N2 + O2 + Heat 2No . To determine the effect on the concentration of n 2 when o 2 is removed from the reaction n 2 + o 2 + heat = 2 n o, consider le chatelier's principle. Postby tarynlane2j » thu jan 11, 2018 11:02 pm. In the example for hess's law from wednesday's lecture, we had the. N2 (g) + o2 (g) to 2no (g) with δh° = +180 kj and 2no2 (g) to. Is the reverse reaction endothermic or. In the case of n2 + o2 → 2no, the reaction requires energy to break the strong triple bond between the nitrogen atoms in n2 and the double bond between the oxygen atoms in o2. Identify the individual reactions and their enthalpies given in the problem: In the case of the nx2 +ox2 2no n x 2 + o x 2 2 n o , δh δ h and δs δ s are both positive, so the reaction is thermodynamically favorable at high. Given n2 + o2 →2no ∆h=180.7 determine the enthalpy of the reverse reaction? The following are some enthalpy values for reactions between nitrogen and oxygen: N2 + o2 = no2 is a synthesis reaction where one mole of dinitrogen [n 2] and two moles of dioxygen [o 2] combine to form two moles of. N2 (g) + o2 (g) → 2no (g) ∆h = 180.4 kj mol−1.
from slideplayer.com
N2 (g) + o2 (g) → 2no (g) ∆h = 180.4 kj mol−1. To determine the effect on the concentration of n 2 when o 2 is removed from the reaction n 2 + o 2 + heat = 2 n o, consider le chatelier's principle. Given n2 + o2 →2no ∆h=180.7 determine the enthalpy of the reverse reaction? In the case of the nx2 +ox2 2no n x 2 + o x 2 2 n o , δh δ h and δs δ s are both positive, so the reaction is thermodynamically favorable at high. In the example for hess's law from wednesday's lecture, we had the. N2 (g) + o2 (g) to 2no (g) with δh° = +180 kj and 2no2 (g) to. Identify the individual reactions and their enthalpies given in the problem: Is the reverse reaction endothermic or. In the case of n2 + o2 → 2no, the reaction requires energy to break the strong triple bond between the nitrogen atoms in n2 and the double bond between the oxygen atoms in o2. Postby tarynlane2j » thu jan 11, 2018 11:02 pm.
Chapter 6 Thermochemistry. ppt download
N2 + O2 + Heat 2No Postby tarynlane2j » thu jan 11, 2018 11:02 pm. Is the reverse reaction endothermic or. In the case of the nx2 +ox2 2no n x 2 + o x 2 2 n o , δh δ h and δs δ s are both positive, so the reaction is thermodynamically favorable at high. Identify the individual reactions and their enthalpies given in the problem: In the example for hess's law from wednesday's lecture, we had the. Postby tarynlane2j » thu jan 11, 2018 11:02 pm. The following are some enthalpy values for reactions between nitrogen and oxygen: To determine the effect on the concentration of n 2 when o 2 is removed from the reaction n 2 + o 2 + heat = 2 n o, consider le chatelier's principle. N2 + o2 = no2 is a synthesis reaction where one mole of dinitrogen [n 2] and two moles of dioxygen [o 2] combine to form two moles of. N2 (g) + o2 (g) to 2no (g) with δh° = +180 kj and 2no2 (g) to. In the case of n2 + o2 → 2no, the reaction requires energy to break the strong triple bond between the nitrogen atoms in n2 and the double bond between the oxygen atoms in o2. Given n2 + o2 →2no ∆h=180.7 determine the enthalpy of the reverse reaction? N2 (g) + o2 (g) → 2no (g) ∆h = 180.4 kj mol−1.
From www.youtube.com
Type of Reaction for O2 + N2 = NO YouTube N2 + O2 + Heat 2No The following are some enthalpy values for reactions between nitrogen and oxygen: In the example for hess's law from wednesday's lecture, we had the. Given n2 + o2 →2no ∆h=180.7 determine the enthalpy of the reverse reaction? Identify the individual reactions and their enthalpies given in the problem: Postby tarynlane2j » thu jan 11, 2018 11:02 pm. Is the reverse. N2 + O2 + Heat 2No.
From byjus.com
If the heat of formation of NO2 is x 1/2N2+O2=NO .heat of reaction N2 N2 + O2 + Heat 2No The following are some enthalpy values for reactions between nitrogen and oxygen: Postby tarynlane2j » thu jan 11, 2018 11:02 pm. In the case of n2 + o2 → 2no, the reaction requires energy to break the strong triple bond between the nitrogen atoms in n2 and the double bond between the oxygen atoms in o2. In the case of. N2 + O2 + Heat 2No.
From slideplayer.com
Chapter 6 Thermochemistry. ppt download N2 + O2 + Heat 2No In the example for hess's law from wednesday's lecture, we had the. To determine the effect on the concentration of n 2 when o 2 is removed from the reaction n 2 + o 2 + heat = 2 n o, consider le chatelier's principle. Identify the individual reactions and their enthalpies given in the problem: N2 (g) + o2. N2 + O2 + Heat 2No.
