Practice Chi Square Problems . A zookeeper hypothesizes that changing the. Learn how to use the chi square formula and table and see chi square practice problems. You must use statistics to support your answers. For each problem, use a solution sheet to solve the hypothesis test problem. You research two groups and put them in categories of single, married or divorced: A χ2 test with 3 degrees of freedom has significance level.10. For each of the following problems, identify the test that should be done, then write the hypotheses, conduct the test to find chi square. Solve all problems using a chi square analysis. Conduct a chi square test to determine if the math sat scores are normally distributed based on these expected and. Learn what the term in statistics chi square is.
from www.studocu.com
Learn what the term in statistics chi square is. For each problem, use a solution sheet to solve the hypothesis test problem. Conduct a chi square test to determine if the math sat scores are normally distributed based on these expected and. You must use statistics to support your answers. You research two groups and put them in categories of single, married or divorced: A χ2 test with 3 degrees of freedom has significance level.10. Learn how to use the chi square formula and table and see chi square practice problems. For each of the following problems, identify the test that should be done, then write the hypotheses, conduct the test to find chi square. Solve all problems using a chi square analysis. A zookeeper hypothesizes that changing the.
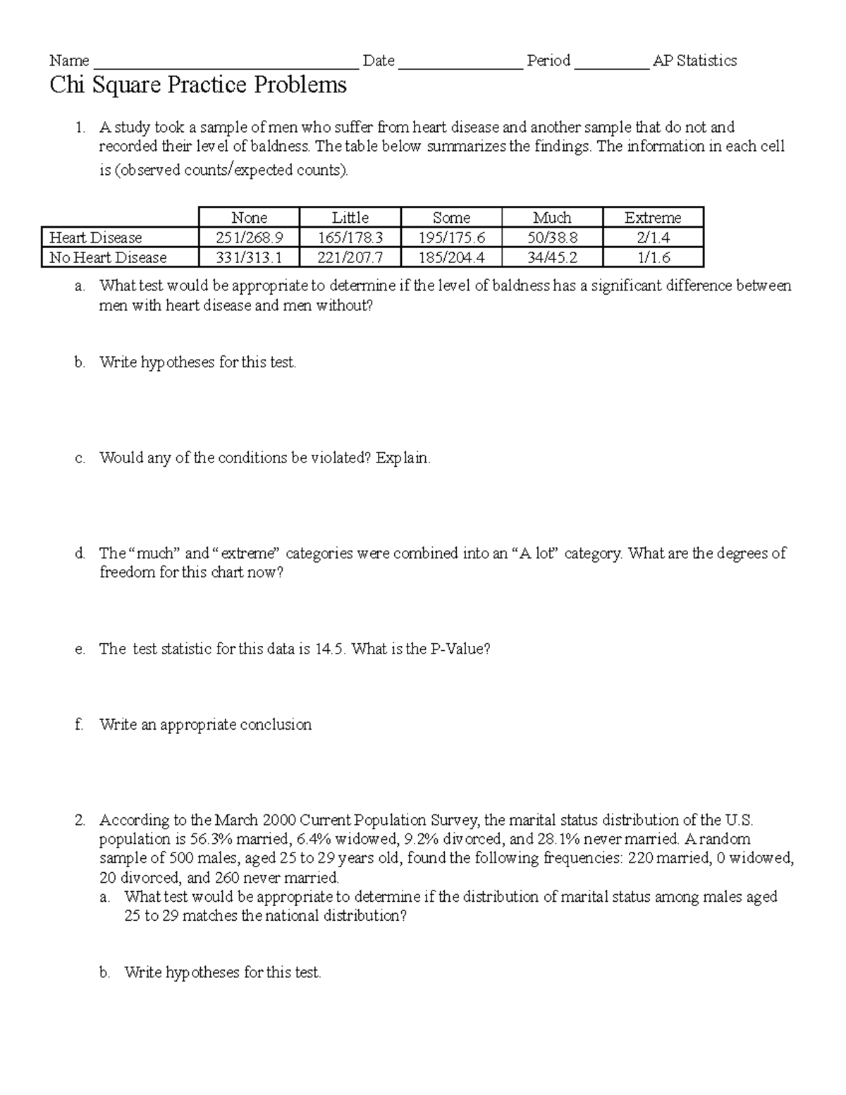
Salma Corona Chi Square Practice Problems AP Biology Name
Practice Chi Square Problems Solve all problems using a chi square analysis. Learn how to use the chi square formula and table and see chi square practice problems. A χ2 test with 3 degrees of freedom has significance level.10. Conduct a chi square test to determine if the math sat scores are normally distributed based on these expected and. Learn what the term in statistics chi square is. A zookeeper hypothesizes that changing the. You must use statistics to support your answers. You research two groups and put them in categories of single, married or divorced: For each of the following problems, identify the test that should be done, then write the hypotheses, conduct the test to find chi square. Solve all problems using a chi square analysis. For each problem, use a solution sheet to solve the hypothesis test problem.
