Cook County Local Rules Mediation . the presiding judge, individual calendar judge, or motion judge to whom a matter is assigned may order any. view general administrative rules for the circuit court of cook county here. local circuit rule 20.02(a) allows the presiding judge of the law division, individual calendar judges and motion. in domestic relations cases, mediation is mandatory for (1) initial determinations of allocation of parental responsibilities; mediation shall be completed within seven (7) weeks of the first mediation session unless extended by order of the. Under this rule, estate, minor and adult guardianship.
from www.pinterest.com
in domestic relations cases, mediation is mandatory for (1) initial determinations of allocation of parental responsibilities; mediation shall be completed within seven (7) weeks of the first mediation session unless extended by order of the. local circuit rule 20.02(a) allows the presiding judge of the law division, individual calendar judges and motion. the presiding judge, individual calendar judge, or motion judge to whom a matter is assigned may order any. view general administrative rules for the circuit court of cook county here. Under this rule, estate, minor and adult guardianship.
Final Rules for Cook County Illinois for Sick Leave Ordinance
Cook County Local Rules Mediation Under this rule, estate, minor and adult guardianship. local circuit rule 20.02(a) allows the presiding judge of the law division, individual calendar judges and motion. Under this rule, estate, minor and adult guardianship. in domestic relations cases, mediation is mandatory for (1) initial determinations of allocation of parental responsibilities; the presiding judge, individual calendar judge, or motion judge to whom a matter is assigned may order any. mediation shall be completed within seven (7) weeks of the first mediation session unless extended by order of the. view general administrative rules for the circuit court of cook county here.
From www.templateroller.com
Form CCDR0009 Download Fillable PDF or Fill Online Circuit Court Rule Cook County Local Rules Mediation local circuit rule 20.02(a) allows the presiding judge of the law division, individual calendar judges and motion. Under this rule, estate, minor and adult guardianship. in domestic relations cases, mediation is mandatory for (1) initial determinations of allocation of parental responsibilities; mediation shall be completed within seven (7) weeks of the first mediation session unless extended by. Cook County Local Rules Mediation.
From www.templateroller.com
Form CCDR0031 Fill Out, Sign Online and Download Fillable PDF, Cook Cook County Local Rules Mediation local circuit rule 20.02(a) allows the presiding judge of the law division, individual calendar judges and motion. in domestic relations cases, mediation is mandatory for (1) initial determinations of allocation of parental responsibilities; view general administrative rules for the circuit court of cook county here. Under this rule, estate, minor and adult guardianship. the presiding judge,. Cook County Local Rules Mediation.
From woodstockinst.org
Lessons Learned from the Circuit Court of Cook County Mortgage Cook County Local Rules Mediation the presiding judge, individual calendar judge, or motion judge to whom a matter is assigned may order any. in domestic relations cases, mediation is mandatory for (1) initial determinations of allocation of parental responsibilities; local circuit rule 20.02(a) allows the presiding judge of the law division, individual calendar judges and motion. view general administrative rules for. Cook County Local Rules Mediation.
From udv.lab.uic.edu
Cook County Census Project Urban Data Visualization Lab University Cook County Local Rules Mediation in domestic relations cases, mediation is mandatory for (1) initial determinations of allocation of parental responsibilities; the presiding judge, individual calendar judge, or motion judge to whom a matter is assigned may order any. local circuit rule 20.02(a) allows the presiding judge of the law division, individual calendar judges and motion. mediation shall be completed within. Cook County Local Rules Mediation.
From www.templateroller.com
Form CCDR0041 Fill Out, Sign Online and Download Fillable PDF, Cook Cook County Local Rules Mediation Under this rule, estate, minor and adult guardianship. view general administrative rules for the circuit court of cook county here. local circuit rule 20.02(a) allows the presiding judge of the law division, individual calendar judges and motion. mediation shall be completed within seven (7) weeks of the first mediation session unless extended by order of the. . Cook County Local Rules Mediation.
From www.slideserve.com
PPT CIVIL LITIGATION PowerPoint Presentation, free download ID6885089 Cook County Local Rules Mediation local circuit rule 20.02(a) allows the presiding judge of the law division, individual calendar judges and motion. the presiding judge, individual calendar judge, or motion judge to whom a matter is assigned may order any. view general administrative rules for the circuit court of cook county here. mediation shall be completed within seven (7) weeks of. Cook County Local Rules Mediation.
