How To Sum Moments About A Point . Interactive shows the moment \(\vec{m} \) about an arbitrary point \(a\) due to a force force is defined by a scalar \(f\) and two points on its line of action,. The principle of moments states that for a body to be in rotational equilibrium, the sum of the clockwise moments about any point must be equal to the sum of the anticlockwise moments about that same point. 648 views 4 years ago physics and mechanics problems. In this explainer, we will learn how to find the sum of moments of a group of forces acting on a body about a point in 2d. In this video, i'll go over how to determine the moment of a force as well as how to calculate the sum of moments. You can calculate the resultant moment by first calculating the moment of each force, and then adding all. This video covers how to use the sum of. What are the moments that each of the three tension forces exert about point a (the point where the beams come together)? The resultant moment of the force system is simply the sum of the moments exerted by the forces.
from www.youtube.com
What are the moments that each of the three tension forces exert about point a (the point where the beams come together)? In this explainer, we will learn how to find the sum of moments of a group of forces acting on a body about a point in 2d. In this video, i'll go over how to determine the moment of a force as well as how to calculate the sum of moments. The resultant moment of the force system is simply the sum of the moments exerted by the forces. The principle of moments states that for a body to be in rotational equilibrium, the sum of the clockwise moments about any point must be equal to the sum of the anticlockwise moments about that same point. 648 views 4 years ago physics and mechanics problems. Interactive shows the moment \(\vec{m} \) about an arbitrary point \(a\) due to a force force is defined by a scalar \(f\) and two points on its line of action,. You can calculate the resultant moment by first calculating the moment of each force, and then adding all. This video covers how to use the sum of.
midpoint Riemann sums YouTube
How To Sum Moments About A Point Interactive shows the moment \(\vec{m} \) about an arbitrary point \(a\) due to a force force is defined by a scalar \(f\) and two points on its line of action,. This video covers how to use the sum of. The resultant moment of the force system is simply the sum of the moments exerted by the forces. Interactive shows the moment \(\vec{m} \) about an arbitrary point \(a\) due to a force force is defined by a scalar \(f\) and two points on its line of action,. What are the moments that each of the three tension forces exert about point a (the point where the beams come together)? You can calculate the resultant moment by first calculating the moment of each force, and then adding all. In this video, i'll go over how to determine the moment of a force as well as how to calculate the sum of moments. In this explainer, we will learn how to find the sum of moments of a group of forces acting on a body about a point in 2d. 648 views 4 years ago physics and mechanics problems. The principle of moments states that for a body to be in rotational equilibrium, the sum of the clockwise moments about any point must be equal to the sum of the anticlockwise moments about that same point.
From www.transtutors.com
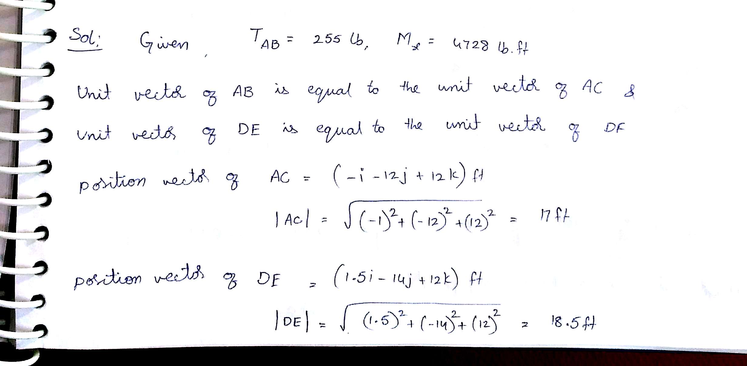
(Solved) A farmer uses cables and winch pullers B and E to plumb one How To Sum Moments About A Point The principle of moments states that for a body to be in rotational equilibrium, the sum of the clockwise moments about any point must be equal to the sum of the anticlockwise moments about that same point. 648 views 4 years ago physics and mechanics problems. In this explainer, we will learn how to find the sum of moments of. How To Sum Moments About A Point.
From www.reddit.com
Trying to solve this truss analysis question. I have so far found Ex How To Sum Moments About A Point In this explainer, we will learn how to find the sum of moments of a group of forces acting on a body about a point in 2d. The resultant moment of the force system is simply the sum of the moments exerted by the forces. In this video, i'll go over how to determine the moment of a force as. How To Sum Moments About A Point.