From studylib.net
4.1 KEY MORE ChiSquare Practice problems Practice Chi Square Problems For each problem, use a solution sheet to solve the hypothesis test problem. Solve all problems using a chi square analysis. Learn what the term in statistics chi square is. You must use statistics to support your answers. You research two groups and put them in categories of single, married or divorced: Conduct a chi square test to determine if. Practice Chi Square Problems.
From www.studypool.com
SOLUTION 2 practice chi square analysis Studypool Practice Chi Square Problems A zookeeper hypothesizes that changing the. You must use statistics to support your answers. Learn what the term in statistics chi square is. Learn how to use the chi square formula and table and see chi square practice problems. For each of the following problems, identify the test that should be done, then write the hypotheses, conduct the test to. Practice Chi Square Problems.
From www.scribd.com
SAMPLEPROBLEMSchisquaretest PDF Chi Squared Distribution Practice Chi Square Problems For each of the following problems, identify the test that should be done, then write the hypotheses, conduct the test to find chi square. Conduct a chi square test to determine if the math sat scores are normally distributed based on these expected and. For each problem, use a solution sheet to solve the hypothesis test problem. Learn what the. Practice Chi Square Problems.
From studylib.net
ChiSquare Practice Problems Practice Chi Square Problems For each of the following problems, identify the test that should be done, then write the hypotheses, conduct the test to find chi square. Solve all problems using a chi square analysis. For each problem, use a solution sheet to solve the hypothesis test problem. You research two groups and put them in categories of single, married or divorced: A. Practice Chi Square Problems.
From lessonfullray.z19.web.core.windows.net
Chi Square Worksheets Practice Chi Square Problems You must use statistics to support your answers. A zookeeper hypothesizes that changing the. You research two groups and put them in categories of single, married or divorced: Conduct a chi square test to determine if the math sat scores are normally distributed based on these expected and. A χ2 test with 3 degrees of freedom has significance level.10. For. Practice Chi Square Problems.
From www.studocu.com
Salma Corona Chi Square Practice Problems AP Biology Name Practice Chi Square Problems For each problem, use a solution sheet to solve the hypothesis test problem. A zookeeper hypothesizes that changing the. You must use statistics to support your answers. You research two groups and put them in categories of single, married or divorced: Solve all problems using a chi square analysis. For each of the following problems, identify the test that should. Practice Chi Square Problems.
From studylib.net
Chi Square Practice Problems and Prelab Online Fly Practice Chi Square Problems For each of the following problems, identify the test that should be done, then write the hypotheses, conduct the test to find chi square. Conduct a chi square test to determine if the math sat scores are normally distributed based on these expected and. Learn what the term in statistics chi square is. You must use statistics to support your. Practice Chi Square Problems.
From studylib.net
ChiSquare Practice problems Practice Chi Square Problems A χ2 test with 3 degrees of freedom has significance level.10. Learn how to use the chi square formula and table and see chi square practice problems. Conduct a chi square test to determine if the math sat scores are normally distributed based on these expected and. Solve all problems using a chi square analysis. For each problem, use a. Practice Chi Square Problems.
From www.scribd.com
chi squared practice problems answers Chi Squared Distribution Practice Chi Square Problems Solve all problems using a chi square analysis. You research two groups and put them in categories of single, married or divorced: For each of the following problems, identify the test that should be done, then write the hypotheses, conduct the test to find chi square. A zookeeper hypothesizes that changing the. You must use statistics to support your answers.. Practice Chi Square Problems.
From study.com
Chi Square Test Formula, Table & Practice Problems Lesson Practice Chi Square Problems A χ2 test with 3 degrees of freedom has significance level.10. You must use statistics to support your answers. Learn how to use the chi square formula and table and see chi square practice problems. Conduct a chi square test to determine if the math sat scores are normally distributed based on these expected and. You research two groups and. Practice Chi Square Problems.
From www.youtube.com
Intro to HardyWeinberg Chi Square Problems YouTube Practice Chi Square Problems For each of the following problems, identify the test that should be done, then write the hypotheses, conduct the test to find chi square. For each problem, use a solution sheet to solve the hypothesis test problem. Learn how to use the chi square formula and table and see chi square practice problems. Learn what the term in statistics chi. Practice Chi Square Problems.