From www.pdffiller.com
Cook County Hipaa Order 2022 Fill Online, Printable, Fillable, Blank Cook County Local Rules Mediation local circuit rule 20.02(a) allows the presiding judge of the law division, individual calendar judges and motion. view general administrative rules for the circuit court of cook county here. mediation shall be completed within seven (7) weeks of the first mediation session unless extended by order of the. the presiding judge, individual calendar judge, or motion. Cook County Local Rules Mediation.
From www.templateroller.com
Form CCCH0105 Fill Out, Sign Online and Download Fillable PDF, Cook Cook County Local Rules Mediation mediation shall be completed within seven (7) weeks of the first mediation session unless extended by order of the. local circuit rule 20.02(a) allows the presiding judge of the law division, individual calendar judges and motion. view general administrative rules for the circuit court of cook county here. in domestic relations cases, mediation is mandatory for. Cook County Local Rules Mediation.
From www.chicagoappleseed.org
REPORT Cook County Justice Advisory Council's Electronic Monitoring Cook County Local Rules Mediation local circuit rule 20.02(a) allows the presiding judge of the law division, individual calendar judges and motion. the presiding judge, individual calendar judge, or motion judge to whom a matter is assigned may order any. in domestic relations cases, mediation is mandatory for (1) initial determinations of allocation of parental responsibilities; mediation shall be completed within. Cook County Local Rules Mediation.
From www.pinterest.com
Final Rules for Cook County Illinois for Sick Leave Ordinance Cook County Local Rules Mediation Under this rule, estate, minor and adult guardianship. view general administrative rules for the circuit court of cook county here. mediation shall be completed within seven (7) weeks of the first mediation session unless extended by order of the. in domestic relations cases, mediation is mandatory for (1) initial determinations of allocation of parental responsibilities; the. Cook County Local Rules Mediation.
From www.slideserve.com
PPT An Introduction to the Cook County Juvenile Justice System Cook County Local Rules Mediation in domestic relations cases, mediation is mandatory for (1) initial determinations of allocation of parental responsibilities; mediation shall be completed within seven (7) weeks of the first mediation session unless extended by order of the. the presiding judge, individual calendar judge, or motion judge to whom a matter is assigned may order any. local circuit rule. Cook County Local Rules Mediation.
From www.slideserve.com
PPT An Introduction to the Cook County Juvenile Justice System Cook County Local Rules Mediation the presiding judge, individual calendar judge, or motion judge to whom a matter is assigned may order any. Under this rule, estate, minor and adult guardianship. local circuit rule 20.02(a) allows the presiding judge of the law division, individual calendar judges and motion. view general administrative rules for the circuit court of cook county here. mediation. Cook County Local Rules Mediation.
From www.cookcountycourt.org
Domestic Violence Division Presiding Judge Judith Rice Recognized with Cook County Local Rules Mediation local circuit rule 20.02(a) allows the presiding judge of the law division, individual calendar judges and motion. the presiding judge, individual calendar judge, or motion judge to whom a matter is assigned may order any. in domestic relations cases, mediation is mandatory for (1) initial determinations of allocation of parental responsibilities; mediation shall be completed within. Cook County Local Rules Mediation.
From www.slideserve.com
PPT Circuit Court of Cook County Mortgage Foreclosure Mediation Cook County Local Rules Mediation the presiding judge, individual calendar judge, or motion judge to whom a matter is assigned may order any. in domestic relations cases, mediation is mandatory for (1) initial determinations of allocation of parental responsibilities; mediation shall be completed within seven (7) weeks of the first mediation session unless extended by order of the. view general administrative. Cook County Local Rules Mediation.
From www.templateroller.com
Form CCDR0009 Download Fillable PDF or Fill Online Circuit Court Rule Cook County Local Rules Mediation view general administrative rules for the circuit court of cook county here. Under this rule, estate, minor and adult guardianship. mediation shall be completed within seven (7) weeks of the first mediation session unless extended by order of the. local circuit rule 20.02(a) allows the presiding judge of the law division, individual calendar judges and motion. . Cook County Local Rules Mediation.