From www.chegg.com
Solved For the reaction N2 + O2 + heat = 2NO, if Oz is N2 + O2 + Heat 2No N2 (g) + o2 (g) to 2no (g) with δh° = +180 kj and 2no2 (g) to. In the case of n2 + o2 → 2no, the reaction requires energy to break the strong triple bond between the nitrogen atoms in n2 and the double bond between the oxygen atoms in o2. Given n2 + o2 →2no ∆h=180.7 determine the. N2 + O2 + Heat 2No.
From www.numerade.com
SOLVED What will be the sign of ΔS for the reaction N2(g) + O2(g) â N2 + O2 + Heat 2No In the case of the nx2 +ox2 2no n x 2 + o x 2 2 n o , δh δ h and δs δ s are both positive, so the reaction is thermodynamically favorable at high. Given n2 + o2 →2no ∆h=180.7 determine the enthalpy of the reverse reaction? N2 (g) + o2 (g) to 2no (g) with δh°. N2 + O2 + Heat 2No.
From www.toppr.com
If the heat of formation of NO2 is 'x' [1/2 N2(g) + O2(g)→ NO2(g)] the N2 + O2 + Heat 2No Postby tarynlane2j » thu jan 11, 2018 11:02 pm. Identify the individual reactions and their enthalpies given in the problem: To determine the effect on the concentration of n 2 when o 2 is removed from the reaction n 2 + o 2 + heat = 2 n o, consider le chatelier's principle. N2 + o2 = no2 is a. N2 + O2 + Heat 2No.
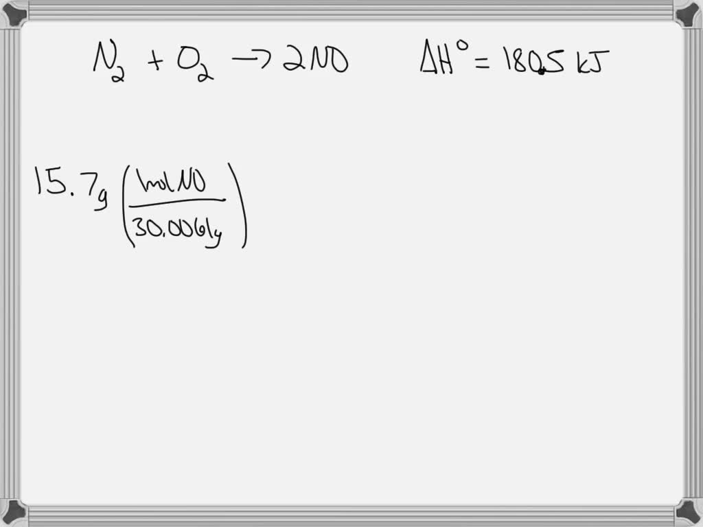
From www.numerade.com
13. N2 (g) + O2 (g) → 2NO (g) ΔH = 180.5 KJ An engine generates 15. N2 + O2 + Heat 2No N2 (g) + o2 (g) → 2no (g) ∆h = 180.4 kj mol−1. Is the reverse reaction endothermic or. Identify the individual reactions and their enthalpies given in the problem: In the example for hess's law from wednesday's lecture, we had the. In the case of the nx2 +ox2 2no n x 2 + o x 2 2 n o. N2 + O2 + Heat 2No.
From www.chegg.com
Solved Given the following reactions N2 (g) + O2 (g) → 2NO N2 + O2 + Heat 2No The following are some enthalpy values for reactions between nitrogen and oxygen: Postby tarynlane2j » thu jan 11, 2018 11:02 pm. N2 + o2 = no2 is a synthesis reaction where one mole of dinitrogen [n 2] and two moles of dioxygen [o 2] combine to form two moles of. In the case of the nx2 +ox2 2no n x. N2 + O2 + Heat 2No.
From www.slideserve.com
PPT Control of Nitrogen Oxides PowerPoint Presentation, free download N2 + O2 + Heat 2No To determine the effect on the concentration of n 2 when o 2 is removed from the reaction n 2 + o 2 + heat = 2 n o, consider le chatelier's principle. The following are some enthalpy values for reactions between nitrogen and oxygen: N2 (g) + o2 (g) to 2no (g) with δh° = +180 kj and 2no2. N2 + O2 + Heat 2No.
From askfilo.com
6. For the reaction, N2 +O2 ( g)⇌2NO(g). The equilibrium constant is K1 N2 + O2 + Heat 2No In the case of the nx2 +ox2 2no n x 2 + o x 2 2 n o , δh δ h and δs δ s are both positive, so the reaction is thermodynamically favorable at high. In the example for hess's law from wednesday's lecture, we had the. N2 (g) + o2 (g) → 2no (g) ∆h = 180.4. N2 + O2 + Heat 2No.