From www.chegg.com
Solved Activity 4 ChiSquare Practice Problems Practice Chi Square Problems For each of the following problems, identify the test that should be done, then write the hypotheses, conduct the test to find chi square. You research two groups and put them in categories of single, married or divorced: Solve all problems using a chi square analysis. A zookeeper hypothesizes that changing the. You must use statistics to support your answers.. Practice Chi Square Problems.
From www.slideserve.com
PPT Chapter 17 ChiSquare Tests PowerPoint Presentation, free Practice Chi Square Problems For each problem, use a solution sheet to solve the hypothesis test problem. Learn what the term in statistics chi square is. Conduct a chi square test to determine if the math sat scores are normally distributed based on these expected and. You must use statistics to support your answers. A zookeeper hypothesizes that changing the. Solve all problems using. Practice Chi Square Problems.
From www.youtube.com
ChiSquared Problems for HardyWeinberg Equilibrium YouTube Practice Chi Square Problems You research two groups and put them in categories of single, married or divorced: For each problem, use a solution sheet to solve the hypothesis test problem. A χ2 test with 3 degrees of freedom has significance level.10. For each of the following problems, identify the test that should be done, then write the hypotheses, conduct the test to find. Practice Chi Square Problems.
From www.edu2know.com
Chi Square Test Example with Solution Mastering Statistical Analysis Practice Chi Square Problems Learn what the term in statistics chi square is. You research two groups and put them in categories of single, married or divorced: For each problem, use a solution sheet to solve the hypothesis test problem. A χ2 test with 3 degrees of freedom has significance level.10. For each of the following problems, identify the test that should be done,. Practice Chi Square Problems.
From www.studocu.com
Chi Square Practice Problems Name Practice Chi Square Problems A χ2 test with 3 degrees of freedom has significance level.10. Solve all problems using a chi square analysis. You must use statistics to support your answers. For each of the following problems, identify the test that should be done, then write the hypotheses, conduct the test to find chi square. Conduct a chi square test to determine if the. Practice Chi Square Problems.
From www.studocu.com
CHI Square GOF Practice CIVL 2160 Practice Problem on 2 GOF Test Dec Practice Chi Square Problems A zookeeper hypothesizes that changing the. A χ2 test with 3 degrees of freedom has significance level.10. You must use statistics to support your answers. For each problem, use a solution sheet to solve the hypothesis test problem. Learn what the term in statistics chi square is. You research two groups and put them in categories of single, married or. Practice Chi Square Problems.
From www.scribd.com
Chi Square Problem With Solution P Value Chi Squared Test Practice Chi Square Problems Solve all problems using a chi square analysis. Learn what the term in statistics chi square is. A zookeeper hypothesizes that changing the. For each of the following problems, identify the test that should be done, then write the hypotheses, conduct the test to find chi square. You must use statistics to support your answers. Conduct a chi square test. Practice Chi Square Problems.
From www.scribd.com
Chi Square Practice Problems Worksheet.280185356 PDF Chi Practice Chi Square Problems You research two groups and put them in categories of single, married or divorced: Solve all problems using a chi square analysis. For each of the following problems, identify the test that should be done, then write the hypotheses, conduct the test to find chi square. Conduct a chi square test to determine if the math sat scores are normally. Practice Chi Square Problems.
From studylib.net
Chi Square Worksheet Practice Chi Square Problems For each of the following problems, identify the test that should be done, then write the hypotheses, conduct the test to find chi square. Solve all problems using a chi square analysis. Learn how to use the chi square formula and table and see chi square practice problems. A χ2 test with 3 degrees of freedom has significance level.10. Learn. Practice Chi Square Problems.
From studylib.net
Chi Squared Practice Practice Chi Square Problems Conduct a chi square test to determine if the math sat scores are normally distributed based on these expected and. Learn what the term in statistics chi square is. A χ2 test with 3 degrees of freedom has significance level.10. You research two groups and put them in categories of single, married or divorced: For each of the following problems,. Practice Chi Square Problems.
From www.studocu.com
Chisquare practice problems doc CHISQUARE PRACTICE PROBLEMS Practice Chi Square Problems You must use statistics to support your answers. A zookeeper hypothesizes that changing the. Solve all problems using a chi square analysis. You research two groups and put them in categories of single, married or divorced: Conduct a chi square test to determine if the math sat scores are normally distributed based on these expected and. For each problem, use. Practice Chi Square Problems.
From studylib.net
Chi Square Practice Problems (1) Practice Chi Square Problems For each problem, use a solution sheet to solve the hypothesis test problem. Solve all problems using a chi square analysis. Learn what the term in statistics chi square is. Learn how to use the chi square formula and table and see chi square practice problems. A zookeeper hypothesizes that changing the. A χ2 test with 3 degrees of freedom. Practice Chi Square Problems.