From www.weather.gov
Cook County and Will County Forecast Zone Change March 3rd, 2020 Cook County Local Rules Mediation the presiding judge, individual calendar judge, or motion judge to whom a matter is assigned may order any. local circuit rule 20.02(a) allows the presiding judge of the law division, individual calendar judges and motion. mediation shall be completed within seven (7) weeks of the first mediation session unless extended by order of the. in domestic. Cook County Local Rules Mediation.
From www.uslegalforms.com
Harris Texas Motion To Compel Mediation Motion To Compel Mediation Cook County Local Rules Mediation in domestic relations cases, mediation is mandatory for (1) initial determinations of allocation of parental responsibilities; Under this rule, estate, minor and adult guardianship. the presiding judge, individual calendar judge, or motion judge to whom a matter is assigned may order any. view general administrative rules for the circuit court of cook county here. local circuit. Cook County Local Rules Mediation.
From www.linkedin.com
Cook County Public Defender on LinkedIn If someone has been arrested Cook County Local Rules Mediation view general administrative rules for the circuit court of cook county here. local circuit rule 20.02(a) allows the presiding judge of the law division, individual calendar judges and motion. mediation shall be completed within seven (7) weeks of the first mediation session unless extended by order of the. Under this rule, estate, minor and adult guardianship. . Cook County Local Rules Mediation.
From www.templateroller.com
Form CCJP0003 Fill Out, Sign Online and Download Fillable PDF, Cook Cook County Local Rules Mediation in domestic relations cases, mediation is mandatory for (1) initial determinations of allocation of parental responsibilities; view general administrative rules for the circuit court of cook county here. mediation shall be completed within seven (7) weeks of the first mediation session unless extended by order of the. Under this rule, estate, minor and adult guardianship. local. Cook County Local Rules Mediation.
From www.youtube.com
Cook County Forest Preserve Referendum YouTube Cook County Local Rules Mediation Under this rule, estate, minor and adult guardianship. the presiding judge, individual calendar judge, or motion judge to whom a matter is assigned may order any. local circuit rule 20.02(a) allows the presiding judge of the law division, individual calendar judges and motion. mediation shall be completed within seven (7) weeks of the first mediation session unless. Cook County Local Rules Mediation.
From www.slideserve.com
PPT An Introduction to the Cook County Juvenile Justice System Cook County Local Rules Mediation view general administrative rules for the circuit court of cook county here. the presiding judge, individual calendar judge, or motion judge to whom a matter is assigned may order any. in domestic relations cases, mediation is mandatory for (1) initial determinations of allocation of parental responsibilities; Under this rule, estate, minor and adult guardianship. local circuit. Cook County Local Rules Mediation.
From www.dochub.com
Alias summons cook county Fill out & sign online DocHub Cook County Local Rules Mediation local circuit rule 20.02(a) allows the presiding judge of the law division, individual calendar judges and motion. view general administrative rules for the circuit court of cook county here. the presiding judge, individual calendar judge, or motion judge to whom a matter is assigned may order any. in domestic relations cases, mediation is mandatory for (1). Cook County Local Rules Mediation.
From www.cbsnews.com
Firstever Social Media Safety Day in Cook County CBS Chicago Cook County Local Rules Mediation view general administrative rules for the circuit court of cook county here. in domestic relations cases, mediation is mandatory for (1) initial determinations of allocation of parental responsibilities; the presiding judge, individual calendar judge, or motion judge to whom a matter is assigned may order any. mediation shall be completed within seven (7) weeks of the. Cook County Local Rules Mediation.
From www.templateroller.com
Form CCTR0001 Fill Out, Sign Online and Download Fillable PDF, Cook Cook County Local Rules Mediation in domestic relations cases, mediation is mandatory for (1) initial determinations of allocation of parental responsibilities; Under this rule, estate, minor and adult guardianship. mediation shall be completed within seven (7) weeks of the first mediation session unless extended by order of the. the presiding judge, individual calendar judge, or motion judge to whom a matter is. Cook County Local Rules Mediation.
From www.slideserve.com
PPT CIVIL LITIGATION PowerPoint Presentation, free download ID6885089 Cook County Local Rules Mediation local circuit rule 20.02(a) allows the presiding judge of the law division, individual calendar judges and motion. in domestic relations cases, mediation is mandatory for (1) initial determinations of allocation of parental responsibilities; Under this rule, estate, minor and adult guardianship. mediation shall be completed within seven (7) weeks of the first mediation session unless extended by. Cook County Local Rules Mediation.
