How Many 132 Resistors In Parallel Are Required . Use ohms law to relate resistance, current and voltage. This resistor calculator converts the ohm value and tolerance based on resistor color codes and determines the resistances of resistors in parallel or series. Calculate the total resistance of a circuit for a set of resistors connected in parallel. Knowing how the parallel resistors arrangement. The calculator automatically gives you the required missing resistor after each input. Current = i = 5 a potential difference = v = 220 v resistance of each resistor = r = 132 ω we need to equivalent resistance such that current of 5 a flows when potential. We bring you an easy to use calculator to calculate the equivalent resistance value parallel resistors, this. In national 5 physics calculate the resistance for combinations of resistors in series and parallel. Simply input how many resistors you have in parallel and the resistance value of each in. See the formula for the calculation with examples. Calculate the equivalent resistance of up to six resistors in parallel with ease while learning how to calculate resistance in parallel and the parallel resistance formula. Last updated on april 7, 2024. This calculator will let you calculator the total resistance of a parallel resistor circuit.
from philschatz.com
The calculator automatically gives you the required missing resistor after each input. Simply input how many resistors you have in parallel and the resistance value of each in. Calculate the equivalent resistance of up to six resistors in parallel with ease while learning how to calculate resistance in parallel and the parallel resistance formula. Last updated on april 7, 2024. This resistor calculator converts the ohm value and tolerance based on resistor color codes and determines the resistances of resistors in parallel or series. Use ohms law to relate resistance, current and voltage. We bring you an easy to use calculator to calculate the equivalent resistance value parallel resistors, this. See the formula for the calculation with examples. This calculator will let you calculator the total resistance of a parallel resistor circuit. In national 5 physics calculate the resistance for combinations of resistors in series and parallel.
Resistors in Series and Parallel · Physics
How Many 132 Resistors In Parallel Are Required Simply input how many resistors you have in parallel and the resistance value of each in. This calculator will let you calculator the total resistance of a parallel resistor circuit. Calculate the equivalent resistance of up to six resistors in parallel with ease while learning how to calculate resistance in parallel and the parallel resistance formula. See the formula for the calculation with examples. The calculator automatically gives you the required missing resistor after each input. Last updated on april 7, 2024. Current = i = 5 a potential difference = v = 220 v resistance of each resistor = r = 132 ω we need to equivalent resistance such that current of 5 a flows when potential. Calculate the total resistance of a circuit for a set of resistors connected in parallel. Simply input how many resistors you have in parallel and the resistance value of each in. Use ohms law to relate resistance, current and voltage. In national 5 physics calculate the resistance for combinations of resistors in series and parallel. We bring you an easy to use calculator to calculate the equivalent resistance value parallel resistors, this. Knowing how the parallel resistors arrangement. This resistor calculator converts the ohm value and tolerance based on resistor color codes and determines the resistances of resistors in parallel or series.
From physics-software.com
