New Tax Deductions 2021 . Knowing which deductions or credits to claim is challenging, so we created this handy list of 49 tax deductions and tax credits to take this year. in 2021, the income limits for all tax brackets and all filers will be adjusted for inflation and will be as follows (tables 1). The top marginal income tax rate of 37 percent will hit taxpayers with taxable income of $523,600 and higher for single filers and $628,300 and higher for married couples filing jointly. the internal revenue service (irs) has announced the annual inflation adjustments for the tax year 2021, including tax rate. read on to learn about the 13 biggest tax deductions and credits for 2021 and their eligibility requirements. You can deduct qualified home equity.
from midwestcommunity.org
Knowing which deductions or credits to claim is challenging, so we created this handy list of 49 tax deductions and tax credits to take this year. the internal revenue service (irs) has announced the annual inflation adjustments for the tax year 2021, including tax rate. in 2021, the income limits for all tax brackets and all filers will be adjusted for inflation and will be as follows (tables 1). The top marginal income tax rate of 37 percent will hit taxpayers with taxable income of $523,600 and higher for single filers and $628,300 and higher for married couples filing jointly. read on to learn about the 13 biggest tax deductions and credits for 2021 and their eligibility requirements. You can deduct qualified home equity.
5 Tax Deductions and Credits to Consider During the 2021 Tax Season Midwest Community
New Tax Deductions 2021 The top marginal income tax rate of 37 percent will hit taxpayers with taxable income of $523,600 and higher for single filers and $628,300 and higher for married couples filing jointly. Knowing which deductions or credits to claim is challenging, so we created this handy list of 49 tax deductions and tax credits to take this year. The top marginal income tax rate of 37 percent will hit taxpayers with taxable income of $523,600 and higher for single filers and $628,300 and higher for married couples filing jointly. read on to learn about the 13 biggest tax deductions and credits for 2021 and their eligibility requirements. You can deduct qualified home equity. the internal revenue service (irs) has announced the annual inflation adjustments for the tax year 2021, including tax rate. in 2021, the income limits for all tax brackets and all filers will be adjusted for inflation and will be as follows (tables 1).
From www.taxhelpdesk.in
Understand about deductions under old and new tax regime TaxHelpdesk New Tax Deductions 2021 Knowing which deductions or credits to claim is challenging, so we created this handy list of 49 tax deductions and tax credits to take this year. The top marginal income tax rate of 37 percent will hit taxpayers with taxable income of $523,600 and higher for single filers and $628,300 and higher for married couples filing jointly. the internal. New Tax Deductions 2021.
From fyoiypgbc.blob.core.windows.net
Standard Deduction Chart For 2021 Tax Year at Elaine Ballard blog New Tax Deductions 2021 You can deduct qualified home equity. The top marginal income tax rate of 37 percent will hit taxpayers with taxable income of $523,600 and higher for single filers and $628,300 and higher for married couples filing jointly. Knowing which deductions or credits to claim is challenging, so we created this handy list of 49 tax deductions and tax credits to. New Tax Deductions 2021.
From standard-deduction.com
Tax Deductions List Fy 202021 Standard Deduction 2021 New Tax Deductions 2021 You can deduct qualified home equity. in 2021, the income limits for all tax brackets and all filers will be adjusted for inflation and will be as follows (tables 1). Knowing which deductions or credits to claim is challenging, so we created this handy list of 49 tax deductions and tax credits to take this year. read on. New Tax Deductions 2021.
From www.johnsonwealthmanagement.com
The New IRS Tax Rates and Deductions for 2021 Johnson Wealth Management New Tax Deductions 2021 in 2021, the income limits for all tax brackets and all filers will be adjusted for inflation and will be as follows (tables 1). the internal revenue service (irs) has announced the annual inflation adjustments for the tax year 2021, including tax rate. You can deduct qualified home equity. read on to learn about the 13 biggest. New Tax Deductions 2021.
From www.taxdefensenetwork.com
2021 Tax Changes And Tax Brackets New Tax Deductions 2021 read on to learn about the 13 biggest tax deductions and credits for 2021 and their eligibility requirements. Knowing which deductions or credits to claim is challenging, so we created this handy list of 49 tax deductions and tax credits to take this year. You can deduct qualified home equity. in 2021, the income limits for all tax. New Tax Deductions 2021.
From listnameboy.blogspot.com
2022 Deductions List Name List 2022 New Tax Deductions 2021 the internal revenue service (irs) has announced the annual inflation adjustments for the tax year 2021, including tax rate. Knowing which deductions or credits to claim is challenging, so we created this handy list of 49 tax deductions and tax credits to take this year. in 2021, the income limits for all tax brackets and all filers will. New Tax Deductions 2021.