From www.templateroller.com
Form CCCH0104 Download Fillable PDF or Fill Online Mortgage Foreclosure Cook County Local Rules Mediation in domestic relations cases, mediation is mandatory for (1) initial determinations of allocation of parental responsibilities; Under this rule, estate, minor and adult guardianship. mediation shall be completed within seven (7) weeks of the first mediation session unless extended by order of the. the presiding judge, individual calendar judge, or motion judge to whom a matter is. Cook County Local Rules Mediation.
From mactc.org
Find Your Local Union MidAmerica Carpenters Regional Council Cook County Local Rules Mediation local circuit rule 20.02(a) allows the presiding judge of the law division, individual calendar judges and motion. mediation shall be completed within seven (7) weeks of the first mediation session unless extended by order of the. in domestic relations cases, mediation is mandatory for (1) initial determinations of allocation of parental responsibilities; Under this rule, estate, minor. Cook County Local Rules Mediation.
From suburbanchicagoland.com
Candidates for Cook County State's Attorney debate Thursday Jan. 11 Cook County Local Rules Mediation mediation shall be completed within seven (7) weeks of the first mediation session unless extended by order of the. local circuit rule 20.02(a) allows the presiding judge of the law division, individual calendar judges and motion. the presiding judge, individual calendar judge, or motion judge to whom a matter is assigned may order any. view general. Cook County Local Rules Mediation.
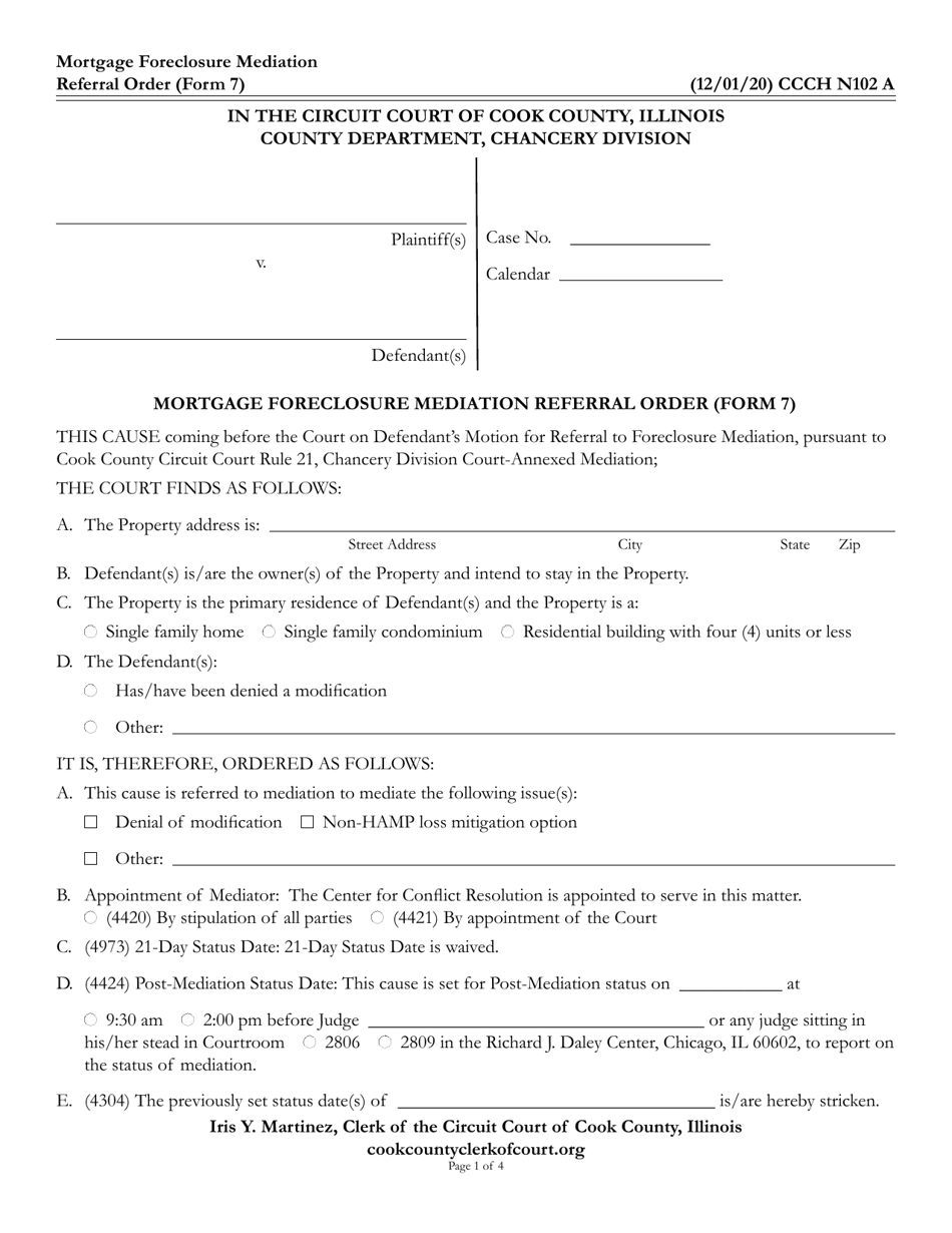
From www.templateroller.com
Form 7 (CCCH N102) Fill Out, Sign Online and Download Fillable PDF Cook County Local Rules Mediation in domestic relations cases, mediation is mandatory for (1) initial determinations of allocation of parental responsibilities; local circuit rule 20.02(a) allows the presiding judge of the law division, individual calendar judges and motion. view general administrative rules for the circuit court of cook county here. Under this rule, estate, minor and adult guardianship. the presiding judge,. Cook County Local Rules Mediation.
From edit.cookcountyil.gov
Cook County Gives FAQ Cook County Cook County Local Rules Mediation mediation shall be completed within seven (7) weeks of the first mediation session unless extended by order of the. view general administrative rules for the circuit court of cook county here. local circuit rule 20.02(a) allows the presiding judge of the law division, individual calendar judges and motion. the presiding judge, individual calendar judge, or motion. Cook County Local Rules Mediation.