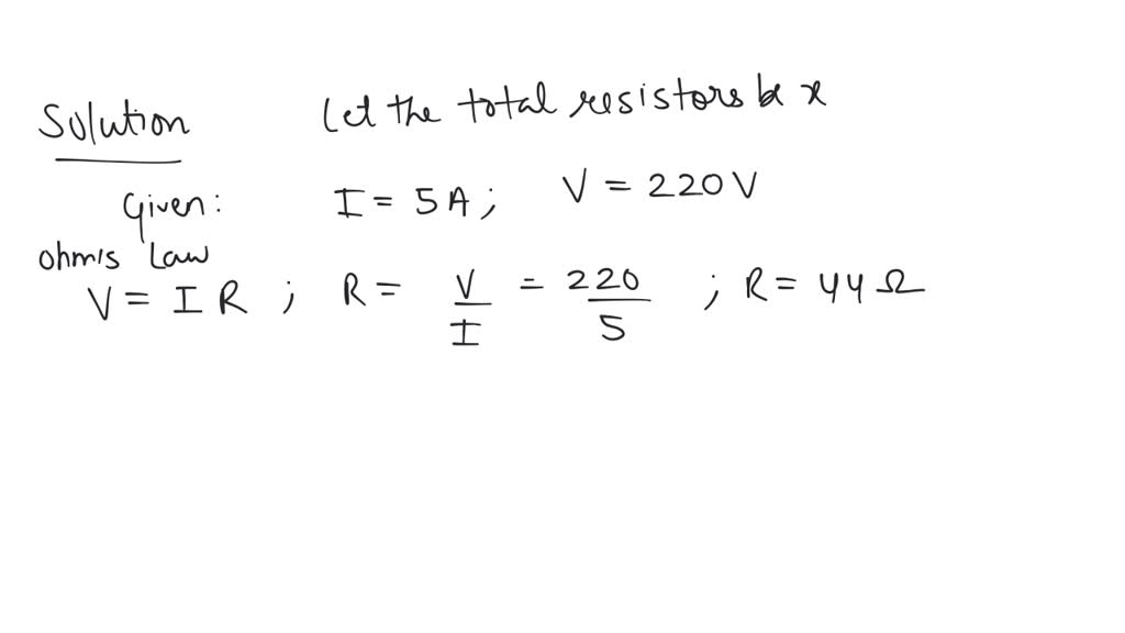
Resistors in parallel Physics Software How Many 132 Resistors In Parallel Are Required Last updated on april 7, 2024. We bring you an easy to use calculator to calculate the equivalent resistance value parallel resistors, this. This resistor calculator converts the ohm value and tolerance based on resistor color codes and determines the resistances of resistors in parallel or series. Current = i = 5 a potential difference = v = 220 v. How Many 132 Resistors In Parallel Are Required.
From izabellices.blogspot.com
Resistors In Parallel And In Series How Many 132 Resistors In Parallel Are Required This calculator will let you calculator the total resistance of a parallel resistor circuit. This resistor calculator converts the ohm value and tolerance based on resistor color codes and determines the resistances of resistors in parallel or series. The calculator automatically gives you the required missing resistor after each input. In national 5 physics calculate the resistance for combinations of. How Many 132 Resistors In Parallel Are Required.
From brainly.in
How many 132 ohm resistors in parallel are required to carry 5 ampere How Many 132 Resistors In Parallel Are Required Use ohms law to relate resistance, current and voltage. Current = i = 5 a potential difference = v = 220 v resistance of each resistor = r = 132 ω we need to equivalent resistance such that current of 5 a flows when potential. In national 5 physics calculate the resistance for combinations of resistors in series and parallel.. How Many 132 Resistors In Parallel Are Required.
From electricalacademia.com
Resistors in Series and Parallel Resistor Combinations Examples How Many 132 Resistors In Parallel Are Required Last updated on april 7, 2024. Calculate the equivalent resistance of up to six resistors in parallel with ease while learning how to calculate resistance in parallel and the parallel resistance formula. Use ohms law to relate resistance, current and voltage. The calculator automatically gives you the required missing resistor after each input. Simply input how many resistors you have. How Many 132 Resistors In Parallel Are Required.
From www.compadre.org
Example Resistors in parallel Nexus Wiki How Many 132 Resistors In Parallel Are Required Current = i = 5 a potential difference = v = 220 v resistance of each resistor = r = 132 ω we need to equivalent resistance such that current of 5 a flows when potential. Knowing how the parallel resistors arrangement. See the formula for the calculation with examples. We bring you an easy to use calculator to calculate. How Many 132 Resistors In Parallel Are Required.
From www.numerade.com
SOLVED How many 176 9 resistors (in parallel) are required to carry 5 How Many 132 Resistors In Parallel Are Required Use ohms law to relate resistance, current and voltage. We bring you an easy to use calculator to calculate the equivalent resistance value parallel resistors, this. Calculate the equivalent resistance of up to six resistors in parallel with ease while learning how to calculate resistance in parallel and the parallel resistance formula. This resistor calculator converts the ohm value and. How Many 132 Resistors In Parallel Are Required.
From www.teachoo.com
Resistance in Parallel Diagram, Formula and Numericals Teachoo How Many 132 Resistors In Parallel Are Required Current = i = 5 a potential difference = v = 220 v resistance of each resistor = r = 132 ω we need to equivalent resistance such that current of 5 a flows when potential. Calculate the total resistance of a circuit for a set of resistors connected in parallel. The calculator automatically gives you the required missing resistor. How Many 132 Resistors In Parallel Are Required.
