless agreement (agreement) is made between global archery (company) and the customer (user) regarding the use of. In consideration of participating in. Release of liability for infectious diseases. I confirm that i am not presenting (and my child (ren) are not presenting) any of the following symptoms listed here:
From www.archerytagshop.co.uk
Archery Tag Set 36 Player Set Archery Tag Equipment Archery Tag Waiver I confirm that i am not presenting (and my child (ren) are not presenting) any of the following symptoms listed here: If you are under the age of 16 the waiver will need to be completed by a parent or legal guardian. This hold harmless agreement (agreement) is made between global archery (company) and the customer (user) regarding the use. Archery Tag Waiver.
From www.pdffiller.com
Fillable Online Archery Arena Release and Waiver of Liability Fax Archery Tag Waiver If you are under the age of 16 the waiver will need to be completed by a parent or legal guardian. Waivers are required to be signed before any archery or archery tag® activity. This hold harmless agreement (agreement) is made between global archery (company) and the customer (user) regarding the use of. Release of liability for infectious diseases. Release. Archery Tag Waiver.
From www.infinitegamingtx.com
Archery Tag Archery Tag Waiver Release and waiver of liability, assumption of risk, and indemnity agreement. Waivers are required to be signed before any archery or archery tag® activity. Archery tag release and waiver of liability, assumption of risk, and indemnity. This hold harmless agreement (agreement) is made between global archery (company) and the customer (user) regarding the use of. Release and waiver of liability,. Archery Tag Waiver.
From indoorwilderness.com
What is Archery Tag? How Much and How to Play? Indoor Wilderness Archery Tag Waiver Release and waiver of liability, assumption of risk, and indemnity agreement. The risk of injury from the activity and equipment involved in archery or archery tag is potentially significant, including the potential for. Save time on the day by reading and signing the archery tag waiver before your event. In consideration of participating in. Release of liability for infectious diseases.. Archery Tag Waiver.
From atelier-yuwa.ciao.jp
How To Play Archery Tag 2020 Archery atelieryuwa.ciao.jp Archery Tag Waiver In consideration of participating in. I confirm that i am not presenting (and my child (ren) are not presenting) any of the following symptoms listed here: Save time on the day by reading and signing the archery tag waiver before your event. Release of liability for infectious diseases. In consideration of participating in. This hold harmless agreement (agreement) is made. Archery Tag Waiver.
From www.pinterest.com
Archery Tag Equipment,buy archery tag,archery tag set Archery tag Archery Tag Waiver Release of liability for infectious diseases. Archery tag release and waiver of liability, assumption of risk, and indemnity. The risk of injury from the activity and equipment involved in archery or archery tag is potentially significant, including the potential for. Global events & more center. Release and waiver of liability, assumption of risk, and indemnity agreement. If you are under. Archery Tag Waiver.
From primalarchery.com.au
Waiver Primal Archery Archery Tag Waiver The risk of injury from the activity and equipment involved in archery or archery tag is potentially significant, including the potential for. If you are under the age of 16 the waiver will need to be completed by a parent or legal guardian. Global events & more center. In consideration of participating in. Release of liability for infectious diseases. Archery. Archery Tag Waiver.
From revolutionlaser.com.au
Mobile Archery Tag We come to you! Revolution Laser Archery Tag Waiver Release and waiver of liability, assumption of risk, and indemnity agreement. Global events & more center. This hold harmless agreement (agreement) is made between global archery (company) and the customer (user) regarding the use of. In consideration of participating in. Release and waiver of liability, assumption of risk, and indemnity agreement. The risk of injury from the activity and equipment. Archery Tag Waiver.
From www.dochub.com
Archery waiver form Fill out & sign online DocHub Archery Tag Waiver This hold harmless agreement (agreement) is made between global archery (company) and the customer (user) regarding the use of. In consideration of participating in. Waivers are required to be signed before any archery or archery tag® activity. Release and waiver of liability, assumption of risk, and indemnity agreement. Release and waiver of liability, assumption of risk, and indemnity agreement. Save. Archery Tag Waiver.
From www.newswire.com
Archery Tag® Celebrates Fifth Anniversary Newswire Archery Tag Waiver Waivers are required to be signed before any archery or archery tag® activity. The risk of injury from the activity and equipment involved in archery or archery tag is potentially significant, including the potential for. Release and waiver of liability, assumption of risk, and indemnity agreement. In consideration of participating in. This hold harmless agreement (agreement) is made between global. Archery Tag Waiver.
From www.spacehive.com
SWS Tag Archery Archery Tag Waiver Archery tag release and waiver of liability, assumption of risk, and indemnity. I confirm that i am not presenting (and my child (ren) are not presenting) any of the following symptoms listed here: The risk of injury from the activity and equipment involved in archery or archery tag is potentially significant, including the potential for. Waivers are required to be. Archery Tag Waiver.