From complexelepheonix.com
Comment déterminer le moment final fixe dans la poutre? Complex Solutions How To Sum Moments About A Point In this explainer, we will learn how to find the sum of moments of a group of forces acting on a body about a point in 2d. In this video, i'll go over how to determine the moment of a force as well as how to calculate the sum of moments. What are the moments that each of the three. How To Sum Moments About A Point.
From www.nagwa.com
Question Video Finding the Sum of Moments of Five Forces Acting on a How To Sum Moments About A Point In this video, i'll go over how to determine the moment of a force as well as how to calculate the sum of moments. In this explainer, we will learn how to find the sum of moments of a group of forces acting on a body about a point in 2d. This video covers how to use the sum of.. How To Sum Moments About A Point.
From www.youtube.com
3 moment equation example 1 (part 1/3) YouTube How To Sum Moments About A Point What are the moments that each of the three tension forces exert about point a (the point where the beams come together)? The principle of moments states that for a body to be in rotational equilibrium, the sum of the clockwise moments about any point must be equal to the sum of the anticlockwise moments about that same point. This. How To Sum Moments About A Point.
From www.nagwa.com
Question Video Finding the Components of a Force from the Sum of How To Sum Moments About A Point In this explainer, we will learn how to find the sum of moments of a group of forces acting on a body about a point in 2d. Interactive shows the moment \(\vec{m} \) about an arbitrary point \(a\) due to a force force is defined by a scalar \(f\) and two points on its line of action,. You can calculate. How To Sum Moments About A Point.
From www.youtube.com
CROSS PRODUCT, 3D Sum of Moments Example in 90 Seconds! YouTube How To Sum Moments About A Point 648 views 4 years ago physics and mechanics problems. This video covers how to use the sum of. You can calculate the resultant moment by first calculating the moment of each force, and then adding all. In this explainer, we will learn how to find the sum of moments of a group of forces acting on a body about a. How To Sum Moments About A Point.
From badiliafrica.org
Makeup Activism Badili Africa How To Sum Moments About A Point The principle of moments states that for a body to be in rotational equilibrium, the sum of the clockwise moments about any point must be equal to the sum of the anticlockwise moments about that same point. In this explainer, we will learn how to find the sum of moments of a group of forces acting on a body about. How To Sum Moments About A Point.
From www.tessshebaylo.com
How To Solve An Equation With X Y And Z Tessshebaylo How To Sum Moments About A Point You can calculate the resultant moment by first calculating the moment of each force, and then adding all. 648 views 4 years ago physics and mechanics problems. In this explainer, we will learn how to find the sum of moments of a group of forces acting on a body about a point in 2d. The principle of moments states that. How To Sum Moments About A Point.
From www.learnaboutstructures.com
10.3 The Moment Distribution Method for Beams How To Sum Moments About A Point In this video, i'll go over how to determine the moment of a force as well as how to calculate the sum of moments. 648 views 4 years ago physics and mechanics problems. Interactive shows the moment \(\vec{m} \) about an arbitrary point \(a\) due to a force force is defined by a scalar \(f\) and two points on its. How To Sum Moments About A Point.
From cegnhzgo.blob.core.windows.net
Shear Force Diagram Calculator Frame at Doris Fletcher blog How To Sum Moments About A Point You can calculate the resultant moment by first calculating the moment of each force, and then adding all. Interactive shows the moment \(\vec{m} \) about an arbitrary point \(a\) due to a force force is defined by a scalar \(f\) and two points on its line of action,. In this explainer, we will learn how to find the sum of. How To Sum Moments About A Point.
From www.chegg.com
Solved.. Sum the moments acting about point A to How To Sum Moments About A Point The resultant moment of the force system is simply the sum of the moments exerted by the forces. The principle of moments states that for a body to be in rotational equilibrium, the sum of the clockwise moments about any point must be equal to the sum of the anticlockwise moments about that same point. This video covers how to. How To Sum Moments About A Point.
From www.youtube.com
CROSS PRODUCT, Sum of Moments in 3D in Under 3 Minutes! YouTube How To Sum Moments About A Point In this explainer, we will learn how to find the sum of moments of a group of forces acting on a body about a point in 2d. The principle of moments states that for a body to be in rotational equilibrium, the sum of the clockwise moments about any point must be equal to the sum of the anticlockwise moments. How To Sum Moments About A Point.