From www.scribd.com
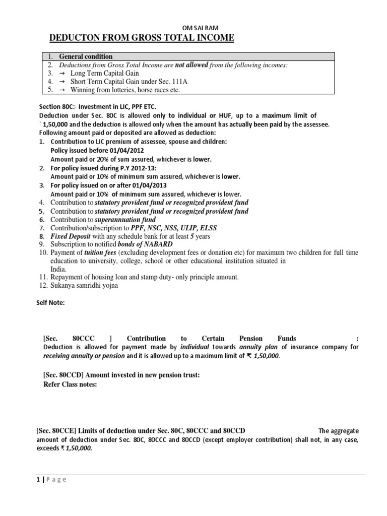
Deductions 2021 22 PDF Pension Tax Deduction New Tax Deductions 2021 You can deduct qualified home equity. The top marginal income tax rate of 37 percent will hit taxpayers with taxable income of $523,600 and higher for single filers and $628,300 and higher for married couples filing jointly. read on to learn about the 13 biggest tax deductions and credits for 2021 and their eligibility requirements. Knowing which deductions or. New Tax Deductions 2021.
From abc7ny.com
New tax deductions and rules that could cost you money, 7 On Your Side explains ABC7 New York New Tax Deductions 2021 Knowing which deductions or credits to claim is challenging, so we created this handy list of 49 tax deductions and tax credits to take this year. in 2021, the income limits for all tax brackets and all filers will be adjusted for inflation and will be as follows (tables 1). The top marginal income tax rate of 37 percent. New Tax Deductions 2021.
From standard-deduction.com
Standard Deduction Standard Deduction 2021 New Tax Deductions 2021 Knowing which deductions or credits to claim is challenging, so we created this handy list of 49 tax deductions and tax credits to take this year. The top marginal income tax rate of 37 percent will hit taxpayers with taxable income of $523,600 and higher for single filers and $628,300 and higher for married couples filing jointly. in 2021,. New Tax Deductions 2021.
From www.mehannacpas.com
8 Tax Credits/Deductions to Watch Out for in 2021 Mehanna CPAs & Advisors 199a deduction New Tax Deductions 2021 You can deduct qualified home equity. in 2021, the income limits for all tax brackets and all filers will be adjusted for inflation and will be as follows (tables 1). The top marginal income tax rate of 37 percent will hit taxpayers with taxable income of $523,600 and higher for single filers and $628,300 and higher for married couples. New Tax Deductions 2021.
From midwestcommunity.org
5 Tax Deductions and Credits to Consider During the 2021 Tax Season Midwest Community New Tax Deductions 2021 You can deduct qualified home equity. The top marginal income tax rate of 37 percent will hit taxpayers with taxable income of $523,600 and higher for single filers and $628,300 and higher for married couples filing jointly. the internal revenue service (irs) has announced the annual inflation adjustments for the tax year 2021, including tax rate. Knowing which deductions. New Tax Deductions 2021.
From gioiebwrk.blob.core.windows.net
Are Textbooks Tax Deductible 2021 at Lonny Yates blog New Tax Deductions 2021 read on to learn about the 13 biggest tax deductions and credits for 2021 and their eligibility requirements. The top marginal income tax rate of 37 percent will hit taxpayers with taxable income of $523,600 and higher for single filers and $628,300 and higher for married couples filing jointly. the internal revenue service (irs) has announced the annual. New Tax Deductions 2021.
From lyfeaccounting.com
NEW Tax Deduction Business Meals are 100 Deductible in 2021! New Tax Deductions 2021 the internal revenue service (irs) has announced the annual inflation adjustments for the tax year 2021, including tax rate. in 2021, the income limits for all tax brackets and all filers will be adjusted for inflation and will be as follows (tables 1). You can deduct qualified home equity. Knowing which deductions or credits to claim is challenging,. New Tax Deductions 2021.
From standard-deduction.com
2021 Standard Deduction Over 65 Standard Deduction 2021 New Tax Deductions 2021 The top marginal income tax rate of 37 percent will hit taxpayers with taxable income of $523,600 and higher for single filers and $628,300 and higher for married couples filing jointly. Knowing which deductions or credits to claim is challenging, so we created this handy list of 49 tax deductions and tax credits to take this year. the internal. New Tax Deductions 2021.