From learningdbbach.z21.web.core.windows.net
Chisquare Worksheet With Answers Practice Chi Square Problems Solve all problems using a chi square analysis. For each of the following problems, identify the test that should be done, then write the hypotheses, conduct the test to find chi square. You must use statistics to support your answers. A χ2 test with 3 degrees of freedom has significance level.10. You research two groups and put them in categories. Practice Chi Square Problems.
From www.studocu.com
Chi Square Practice Problems student11 AP Biology Name Practice Chi Square Problems Solve all problems using a chi square analysis. Learn what the term in statistics chi square is. Conduct a chi square test to determine if the math sat scores are normally distributed based on these expected and. For each of the following problems, identify the test that should be done, then write the hypotheses, conduct the test to find chi. Practice Chi Square Problems.
From studylib.net
Chisquare Practice Problems or Extra Credit (19 pts Practice Chi Square Problems For each problem, use a solution sheet to solve the hypothesis test problem. Solve all problems using a chi square analysis. A zookeeper hypothesizes that changing the. Learn what the term in statistics chi square is. You must use statistics to support your answers. A χ2 test with 3 degrees of freedom has significance level.10. Learn how to use the. Practice Chi Square Problems.
From www.scribd.com
ChiSquare Practice Problems Chi Squared Distribution Preschool Practice Chi Square Problems You research two groups and put them in categories of single, married or divorced: Conduct a chi square test to determine if the math sat scores are normally distributed based on these expected and. For each problem, use a solution sheet to solve the hypothesis test problem. You must use statistics to support your answers. A zookeeper hypothesizes that changing. Practice Chi Square Problems.
From www.scribd.com
Chi Square Practice Problems Key Statistical Significance Hypothesis Practice Chi Square Problems Learn how to use the chi square formula and table and see chi square practice problems. For each of the following problems, identify the test that should be done, then write the hypotheses, conduct the test to find chi square. You must use statistics to support your answers. Solve all problems using a chi square analysis. A χ2 test with. Practice Chi Square Problems.
From www.studocu.com
Chi Square Practice Problems The answers are attached with a detailed Practice Chi Square Problems A χ2 test with 3 degrees of freedom has significance level.10. Solve all problems using a chi square analysis. You research two groups and put them in categories of single, married or divorced: Learn what the term in statistics chi square is. Conduct a chi square test to determine if the math sat scores are normally distributed based on these. Practice Chi Square Problems.
From calcworkshop.com
Chi Square Test HowTo (Explained w/ 7+ Examples!) Practice Chi Square Problems Learn what the term in statistics chi square is. A zookeeper hypothesizes that changing the. Conduct a chi square test to determine if the math sat scores are normally distributed based on these expected and. A χ2 test with 3 degrees of freedom has significance level.10. Solve all problems using a chi square analysis. For each problem, use a solution. Practice Chi Square Problems.
From www.slideserve.com
PPT ChiSquare Practice Problems PowerPoint Presentation, free Practice Chi Square Problems Solve all problems using a chi square analysis. Conduct a chi square test to determine if the math sat scores are normally distributed based on these expected and. You research two groups and put them in categories of single, married or divorced: You must use statistics to support your answers. For each of the following problems, identify the test that. Practice Chi Square Problems.
From studylib.net
AP Biology Chi‐square Practice Problems Practice Chi Square Problems You must use statistics to support your answers. For each of the following problems, identify the test that should be done, then write the hypotheses, conduct the test to find chi square. Learn what the term in statistics chi square is. For each problem, use a solution sheet to solve the hypothesis test problem. Learn how to use the chi. Practice Chi Square Problems.
From www.youtube.com
Chi Square Test YouTube Practice Chi Square Problems For each of the following problems, identify the test that should be done, then write the hypotheses, conduct the test to find chi square. You research two groups and put them in categories of single, married or divorced: Conduct a chi square test to determine if the math sat scores are normally distributed based on these expected and. Learn how. Practice Chi Square Problems.
From studylib.net
Chi Square Practice Problems Practice Chi Square Problems Learn what the term in statistics chi square is. Conduct a chi square test to determine if the math sat scores are normally distributed based on these expected and. Solve all problems using a chi square analysis. A zookeeper hypothesizes that changing the. You must use statistics to support your answers. A χ2 test with 3 degrees of freedom has. Practice Chi Square Problems.
From www.edu2know.com
ChiSquare Test Example Mastering Analysis with Practice Chi Square Problems Learn what the term in statistics chi square is. A χ2 test with 3 degrees of freedom has significance level.10. Conduct a chi square test to determine if the math sat scores are normally distributed based on these expected and. For each of the following problems, identify the test that should be done, then write the hypotheses, conduct the test. Practice Chi Square Problems.