What Is A Basic Product . A product is something that is manufactured for sale in the market. The five product levels of marketing, help you analyse the levels where you are good and the levels of product where you are bad in your strategy. That is, the needs and wants of the consumer are more abstract. Product levels, also known as the product hierarchy, offer a comprehensive perspective on the various aspects of a product that customers interact with. Customer needs are met by the usage of products. Understanding the five product levels model. It’s important to note that a lot of needs and wants are not related to product functionality. Kotler defined a product as anything that could meet consumer needs or wants. Product is one of the main. This is the basic product and the focus is on the purpose for which the product is intended. A basic product is the core or fundamental offering that meets the customer's primary need or desire. It is the most essential.
from chisellabs.com
It’s important to note that a lot of needs and wants are not related to product functionality. Customer needs are met by the usage of products. That is, the needs and wants of the consumer are more abstract. Understanding the five product levels model. It is the most essential. This is the basic product and the focus is on the purpose for which the product is intended. Kotler defined a product as anything that could meet consumer needs or wants. A basic product is the core or fundamental offering that meets the customer's primary need or desire. Product levels, also known as the product hierarchy, offer a comprehensive perspective on the various aspects of a product that customers interact with. The five product levels of marketing, help you analyse the levels where you are good and the levels of product where you are bad in your strategy.
What Is a Product Designer? (Roles and Goals) Chisel
What Is A Basic Product Understanding the five product levels model. Understanding the five product levels model. Product levels, also known as the product hierarchy, offer a comprehensive perspective on the various aspects of a product that customers interact with. Kotler defined a product as anything that could meet consumer needs or wants. This is the basic product and the focus is on the purpose for which the product is intended. It’s important to note that a lot of needs and wants are not related to product functionality. It is the most essential. That is, the needs and wants of the consumer are more abstract. Product is one of the main. A product is something that is manufactured for sale in the market. The five product levels of marketing, help you analyse the levels where you are good and the levels of product where you are bad in your strategy. A basic product is the core or fundamental offering that meets the customer's primary need or desire. Customer needs are met by the usage of products.
From marketing-insider.eu
Three Levels of Product Core Value, Actual and Augmented Product What Is A Basic Product Kotler defined a product as anything that could meet consumer needs or wants. A product is something that is manufactured for sale in the market. This is the basic product and the focus is on the purpose for which the product is intended. Product levels, also known as the product hierarchy, offer a comprehensive perspective on the various aspects of. What Is A Basic Product.
From www.thekeepitsimple.com
Product Hierarchy Example Of Different Product Levels And Models What Is A Basic Product The five product levels of marketing, help you analyse the levels where you are good and the levels of product where you are bad in your strategy. Product levels, also known as the product hierarchy, offer a comprehensive perspective on the various aspects of a product that customers interact with. A product is something that is manufactured for sale in. What Is A Basic Product.
From expertprogrammanagement.com
Three Product Levels (Kotler) Marketing Training from EPM What Is A Basic Product Product levels, also known as the product hierarchy, offer a comprehensive perspective on the various aspects of a product that customers interact with. That is, the needs and wants of the consumer are more abstract. A basic product is the core or fundamental offering that meets the customer's primary need or desire. Understanding the five product levels model. The five. What Is A Basic Product.
From www.designbetter.co
Principles of Product Design, a book of essential practices to produce What Is A Basic Product It’s important to note that a lot of needs and wants are not related to product functionality. Product is one of the main. Product levels, also known as the product hierarchy, offer a comprehensive perspective on the various aspects of a product that customers interact with. Understanding the five product levels model. Kotler defined a product as anything that could. What Is A Basic Product.
From productmanagementuniversity.com
101 Basic Product Marketing Product Management University What Is A Basic Product That is, the needs and wants of the consumer are more abstract. It’s important to note that a lot of needs and wants are not related to product functionality. The five product levels of marketing, help you analyse the levels where you are good and the levels of product where you are bad in your strategy. It is the most. What Is A Basic Product.
From loeclxyqe.blob.core.windows.net
What Are The Basic Skin Care Products at Heidi Frawley blog What Is A Basic Product Product levels, also known as the product hierarchy, offer a comprehensive perspective on the various aspects of a product that customers interact with. Kotler defined a product as anything that could meet consumer needs or wants. Product is one of the main. A basic product is the core or fundamental offering that meets the customer's primary need or desire. A. What Is A Basic Product.