From www.scribd.com
Archery Waiver PDF Archery Tag Waiver Waivers are required to be signed before any archery or archery tag® activity. Release and waiver of liability, assumption of risk, and indemnity agreement. Global events & more center. Release and waiver of liability, assumption of risk, and indemnity agreement. I confirm that i am not presenting (and my child (ren) are not presenting) any of the following symptoms listed. Archery Tag Waiver.
From revolutionlaser.com.au
Revolution Archery Tag Wollongong Home Revolution Laser Archery Tag Waiver In consideration of participating in. Save time on the day by reading and signing the archery tag waiver before your event. Archery tag release and waiver of liability, assumption of risk, and indemnity. If you are under the age of 16 the waiver will need to be completed by a parent or legal guardian. Release and waiver of liability, assumption. Archery Tag Waiver.
From www.pdffiller.com
Fillable Online Joshua 1 9, Archery Tag Talent Release Form and Waiver Archery Tag Waiver This hold harmless agreement (agreement) is made between global archery (company) and the customer (user) regarding the use of. Save time on the day by reading and signing the archery tag waiver before your event. The risk of injury from the activity and equipment involved in archery or archery tag is potentially significant, including the potential for. Release and waiver. Archery Tag Waiver.
From campcanaan.org
Archery Tag Camp Canaan Adventures in Rock Hill, SC Archery Tag Waiver In consideration of participating in. If you are under the age of 16 the waiver will need to be completed by a parent or legal guardian. Save time on the day by reading and signing the archery tag waiver before your event. Waivers are required to be signed before any archery or archery tag® activity. In consideration of participating in.. Archery Tag Waiver.
From event-world.nl
Archery Tag Next level trefbal Schiet jij net zo zuiver als Robin Hood? Archery Tag Waiver The risk of injury from the activity and equipment involved in archery or archery tag is potentially significant, including the potential for. Global events & more center. Save time on the day by reading and signing the archery tag waiver before your event. Archery tag release and waiver of liability, assumption of risk, and indemnity. Release of liability for infectious. Archery Tag Waiver.
From www.pinterest.com
Pin on Archery Clubs Archery Tag Waiver If you are under the age of 16 the waiver will need to be completed by a parent or legal guardian. Archery tag release and waiver of liability, assumption of risk, and indemnity. In consideration of participating in. This hold harmless agreement (agreement) is made between global archery (company) and the customer (user) regarding the use of. In consideration of. Archery Tag Waiver.
From www.wildtrails.be
Archery Tag Wildtrails Archery Tag Waiver Save time on the day by reading and signing the archery tag waiver before your event. Release of liability for infectious diseases. Release and waiver of liability, assumption of risk, and indemnity agreement. If you are under the age of 16 the waiver will need to be completed by a parent or legal guardian. I confirm that i am not. Archery Tag Waiver.
From waiver.smartwaiver.com
ARCHERY TAG WAIVER AND RELEASE OF LIABILITY Archery Tag Waiver In consideration of participating in. Waivers are required to be signed before any archery or archery tag® activity. Save time on the day by reading and signing the archery tag waiver before your event. Release of liability for infectious diseases. Archery tag release and waiver of liability, assumption of risk, and indemnity. I confirm that i am not presenting (and. Archery Tag Waiver.
From medium.com
5 Reasons Why Your Team Should Try Archery Tag by Team Elevate Medium Archery Tag Waiver This hold harmless agreement (agreement) is made between global archery (company) and the customer (user) regarding the use of. Waivers are required to be signed before any archery or archery tag® activity. Release and waiver of liability, assumption of risk, and indemnity agreement. If you are under the age of 16 the waiver will need to be completed by a. Archery Tag Waiver.
From archerytag.com
Coach D's Archery Tag Wellington , Florida, United States Archery Tag Waiver Global events & more center. I confirm that i am not presenting (and my child (ren) are not presenting) any of the following symptoms listed here: This hold harmless agreement (agreement) is made between global archery (company) and the customer (user) regarding the use of. Waivers are required to be signed before any archery or archery tag® activity. Release and. Archery Tag Waiver.
From absoluteamusements.com
Archery Battle Tag Rental Florida Absolute Amusements Archery Tag Waiver In consideration of participating in. Archery tag release and waiver of liability, assumption of risk, and indemnity. This hold harmless agreement (agreement) is made between global archery (company) and the customer (user) regarding the use of. The risk of injury from the activity and equipment involved in archery or archery tag is potentially significant, including the potential for. Waivers are. Archery Tag Waiver.
From honeykidsasia.com
PW MB Archery Tag HoneyKids Asia Archery Tag Waiver In consideration of participating in. Waivers are required to be signed before any archery or archery tag® activity. This hold harmless agreement (agreement) is made between global archery (company) and the customer (user) regarding the use of. In consideration of participating in. Release and waiver of liability, assumption of risk, and indemnity agreement. If you are under the age of. Archery Tag Waiver.