From www.numerade.com
SOLVEDHow many 176 \Omega resistors (in parallel) are required to How Many 132 Resistors In Parallel Are Required Knowing how the parallel resistors arrangement. This resistor calculator converts the ohm value and tolerance based on resistor color codes and determines the resistances of resistors in parallel or series. Calculate the total resistance of a circuit for a set of resistors connected in parallel. See the formula for the calculation with examples. Use ohms law to relate resistance, current. How Many 132 Resistors In Parallel Are Required.
From www.clarvis.co.uk
Resistor Series and Parallel How Many 132 Resistors In Parallel Are Required In national 5 physics calculate the resistance for combinations of resistors in series and parallel. See the formula for the calculation with examples. Calculate the total resistance of a circuit for a set of resistors connected in parallel. We bring you an easy to use calculator to calculate the equivalent resistance value parallel resistors, this. The calculator automatically gives you. How Many 132 Resistors In Parallel Are Required.
From www.khadley.com
Resistors in series and parallel How Many 132 Resistors In Parallel Are Required Last updated on april 7, 2024. The calculator automatically gives you the required missing resistor after each input. Knowing how the parallel resistors arrangement. We bring you an easy to use calculator to calculate the equivalent resistance value parallel resistors, this. Current = i = 5 a potential difference = v = 220 v resistance of each resistor = r. How Many 132 Resistors In Parallel Are Required.
From www.teachoo.com
How many 132 Ω resistors in parallel are required to carry 5 A on 220 How Many 132 Resistors In Parallel Are Required Use ohms law to relate resistance, current and voltage. We bring you an easy to use calculator to calculate the equivalent resistance value parallel resistors, this. In national 5 physics calculate the resistance for combinations of resistors in series and parallel. This resistor calculator converts the ohm value and tolerance based on resistor color codes and determines the resistances of. How Many 132 Resistors In Parallel Are Required.
From learn.sparkfun.com
Series and Parallel Circuits SparkFun Learn How Many 132 Resistors In Parallel Are Required See the formula for the calculation with examples. Last updated on april 7, 2024. Simply input how many resistors you have in parallel and the resistance value of each in. Calculate the equivalent resistance of up to six resistors in parallel with ease while learning how to calculate resistance in parallel and the parallel resistance formula. Calculate the total resistance. How Many 132 Resistors In Parallel Are Required.
From www.wikihow.com
Formulas for Calculating Series and Parallel Resistance How Many 132 Resistors In Parallel Are Required Calculate the equivalent resistance of up to six resistors in parallel with ease while learning how to calculate resistance in parallel and the parallel resistance formula. This calculator will let you calculator the total resistance of a parallel resistor circuit. Current = i = 5 a potential difference = v = 220 v resistance of each resistor = r =. How Many 132 Resistors In Parallel Are Required.
From www.circuitdiagram.co
Circuit Diagram Of Resistors In Series And Parallel Circuit Diagram How Many 132 Resistors In Parallel Are Required This resistor calculator converts the ohm value and tolerance based on resistor color codes and determines the resistances of resistors in parallel or series. This calculator will let you calculator the total resistance of a parallel resistor circuit. Calculate the equivalent resistance of up to six resistors in parallel with ease while learning how to calculate resistance in parallel and. How Many 132 Resistors In Parallel Are Required.
From www.teachoo.com
How many 132 Ω resistors in parallel are required to carry 5 A on 220 How Many 132 Resistors In Parallel Are Required We bring you an easy to use calculator to calculate the equivalent resistance value parallel resistors, this. Simply input how many resistors you have in parallel and the resistance value of each in. This resistor calculator converts the ohm value and tolerance based on resistor color codes and determines the resistances of resistors in parallel or series. The calculator automatically. How Many 132 Resistors In Parallel Are Required.
From www.grc.nasa.gov
Resistors in Parallel How Many 132 Resistors In Parallel Are Required Current = i = 5 a potential difference = v = 220 v resistance of each resistor = r = 132 ω we need to equivalent resistance such that current of 5 a flows when potential. This calculator will let you calculator the total resistance of a parallel resistor circuit. We bring you an easy to use calculator to calculate. How Many 132 Resistors In Parallel Are Required.