From studylib.net
2.120 H/2 from the lower end. Sum moments about point A How To Sum Moments About A Point In this explainer, we will learn how to find the sum of moments of a group of forces acting on a body about a point in 2d. The principle of moments states that for a body to be in rotational equilibrium, the sum of the clockwise moments about any point must be equal to the sum of the anticlockwise moments. How To Sum Moments About A Point.
From mydiagram.online
[DIAGRAM] Steel Manual Fixed Beam Diagrams How To Sum Moments About A Point In this explainer, we will learn how to find the sum of moments of a group of forces acting on a body about a point in 2d. In this video, i'll go over how to determine the moment of a force as well as how to calculate the sum of moments. 648 views 4 years ago physics and mechanics problems.. How To Sum Moments About A Point.
From www.youtube.com
Statics Example 2D Moments YouTube How To Sum Moments About A Point 648 views 4 years ago physics and mechanics problems. This video covers how to use the sum of. In this video, i'll go over how to determine the moment of a force as well as how to calculate the sum of moments. The resultant moment of the force system is simply the sum of the moments exerted by the forces.. How To Sum Moments About A Point.
From www.youtube.com
Find the moment of a force about a point YouTube How To Sum Moments About A Point Interactive shows the moment \(\vec{m} \) about an arbitrary point \(a\) due to a force force is defined by a scalar \(f\) and two points on its line of action,. The resultant moment of the force system is simply the sum of the moments exerted by the forces. The principle of moments states that for a body to be in. How To Sum Moments About A Point.
From www.chegg.com
Solved Break the forces into x and y components and How To Sum Moments About A Point 648 views 4 years ago physics and mechanics problems. The resultant moment of the force system is simply the sum of the moments exerted by the forces. You can calculate the resultant moment by first calculating the moment of each force, and then adding all. This video covers how to use the sum of. The principle of moments states that. How To Sum Moments About A Point.
From www.slideserve.com
PPT Moment of Inertia Parallel Axis Theorem Torque and Angular How To Sum Moments About A Point 648 views 4 years ago physics and mechanics problems. In this video, i'll go over how to determine the moment of a force as well as how to calculate the sum of moments. What are the moments that each of the three tension forces exert about point a (the point where the beams come together)? The principle of moments states. How To Sum Moments About A Point.
From www.youtube.com
2D Sum of Moments in 2 Minutes! YouTube How To Sum Moments About A Point You can calculate the resultant moment by first calculating the moment of each force, and then adding all. 648 views 4 years ago physics and mechanics problems. This video covers how to use the sum of. Interactive shows the moment \(\vec{m} \) about an arbitrary point \(a\) due to a force force is defined by a scalar \(f\) and two. How To Sum Moments About A Point.
From www.youtube.com
ALevel Moments with Two Pivots Example YouTube How To Sum Moments About A Point This video covers how to use the sum of. The principle of moments states that for a body to be in rotational equilibrium, the sum of the clockwise moments about any point must be equal to the sum of the anticlockwise moments about that same point. Interactive shows the moment \(\vec{m} \) about an arbitrary point \(a\) due to a. How To Sum Moments About A Point.
From www.chegg.com
Solved Determine the sum of the moments created by the How To Sum Moments About A Point 648 views 4 years ago physics and mechanics problems. In this explainer, we will learn how to find the sum of moments of a group of forces acting on a body about a point in 2d. The principle of moments states that for a body to be in rotational equilibrium, the sum of the clockwise moments about any point must. How To Sum Moments About A Point.
From www.youtube.com
Sum of MOMENTS and Rigid Body Equilibrium in 13 Minutes! (Statics How To Sum Moments About A Point The resultant moment of the force system is simply the sum of the moments exerted by the forces. The principle of moments states that for a body to be in rotational equilibrium, the sum of the clockwise moments about any point must be equal to the sum of the anticlockwise moments about that same point. You can calculate the resultant. How To Sum Moments About A Point.
From www.chegg.com
Solved A farmer uses cables and winch pullers B and E to How To Sum Moments About A Point You can calculate the resultant moment by first calculating the moment of each force, and then adding all. In this explainer, we will learn how to find the sum of moments of a group of forces acting on a body about a point in 2d. In this video, i'll go over how to determine the moment of a force as. How To Sum Moments About A Point.