From blog.newhorizonsmktg.com
The Ultimate 2021 Tax Deductions Checklist for Independent Insurance Agents New Tax Deductions 2021 in 2021, the income limits for all tax brackets and all filers will be adjusted for inflation and will be as follows (tables 1). Knowing which deductions or credits to claim is challenging, so we created this handy list of 49 tax deductions and tax credits to take this year. the internal revenue service (irs) has announced the. New Tax Deductions 2021.
From fyoghczks.blob.core.windows.net
What All Is Tax Deductions For A Business at Scott Rosario blog New Tax Deductions 2021 the internal revenue service (irs) has announced the annual inflation adjustments for the tax year 2021, including tax rate. You can deduct qualified home equity. Knowing which deductions or credits to claim is challenging, so we created this handy list of 49 tax deductions and tax credits to take this year. read on to learn about the 13. New Tax Deductions 2021.
From imagetou.com
Tax Deductions 2022 23 Image to u New Tax Deductions 2021 read on to learn about the 13 biggest tax deductions and credits for 2021 and their eligibility requirements. The top marginal income tax rate of 37 percent will hit taxpayers with taxable income of $523,600 and higher for single filers and $628,300 and higher for married couples filing jointly. Knowing which deductions or credits to claim is challenging, so. New Tax Deductions 2021.
From www.youtube.com
EPF tax Deduction Procedure Full Details EPF tax deduction 2021 YouTube New Tax Deductions 2021 read on to learn about the 13 biggest tax deductions and credits for 2021 and their eligibility requirements. You can deduct qualified home equity. in 2021, the income limits for all tax brackets and all filers will be adjusted for inflation and will be as follows (tables 1). The top marginal income tax rate of 37 percent will. New Tax Deductions 2021.
From www.leichtwealth.com
The New IRS Tax Rates and Deductions for 2021 Parsippany, NJ New Tax Deductions 2021 You can deduct qualified home equity. in 2021, the income limits for all tax brackets and all filers will be adjusted for inflation and will be as follows (tables 1). The top marginal income tax rate of 37 percent will hit taxpayers with taxable income of $523,600 and higher for single filers and $628,300 and higher for married couples. New Tax Deductions 2021.
From standard-deduction.com
Standard Deduction For 202122 Standard Deduction 2021 New Tax Deductions 2021 The top marginal income tax rate of 37 percent will hit taxpayers with taxable income of $523,600 and higher for single filers and $628,300 and higher for married couples filing jointly. Knowing which deductions or credits to claim is challenging, so we created this handy list of 49 tax deductions and tax credits to take this year. in 2021,. New Tax Deductions 2021.
From www.menti.club
Understanding Tax Deductions, Tax Credits, and Tax Audits — Menti New Tax Deductions 2021 in 2021, the income limits for all tax brackets and all filers will be adjusted for inflation and will be as follows (tables 1). the internal revenue service (irs) has announced the annual inflation adjustments for the tax year 2021, including tax rate. You can deduct qualified home equity. The top marginal income tax rate of 37 percent. New Tax Deductions 2021.
From www.westsideim.com
The New IRS Tax Rates and Deductions for 2021 Westside Investment Management New Tax Deductions 2021 Knowing which deductions or credits to claim is challenging, so we created this handy list of 49 tax deductions and tax credits to take this year. in 2021, the income limits for all tax brackets and all filers will be adjusted for inflation and will be as follows (tables 1). You can deduct qualified home equity. The top marginal. New Tax Deductions 2021.
From www.thebottomlinecpa.com
066 Top 50 Tax Deductions in 2021 Pay Play Profit Podcast New Tax Deductions 2021 the internal revenue service (irs) has announced the annual inflation adjustments for the tax year 2021, including tax rate. read on to learn about the 13 biggest tax deductions and credits for 2021 and their eligibility requirements. The top marginal income tax rate of 37 percent will hit taxpayers with taxable income of $523,600 and higher for single. New Tax Deductions 2021.
From worksheetcampusflirty.z22.web.core.windows.net
2021 Standard Deduction Worksheets New Tax Deductions 2021 You can deduct qualified home equity. The top marginal income tax rate of 37 percent will hit taxpayers with taxable income of $523,600 and higher for single filers and $628,300 and higher for married couples filing jointly. the internal revenue service (irs) has announced the annual inflation adjustments for the tax year 2021, including tax rate. read on. New Tax Deductions 2021.
From www.apnaplan.com
Tax Calculator For FY 202021 [AY 202122] Excel Download New Tax Deductions 2021 The top marginal income tax rate of 37 percent will hit taxpayers with taxable income of $523,600 and higher for single filers and $628,300 and higher for married couples filing jointly. You can deduct qualified home equity. Knowing which deductions or credits to claim is challenging, so we created this handy list of 49 tax deductions and tax credits to. New Tax Deductions 2021.