From www.sgadventures.com
Archery Tag Archery Tag Waiver Archery tag release and waiver of liability, assumption of risk, and indemnity. If you are under the age of 16 the waiver will need to be completed by a parent or legal guardian. Release of liability for infectious diseases. Release and waiver of liability, assumption of risk, and indemnity agreement. In consideration of participating in. Global events & more center.. Archery Tag Waiver.
From atelier-yuwa.ciao.jp
How To Play Archery Tag 2020 Archery atelieryuwa.ciao.jp Archery Tag Waiver In consideration of participating in. Release of liability for infectious diseases. I confirm that i am not presenting (and my child (ren) are not presenting) any of the following symptoms listed here: This hold harmless agreement (agreement) is made between global archery (company) and the customer (user) regarding the use of. Release and waiver of liability, assumption of risk, and. Archery Tag Waiver.
From www.sgadventures.com
Archery Tag Archery Tag Waiver If you are under the age of 16 the waiver will need to be completed by a parent or legal guardian. Waivers are required to be signed before any archery or archery tag® activity. Global events & more center. Release of liability for infectious diseases. Release and waiver of liability, assumption of risk, and indemnity agreement. In consideration of participating. Archery Tag Waiver.
From archerytag.com
Archery Tag® Premiere Provider Package Archery Tag® Extreme Archery Archery Tag Waiver Release of liability for infectious diseases. Waivers are required to be signed before any archery or archery tag® activity. Save time on the day by reading and signing the archery tag waiver before your event. In consideration of participating in. The risk of injury from the activity and equipment involved in archery or archery tag is potentially significant, including the. Archery Tag Waiver.
From www.faesentertainment.nl
Archery Tag set 10 personen huren Faes entertainment attractieverhuur Archery Tag Waiver In consideration of participating in. This hold harmless agreement (agreement) is made between global archery (company) and the customer (user) regarding the use of. Release of liability for infectious diseases. Release and waiver of liability, assumption of risk, and indemnity agreement. Waivers are required to be signed before any archery or archery tag® activity. In consideration of participating in. Release. Archery Tag Waiver.
From waiver.smartwaiver.com
Archery Range Waiver Archery Tag Waiver In consideration of participating in. I confirm that i am not presenting (and my child (ren) are not presenting) any of the following symptoms listed here: Waivers are required to be signed before any archery or archery tag® activity. Release and waiver of liability, assumption of risk, and indemnity agreement. Release and waiver of liability, assumption of risk, and indemnity. Archery Tag Waiver.
From www.archerytagequipment.us
Here Are Must 3 reasons to buy archery tags and Why you should order Archery Tag Waiver Release of liability for infectious diseases. The risk of injury from the activity and equipment involved in archery or archery tag is potentially significant, including the potential for. Release and waiver of liability, assumption of risk, and indemnity agreement. Archery tag release and waiver of liability, assumption of risk, and indemnity. Release and waiver of liability, assumption of risk, and. Archery Tag Waiver.
From www.tagbow.co.uk
Waiver TagBow Archery Team Sport UK Archery Tag Waiver Archery tag release and waiver of liability, assumption of risk, and indemnity. The risk of injury from the activity and equipment involved in archery or archery tag is potentially significant, including the potential for. Release of liability for infectious diseases. If you are under the age of 16 the waiver will need to be completed by a parent or legal. Archery Tag Waiver.
From www.pdffiller.com
Fillable Online Laser Tag / Archery Tag Hold Harmless Agreement and Archery Tag Waiver I confirm that i am not presenting (and my child (ren) are not presenting) any of the following symptoms listed here: If you are under the age of 16 the waiver will need to be completed by a parent or legal guardian. In consideration of participating in. Release and waiver of liability, assumption of risk, and indemnity agreement. This hold. Archery Tag Waiver.
From www.uslegalforms.com
District of Columbia Waiver and Release From Liability For Adult for Archery Tag Waiver In consideration of participating in. Global events & more center. If you are under the age of 16 the waiver will need to be completed by a parent or legal guardian. Waivers are required to be signed before any archery or archery tag® activity. The risk of injury from the activity and equipment involved in archery or archery tag is. Archery Tag Waiver.
From teamelevate.sg
Take Aim at Team Building Archery Tag in Singapore Team Elevate Archery Tag Waiver In consideration of participating in. Save time on the day by reading and signing the archery tag waiver before your event. The risk of injury from the activity and equipment involved in archery or archery tag is potentially significant, including the potential for. Release of liability for infectious diseases. I confirm that i am not presenting (and my child (ren). Archery Tag Waiver.
From campcanaan.org
Archery Tag Camp Canaan Adventures in Rock Hill, SC Archery Tag Waiver Release and waiver of liability, assumption of risk, and indemnity agreement. Release of liability for infectious diseases. In consideration of participating in. Save time on the day by reading and signing the archery tag waiver before your event. Global events & more center. Release and waiver of liability, assumption of risk, and indemnity agreement. The risk of injury from the. Archery Tag Waiver.