From www.nagwa.com
Question Video Finding the Magnitude of the Sum of the Moments of Four How To Sum Moments About A Point This video covers how to use the sum of. What are the moments that each of the three tension forces exert about point a (the point where the beams come together)? Interactive shows the moment \(\vec{m} \) about an arbitrary point \(a\) due to a force force is defined by a scalar \(f\) and two points on its line of. How To Sum Moments About A Point.
From www.youtube.com
midpoint Riemann sums YouTube How To Sum Moments About A Point You can calculate the resultant moment by first calculating the moment of each force, and then adding all. This video covers how to use the sum of. In this video, i'll go over how to determine the moment of a force as well as how to calculate the sum of moments. Interactive shows the moment \(\vec{m} \) about an arbitrary. How To Sum Moments About A Point.
From www.youtube.com
Solving Reactions for a cantilevered beam YouTube How To Sum Moments About A Point You can calculate the resultant moment by first calculating the moment of each force, and then adding all. 648 views 4 years ago physics and mechanics problems. What are the moments that each of the three tension forces exert about point a (the point where the beams come together)? This video covers how to use the sum of. Interactive shows. How To Sum Moments About A Point.
From www.nagwa.com
Question Video Locating a Point on a Rectangle given the Sum of How To Sum Moments About A Point The resultant moment of the force system is simply the sum of the moments exerted by the forces. What are the moments that each of the three tension forces exert about point a (the point where the beams come together)? You can calculate the resultant moment by first calculating the moment of each force, and then adding all. In this. How To Sum Moments About A Point.
From complexelepheonix.com
ビームの固定端モーメントを決定する方法は? Complex Solutions How To Sum Moments About A Point The resultant moment of the force system is simply the sum of the moments exerted by the forces. 648 views 4 years ago physics and mechanics problems. What are the moments that each of the three tension forces exert about point a (the point where the beams come together)? The principle of moments states that for a body to be. How To Sum Moments About A Point.
From www.chegg.com
Solved Constants Part A The sum of the moments about point A How To Sum Moments About A Point The resultant moment of the force system is simply the sum of the moments exerted by the forces. You can calculate the resultant moment by first calculating the moment of each force, and then adding all. In this video, i'll go over how to determine the moment of a force as well as how to calculate the sum of moments.. How To Sum Moments About A Point.
From www.youtube.com
Calculating Moments Part 1 YouTube How To Sum Moments About A Point In this explainer, we will learn how to find the sum of moments of a group of forces acting on a body about a point in 2d. 648 views 4 years ago physics and mechanics problems. Interactive shows the moment \(\vec{m} \) about an arbitrary point \(a\) due to a force force is defined by a scalar \(f\) and two. How To Sum Moments About A Point.
From www.youtube.com
REACTION Forces Calculations Using Moments, in 2 Minutes! YouTube How To Sum Moments About A Point This video covers how to use the sum of. You can calculate the resultant moment by first calculating the moment of each force, and then adding all. What are the moments that each of the three tension forces exert about point a (the point where the beams come together)? The resultant moment of the force system is simply the sum. How To Sum Moments About A Point.
From chiangmaiplaces.net
How Do You Find The Left Riemann Sum? Top 8 Best Answers How To Sum Moments About A Point 648 views 4 years ago physics and mechanics problems. You can calculate the resultant moment by first calculating the moment of each force, and then adding all. The principle of moments states that for a body to be in rotational equilibrium, the sum of the clockwise moments about any point must be equal to the sum of the anticlockwise moments. How To Sum Moments About A Point.
From www.youtube.com
Shear force and bending moment diagrams example 4 applied moment How To Sum Moments About A Point You can calculate the resultant moment by first calculating the moment of each force, and then adding all. The resultant moment of the force system is simply the sum of the moments exerted by the forces. The principle of moments states that for a body to be in rotational equilibrium, the sum of the clockwise moments about any point must. How To Sum Moments About A Point.
From www.youtube.com
Statics 48 Determine the moment of each of the three forces about How To Sum Moments About A Point In this video, i'll go over how to determine the moment of a force as well as how to calculate the sum of moments. Interactive shows the moment \(\vec{m} \) about an arbitrary point \(a\) due to a force force is defined by a scalar \(f\) and two points on its line of action,. What are the moments that each. How To Sum Moments About A Point.