From 1044form.com
5 Popular Itemized Deductions 2021 Tax Forms 1040 Printable New Tax Deductions 2021 read on to learn about the 13 biggest tax deductions and credits for 2021 and their eligibility requirements. in 2021, the income limits for all tax brackets and all filers will be adjusted for inflation and will be as follows (tables 1). You can deduct qualified home equity. Knowing which deductions or credits to claim is challenging, so. New Tax Deductions 2021.
From www.thebottomlinecpa.com
Top 50 Tax Deductions in 2021 The Bottom Line® CPA New Tax Deductions 2021 in 2021, the income limits for all tax brackets and all filers will be adjusted for inflation and will be as follows (tables 1). the internal revenue service (irs) has announced the annual inflation adjustments for the tax year 2021, including tax rate. Knowing which deductions or credits to claim is challenging, so we created this handy list. New Tax Deductions 2021.
From www.cnet.com
12 best tax deductions for 2021 New Tax Deductions 2021 Knowing which deductions or credits to claim is challenging, so we created this handy list of 49 tax deductions and tax credits to take this year. The top marginal income tax rate of 37 percent will hit taxpayers with taxable income of $523,600 and higher for single filers and $628,300 and higher for married couples filing jointly. the internal. New Tax Deductions 2021.
From www.youtube.com
Small Business Tax Deductions 2021 Tax Writeoffs! YouTube New Tax Deductions 2021 You can deduct qualified home equity. Knowing which deductions or credits to claim is challenging, so we created this handy list of 49 tax deductions and tax credits to take this year. read on to learn about the 13 biggest tax deductions and credits for 2021 and their eligibility requirements. The top marginal income tax rate of 37 percent. New Tax Deductions 2021.
From www.purposefulfinance.org
IRS 2021 Tax Tables, Deductions, & Exemptions — purposeful.finance New Tax Deductions 2021 read on to learn about the 13 biggest tax deductions and credits for 2021 and their eligibility requirements. The top marginal income tax rate of 37 percent will hit taxpayers with taxable income of $523,600 and higher for single filers and $628,300 and higher for married couples filing jointly. You can deduct qualified home equity. the internal revenue. New Tax Deductions 2021.
From www.houseloanblog.net
2021 tax deductions Cornerstone Blog New Tax Deductions 2021 the internal revenue service (irs) has announced the annual inflation adjustments for the tax year 2021, including tax rate. You can deduct qualified home equity. Knowing which deductions or credits to claim is challenging, so we created this handy list of 49 tax deductions and tax credits to take this year. The top marginal income tax rate of 37. New Tax Deductions 2021.
From standard-deduction.com
Standard Deduction For 2021 Taxes Standard Deduction 2021 New Tax Deductions 2021 in 2021, the income limits for all tax brackets and all filers will be adjusted for inflation and will be as follows (tables 1). The top marginal income tax rate of 37 percent will hit taxpayers with taxable income of $523,600 and higher for single filers and $628,300 and higher for married couples filing jointly. You can deduct qualified. New Tax Deductions 2021.
From goldstandardtax.com
Blog 2021 YearEnd General Business Tax Deductions Gold Standard Tax New Tax Deductions 2021 the internal revenue service (irs) has announced the annual inflation adjustments for the tax year 2021, including tax rate. You can deduct qualified home equity. Knowing which deductions or credits to claim is challenging, so we created this handy list of 49 tax deductions and tax credits to take this year. read on to learn about the 13. New Tax Deductions 2021.
From itaxxsoftware.com
Tax Deductions FY 202122 / AY 202223 with automated Tax Calculator All in One New Tax Deductions 2021 You can deduct qualified home equity. in 2021, the income limits for all tax brackets and all filers will be adjusted for inflation and will be as follows (tables 1). the internal revenue service (irs) has announced the annual inflation adjustments for the tax year 2021, including tax rate. read on to learn about the 13 biggest. New Tax Deductions 2021.
From www.taxdefensenetwork.com
Should You Take The Standard Deduction on Your 2021/2022 Taxes? New Tax Deductions 2021 You can deduct qualified home equity. Knowing which deductions or credits to claim is challenging, so we created this handy list of 49 tax deductions and tax credits to take this year. the internal revenue service (irs) has announced the annual inflation adjustments for the tax year 2021, including tax rate. in 2021, the income limits for all. New Tax Deductions 2021.