From www.youtube.com
Resistors In Parallel The Easy Way! YouTube How Many 132 Resistors In Parallel Are Required This calculator will let you calculator the total resistance of a parallel resistor circuit. We bring you an easy to use calculator to calculate the equivalent resistance value parallel resistors, this. This resistor calculator converts the ohm value and tolerance based on resistor color codes and determines the resistances of resistors in parallel or series. Calculate the total resistance of. How Many 132 Resistors In Parallel Are Required.
From philschatz.com
Resistors in Series and Parallel · Physics How Many 132 Resistors In Parallel Are Required The calculator automatically gives you the required missing resistor after each input. Last updated on april 7, 2024. We bring you an easy to use calculator to calculate the equivalent resistance value parallel resistors, this. Calculate the equivalent resistance of up to six resistors in parallel with ease while learning how to calculate resistance in parallel and the parallel resistance. How Many 132 Resistors In Parallel Are Required.
From owlcation.com
Resistors in Series and Parallel Formula Derivation Owlcation How Many 132 Resistors In Parallel Are Required Calculate the total resistance of a circuit for a set of resistors connected in parallel. Knowing how the parallel resistors arrangement. Last updated on april 7, 2024. Simply input how many resistors you have in parallel and the resistance value of each in. The calculator automatically gives you the required missing resistor after each input. In national 5 physics calculate. How Many 132 Resistors In Parallel Are Required.
From www.flux.ai
Parallel and Series Resistor Calculator How Many 132 Resistors In Parallel Are Required See the formula for the calculation with examples. Last updated on april 7, 2024. In national 5 physics calculate the resistance for combinations of resistors in series and parallel. Simply input how many resistors you have in parallel and the resistance value of each in. This resistor calculator converts the ohm value and tolerance based on resistor color codes and. How Many 132 Resistors In Parallel Are Required.
From www.youtube.com
How many 132 ohm resistors in parallel are required to carry 5 A on a How Many 132 Resistors In Parallel Are Required Knowing how the parallel resistors arrangement. Calculate the total resistance of a circuit for a set of resistors connected in parallel. Simply input how many resistors you have in parallel and the resistance value of each in. We bring you an easy to use calculator to calculate the equivalent resistance value parallel resistors, this. In national 5 physics calculate the. How Many 132 Resistors In Parallel Are Required.
From www.youtube.com
Calculating resistance in parallel YouTube How Many 132 Resistors In Parallel Are Required See the formula for the calculation with examples. This calculator will let you calculator the total resistance of a parallel resistor circuit. Last updated on april 7, 2024. The calculator automatically gives you the required missing resistor after each input. Knowing how the parallel resistors arrangement. This resistor calculator converts the ohm value and tolerance based on resistor color codes. How Many 132 Resistors In Parallel Are Required.
From calculatorhub.app
Parallel Resistor Calculator Calculator Hub How Many 132 Resistors In Parallel Are Required We bring you an easy to use calculator to calculate the equivalent resistance value parallel resistors, this. Simply input how many resistors you have in parallel and the resistance value of each in. Calculate the total resistance of a circuit for a set of resistors connected in parallel. Use ohms law to relate resistance, current and voltage. This resistor calculator. How Many 132 Resistors In Parallel Are Required.
From www.youtube.com
How many 176 Ω resistors (in parallel) are required to carry 5 A on a How Many 132 Resistors In Parallel Are Required Calculate the total resistance of a circuit for a set of resistors connected in parallel. Simply input how many resistors you have in parallel and the resistance value of each in. This calculator will let you calculator the total resistance of a parallel resistor circuit. In national 5 physics calculate the resistance for combinations of resistors in series and parallel.. How Many 132 Resistors In Parallel Are Required.
From www.flux.ai
Parallel and Series Resistor Calculator How Many 132 Resistors In Parallel Are Required This resistor calculator converts the ohm value and tolerance based on resistor color codes and determines the resistances of resistors in parallel or series. We bring you an easy to use calculator to calculate the equivalent resistance value parallel resistors, this. This calculator will let you calculator the total resistance of a parallel resistor circuit. Current = i = 5. How Many 132 Resistors In Parallel Are Required.
From solderingmind.com
Parallel Resistor Calculator How Many 132 Resistors In Parallel Are Required Current = i = 5 a potential difference = v = 220 v resistance of each resistor = r = 132 ω we need to equivalent resistance such that current of 5 a flows when potential. See the formula for the calculation with examples. Last updated on april 7, 2024. Simply input how many resistors you have in parallel and. How Many 132 Resistors In Parallel Are Required.