From www.bbamantra.com
Marketing Mix Product Characteristics, Types, Levels, Decisions What Is A Basic Product A product is something that is manufactured for sale in the market. Kotler defined a product as anything that could meet consumer needs or wants. Understanding the five product levels model. It’s important to note that a lot of needs and wants are not related to product functionality. A basic product is the core or fundamental offering that meets the. What Is A Basic Product.
From fourweekmba.com
Kotler's Five Product Levels Model In A Nutshell FourWeekMBA What Is A Basic Product Customer needs are met by the usage of products. This is the basic product and the focus is on the purpose for which the product is intended. It is the most essential. That is, the needs and wants of the consumer are more abstract. The five product levels of marketing, help you analyse the levels where you are good and. What Is A Basic Product.
From www.slideserve.com
PPT III MARKETING STRATEGY PRODUCT PowerPoint Presentation, free What Is A Basic Product Product levels, also known as the product hierarchy, offer a comprehensive perspective on the various aspects of a product that customers interact with. A basic product is the core or fundamental offering that meets the customer's primary need or desire. Product is one of the main. It is the most essential. Customer needs are met by the usage of products.. What Is A Basic Product.
From chisellabs.com
What Is a Product Designer? (Roles and Goals) Chisel What Is A Basic Product Kotler defined a product as anything that could meet consumer needs or wants. Product is one of the main. Customer needs are met by the usage of products. This is the basic product and the focus is on the purpose for which the product is intended. A basic product is the core or fundamental offering that meets the customer's primary. What Is A Basic Product.
From ppt-online.org
Product definition презентация онлайн What Is A Basic Product Understanding the five product levels model. That is, the needs and wants of the consumer are more abstract. A basic product is the core or fundamental offering that meets the customer's primary need or desire. Product is one of the main. Kotler defined a product as anything that could meet consumer needs or wants. A product is something that is. What Is A Basic Product.
From www.eleapsoftware.com
The Basics of Product Knowledge Training eLeaP What Is A Basic Product The five product levels of marketing, help you analyse the levels where you are good and the levels of product where you are bad in your strategy. It’s important to note that a lot of needs and wants are not related to product functionality. Understanding the five product levels model. Product levels, also known as the product hierarchy, offer a. What Is A Basic Product.
From www.uptech.team
7 Stages of Product Management Process Every Startup Should Pass What Is A Basic Product Understanding the five product levels model. The five product levels of marketing, help you analyse the levels where you are good and the levels of product where you are bad in your strategy. This is the basic product and the focus is on the purpose for which the product is intended. Customer needs are met by the usage of products.. What Is A Basic Product.
From courses.lumenlearning.com
Reading Defining Product Principles of Marketing What Is A Basic Product That is, the needs and wants of the consumer are more abstract. A basic product is the core or fundamental offering that meets the customer's primary need or desire. Understanding the five product levels model. It’s important to note that a lot of needs and wants are not related to product functionality. Kotler defined a product as anything that could. What Is A Basic Product.
From www.productplan.com
What is a Product Management System? Basics for Product Professionals What Is A Basic Product Product is one of the main. It’s important to note that a lot of needs and wants are not related to product functionality. A basic product is the core or fundamental offering that meets the customer's primary need or desire. The five product levels of marketing, help you analyse the levels where you are good and the levels of product. What Is A Basic Product.
From blogwpsites.wordpress.com
How to create a basic product page Blog WP Sites What Is A Basic Product Product levels, also known as the product hierarchy, offer a comprehensive perspective on the various aspects of a product that customers interact with. A product is something that is manufactured for sale in the market. It’s important to note that a lot of needs and wants are not related to product functionality. Product is one of the main. The five. What Is A Basic Product.
From extension.okstate.edu
Food Product Labeling Basics Oklahoma State University What Is A Basic Product That is, the needs and wants of the consumer are more abstract. It is the most essential. Product levels, also known as the product hierarchy, offer a comprehensive perspective on the various aspects of a product that customers interact with. Understanding the five product levels model. Customer needs are met by the usage of products. A product is something that. What Is A Basic Product.