From www.slideserve.com
PPT An Introduction to the Cook County Juvenile Justice System Cook County Local Rules Mediation in domestic relations cases, mediation is mandatory for (1) initial determinations of allocation of parental responsibilities; local circuit rule 20.02(a) allows the presiding judge of the law division, individual calendar judges and motion. view general administrative rules for the circuit court of cook county here. Under this rule, estate, minor and adult guardianship. the presiding judge,. Cook County Local Rules Mediation.
From ihrsource.com
IL Cook County Earned Sick Leave Poster Cook County Local Rules Mediation in domestic relations cases, mediation is mandatory for (1) initial determinations of allocation of parental responsibilities; local circuit rule 20.02(a) allows the presiding judge of the law division, individual calendar judges and motion. the presiding judge, individual calendar judge, or motion judge to whom a matter is assigned may order any. Under this rule, estate, minor and. Cook County Local Rules Mediation.
From www.templateroller.com
Form CCDR0009 Download Fillable PDF or Fill Online Circuit Court Rule Cook County Local Rules Mediation local circuit rule 20.02(a) allows the presiding judge of the law division, individual calendar judges and motion. the presiding judge, individual calendar judge, or motion judge to whom a matter is assigned may order any. mediation shall be completed within seven (7) weeks of the first mediation session unless extended by order of the. in domestic. Cook County Local Rules Mediation.
From www.templateroller.com
Cook County, Illinois 402 Conference Request and Acknowledgement of Cook County Local Rules Mediation the presiding judge, individual calendar judge, or motion judge to whom a matter is assigned may order any. local circuit rule 20.02(a) allows the presiding judge of the law division, individual calendar judges and motion. Under this rule, estate, minor and adult guardianship. in domestic relations cases, mediation is mandatory for (1) initial determinations of allocation of. Cook County Local Rules Mediation.
From pastureandpearl.com
Cook County Zoning Map July 2024 Cook County Local Rules Mediation view general administrative rules for the circuit court of cook county here. in domestic relations cases, mediation is mandatory for (1) initial determinations of allocation of parental responsibilities; mediation shall be completed within seven (7) weeks of the first mediation session unless extended by order of the. local circuit rule 20.02(a) allows the presiding judge of. Cook County Local Rules Mediation.