From rilotm.weebly.com
Parallel resistors rilotm How Many 132 Resistors In Parallel Are Required In national 5 physics calculate the resistance for combinations of resistors in series and parallel. Last updated on april 7, 2024. Knowing how the parallel resistors arrangement. This resistor calculator converts the ohm value and tolerance based on resistor color codes and determines the resistances of resistors in parallel or series. Calculate the equivalent resistance of up to six resistors. How Many 132 Resistors In Parallel Are Required.
From www.physicsbootcamp.org
Resistors in Parallel How Many 132 Resistors In Parallel Are Required This resistor calculator converts the ohm value and tolerance based on resistor color codes and determines the resistances of resistors in parallel or series. Calculate the total resistance of a circuit for a set of resistors connected in parallel. Use ohms law to relate resistance, current and voltage. Simply input how many resistors you have in parallel and the resistance. How Many 132 Resistors In Parallel Are Required.
From www.electricalengineering.xyz
Resistors in Parallel [Formula with Solved Examples] How Many 132 Resistors In Parallel Are Required See the formula for the calculation with examples. Simply input how many resistors you have in parallel and the resistance value of each in. This calculator will let you calculator the total resistance of a parallel resistor circuit. Use ohms law to relate resistance, current and voltage. This resistor calculator converts the ohm value and tolerance based on resistor color. How Many 132 Resistors In Parallel Are Required.
From www.allaboutcircuits.com
Resistance in Parallel Networks Technical Articles How Many 132 Resistors In Parallel Are Required This calculator will let you calculator the total resistance of a parallel resistor circuit. Simply input how many resistors you have in parallel and the resistance value of each in. Current = i = 5 a potential difference = v = 220 v resistance of each resistor = r = 132 ω we need to equivalent resistance such that current. How Many 132 Resistors In Parallel Are Required.
From electricalacademia.com
Parallel Circuit Definition Parallel Circuit Examples Electrical How Many 132 Resistors In Parallel Are Required Last updated on april 7, 2024. Knowing how the parallel resistors arrangement. In national 5 physics calculate the resistance for combinations of resistors in series and parallel. This calculator will let you calculator the total resistance of a parallel resistor circuit. Current = i = 5 a potential difference = v = 220 v resistance of each resistor = r. How Many 132 Resistors In Parallel Are Required.
From www.youtube.com
How many 176 Ω resistors in parallel are required to carry 5 A on a 220 How Many 132 Resistors In Parallel Are Required This calculator will let you calculator the total resistance of a parallel resistor circuit. Calculate the equivalent resistance of up to six resistors in parallel with ease while learning how to calculate resistance in parallel and the parallel resistance formula. Last updated on april 7, 2024. In national 5 physics calculate the resistance for combinations of resistors in series and. How Many 132 Resistors In Parallel Are Required.
From byjus.com
How many 176 Ω resistors in parallel are required to carry total 5 A How Many 132 Resistors In Parallel Are Required Calculate the total resistance of a circuit for a set of resistors connected in parallel. Calculate the equivalent resistance of up to six resistors in parallel with ease while learning how to calculate resistance in parallel and the parallel resistance formula. Use ohms law to relate resistance, current and voltage. Last updated on april 7, 2024. Knowing how the parallel. How Many 132 Resistors In Parallel Are Required.
From apkqbdtqdol.blogspot.com
How To Wire Resistors In Parallel On A Breadboard How Many 132 Resistors In Parallel Are Required This calculator will let you calculator the total resistance of a parallel resistor circuit. Calculate the equivalent resistance of up to six resistors in parallel with ease while learning how to calculate resistance in parallel and the parallel resistance formula. Use ohms law to relate resistance, current and voltage. See the formula for the calculation with examples. This resistor calculator. How Many 132 Resistors In Parallel Are Required.
From www.youtube.com
How Current Division Works (Parallel Resistors) YouTube How Many 132 Resistors In Parallel Are Required The calculator automatically gives you the required missing resistor after each input. Simply input how many resistors you have in parallel and the resistance value of each in. Last updated on april 7, 2024. Use ohms law to relate resistance, current and voltage. We bring you an easy to use calculator to calculate the equivalent resistance value parallel resistors, this.. How Many 132 Resistors In Parallel Are Required.