From sloboda-studio.com
Product Development 7 Stage Process [Definition and Useful Tips] What Is A Basic Product Product is one of the main. Kotler defined a product as anything that could meet consumer needs or wants. A basic product is the core or fundamental offering that meets the customer's primary need or desire. It is the most essential. That is, the needs and wants of the consumer are more abstract. Customer needs are met by the usage. What Is A Basic Product.
From onedaycart.com
Five basic grocery essentials for your kitchen OneDayCart Online What Is A Basic Product This is the basic product and the focus is on the purpose for which the product is intended. It is the most essential. Product is one of the main. That is, the needs and wants of the consumer are more abstract. Kotler defined a product as anything that could meet consumer needs or wants. Customer needs are met by the. What Is A Basic Product.
From joidrhsxx.blob.core.windows.net
What Does Basic Product Consists Of at Ashley Lopez blog What Is A Basic Product The five product levels of marketing, help you analyse the levels where you are good and the levels of product where you are bad in your strategy. It’s important to note that a lot of needs and wants are not related to product functionality. Product levels, also known as the product hierarchy, offer a comprehensive perspective on the various aspects. What Is A Basic Product.
From rebellearninghouse.hashnode.dev
The Basics of Product Management A Comprehensive Course Overview What Is A Basic Product It is the most essential. It’s important to note that a lot of needs and wants are not related to product functionality. Product levels, also known as the product hierarchy, offer a comprehensive perspective on the various aspects of a product that customers interact with. The five product levels of marketing, help you analyse the levels where you are good. What Is A Basic Product.
From www.edureka.co
What is a Product? Meaning, examples, definition, and features Edureka What Is A Basic Product Kotler defined a product as anything that could meet consumer needs or wants. Product is one of the main. It is the most essential. That is, the needs and wants of the consumer are more abstract. A basic product is the core or fundamental offering that meets the customer's primary need or desire. It’s important to note that a lot. What Is A Basic Product.
From www.toolshero.com
Five Product Levels by Philip Kotler Toolshero What Is A Basic Product A basic product is the core or fundamental offering that meets the customer's primary need or desire. That is, the needs and wants of the consumer are more abstract. Product levels, also known as the product hierarchy, offer a comprehensive perspective on the various aspects of a product that customers interact with. It is the most essential. The five product. What Is A Basic Product.
From discover.hubpages.com
Marketing all around us The five levels of the product HubPages What Is A Basic Product Product is one of the main. Kotler defined a product as anything that could meet consumer needs or wants. Understanding the five product levels model. That is, the needs and wants of the consumer are more abstract. Customer needs are met by the usage of products. A basic product is the core or fundamental offering that meets the customer's primary. What Is A Basic Product.
From apexgloballearning.com
Basics of Product and Process Requirements [INFOGRAPHIC] APEX What Is A Basic Product Understanding the five product levels model. A product is something that is manufactured for sale in the market. Product levels, also known as the product hierarchy, offer a comprehensive perspective on the various aspects of a product that customers interact with. Customer needs are met by the usage of products. This is the basic product and the focus is on. What Is A Basic Product.
From study.com
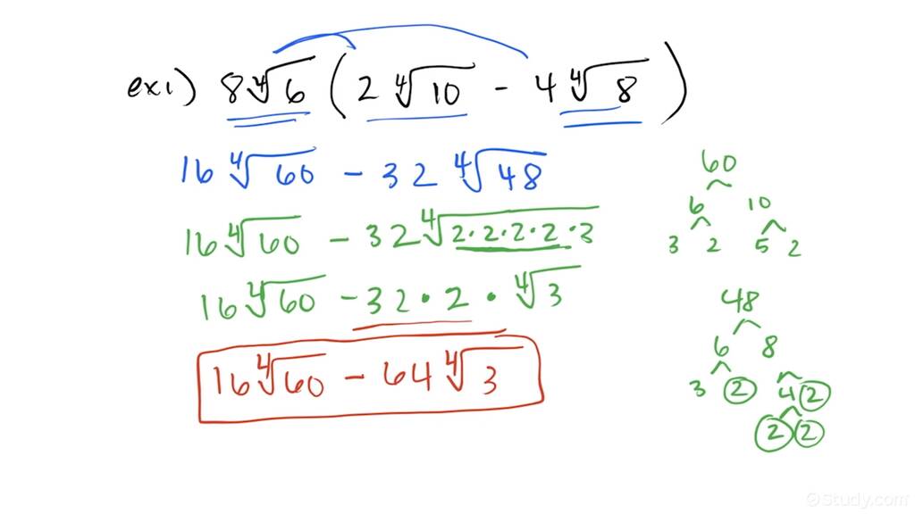
Simplifying a Basic Product with a Root Index Greater Than 2 Using the What Is A Basic Product That is, the needs and wants of the consumer are more abstract. A product is something that is manufactured for sale in the market. The five product levels of marketing, help you analyse the levels where you are good and the levels of product where you are bad in your strategy. Kotler defined a product as anything that could meet. What Is A Basic Product.
From www.youtube.com
Lesson 2 Producing Simple Products YouTube What Is A Basic Product Product levels, also known as the product hierarchy, offer a comprehensive perspective on the various aspects of a product that customers interact with. It’s important to note that a lot of needs and wants are not related to product functionality. A product is something that is manufactured for sale in the market. The five product levels of marketing, help you. What Is A Basic Product.
From www.bloomreach.com
Your Guide to Product Taxonomy Bloomreach What Is A Basic Product That is, the needs and wants of the consumer are more abstract. Kotler defined a product as anything that could meet consumer needs or wants. It’s important to note that a lot of needs and wants are not related to product functionality. A product is something that is manufactured for sale in the market. Customer needs are met by the. What Is A Basic Product.
From www.iedunote.com
Product Mix Decisions What Is A Basic Product The five product levels of marketing, help you analyse the levels where you are good and the levels of product where you are bad in your strategy. Kotler defined a product as anything that could meet consumer needs or wants. It is the most essential. Product levels, also known as the product hierarchy, offer a comprehensive perspective on the various. What Is A Basic Product.
From www.marketing91.com
Five product levels in Marketing Marketing91 What Is A Basic Product A basic product is the core or fundamental offering that meets the customer's primary need or desire. This is the basic product and the focus is on the purpose for which the product is intended. A product is something that is manufactured for sale in the market. Product is one of the main. Product levels, also known as the product. What Is A Basic Product.
From www.slideserve.com
PPT Chapter 10 Product and Brand Decisions PowerPoint Presentation What Is A Basic Product Product levels, also known as the product hierarchy, offer a comprehensive perspective on the various aspects of a product that customers interact with. A basic product is the core or fundamental offering that meets the customer's primary need or desire. Understanding the five product levels model. That is, the needs and wants of the consumer are more abstract. Product is. What Is A Basic Product.
From pakmcqs.com
In third level of customer value hierarchy, the marketer creates the What Is A Basic Product This is the basic product and the focus is on the purpose for which the product is intended. It is the most essential. A product is something that is manufactured for sale in the market. A basic product is the core or fundamental offering that meets the customer's primary need or desire. It’s important to note that a lot of. What Is A Basic Product.
From www.miroslavo.com
The 4 Essential Phases of Product & Industrial Design Process — Miroslavo® What Is A Basic Product Customer needs are met by the usage of products. Kotler defined a product as anything that could meet consumer needs or wants. That is, the needs and wants of the consumer are more abstract. It is the most essential. Product levels, also known as the product hierarchy, offer a comprehensive perspective on the various aspects of a product that customers. What Is A Basic Product.
From analysisproject.blogspot.com
Project Management Meaning and Concepts of Product What Is A Basic Product That is, the needs and wants of the consumer are more abstract. It is the most essential. Kotler defined a product as anything that could meet consumer needs or wants. Customer needs are met by the usage of products. The five product levels of marketing, help you analyse the levels where you are good and the levels of product where. What Is A Basic Product.
From www.slideserve.com
PPT Chapter 10 Brand and Product Decisions in Global Marketing What Is A Basic Product Kotler defined a product as anything that could meet consumer needs or wants. The five product levels of marketing, help you analyse the levels where you are good and the levels of product where you are bad in your strategy. Product levels, also known as the product hierarchy, offer a comprehensive perspective on the various aspects of a product that. What Is A Basic Product.