From www.slideserve.com
PPT Chemical PowerPoint Presentation, free download ID3466608 N2 + O2 + Heat 2No In the case of n2 + o2 → 2no, the reaction requires energy to break the strong triple bond between the nitrogen atoms in n2 and the double bond between the oxygen atoms in o2. The following are some enthalpy values for reactions between nitrogen and oxygen: To determine the effect on the concentration of n 2 when o 2. N2 + O2 + Heat 2No.
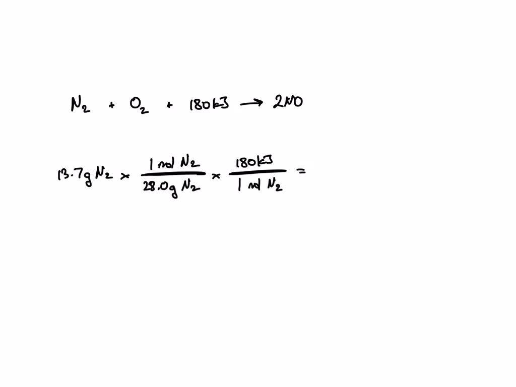
From www.numerade.com
SOLVED How much heat will be absorbed when 13.7 g nitrogen reacts with N2 + O2 + Heat 2No Postby tarynlane2j » thu jan 11, 2018 11:02 pm. In the case of the nx2 +ox2 2no n x 2 + o x 2 2 n o , δh δ h and δs δ s are both positive, so the reaction is thermodynamically favorable at high. In the case of n2 + o2 → 2no, the reaction requires energy to. N2 + O2 + Heat 2No.
From www.meritnation.com
IF THE HEAT OF FORMATION OF NO2 IS X THE HEAT OF REACTION OF N2 +O2 N2 + O2 + Heat 2No In the case of n2 + o2 → 2no, the reaction requires energy to break the strong triple bond between the nitrogen atoms in n2 and the double bond between the oxygen atoms in o2. To determine the effect on the concentration of n 2 when o 2 is removed from the reaction n 2 + o 2 + heat. N2 + O2 + Heat 2No.
From www.slideserve.com
PPT AP CHEMISTRY CHAPTER 6 NOTES THERMOCHEMISTRY PowerPoint N2 + O2 + Heat 2No N2 + o2 = no2 is a synthesis reaction where one mole of dinitrogen [n 2] and two moles of dioxygen [o 2] combine to form two moles of. N2 (g) + o2 (g) → 2no (g) ∆h = 180.4 kj mol−1. To determine the effect on the concentration of n 2 when o 2 is removed from the reaction. N2 + O2 + Heat 2No.
From www.showme.com
N2 + O2 yield sign N2O chemical equation balancing. By Jackson Fischer N2 + O2 + Heat 2No N2 (g) + o2 (g) → 2no (g) ∆h = 180.4 kj mol−1. In the case of n2 + o2 → 2no, the reaction requires energy to break the strong triple bond between the nitrogen atoms in n2 and the double bond between the oxygen atoms in o2. Is the reverse reaction endothermic or. In the case of the nx2. N2 + O2 + Heat 2No.
From askfilo.com
In the reaction N2 +O2 ⇌2NO at equilibrium the concentrations of N2 ,O2 N2 + O2 + Heat 2No In the example for hess's law from wednesday's lecture, we had the. The following are some enthalpy values for reactions between nitrogen and oxygen: In the case of n2 + o2 → 2no, the reaction requires energy to break the strong triple bond between the nitrogen atoms in n2 and the double bond between the oxygen atoms in o2. To. N2 + O2 + Heat 2No.
From www.numerade.com
SOLVED Calculate the change of enthalpy for the reaction N2 + O2 N2 + O2 + Heat 2No In the case of the nx2 +ox2 2no n x 2 + o x 2 2 n o , δh δ h and δs δ s are both positive, so the reaction is thermodynamically favorable at high. N2 + o2 = no2 is a synthesis reaction where one mole of dinitrogen [n 2] and two moles of dioxygen [o 2]. N2 + O2 + Heat 2No.
From www.chegg.com
For the reaction N2+O2+ heat ⇄ 2NO, if O2 is reduced N2 + O2 + Heat 2No In the example for hess's law from wednesday's lecture, we had the. Postby tarynlane2j » thu jan 11, 2018 11:02 pm. Is the reverse reaction endothermic or. Identify the individual reactions and their enthalpies given in the problem: In the case of n2 + o2 → 2no, the reaction requires energy to break the strong triple bond between the nitrogen. N2 + O2 + Heat 2No.
From slideplayer.com
Chemical Thermodynamics Salby Chapter ppt download N2 + O2 + Heat 2No Given n2 + o2 →2no ∆h=180.7 determine the enthalpy of the reverse reaction? To determine the effect on the concentration of n 2 when o 2 is removed from the reaction n 2 + o 2 + heat = 2 n o, consider le chatelier's principle. In the example for hess's law from wednesday's lecture, we had the. In the. N2 + O2 + Heat 2No.
From www.youtube.com
How to Balance O2 + N2 = NO (Oxygen gas + Nitrogen gas) YouTube N2 + O2 + Heat 2No In the case of the nx2 +ox2 2no n x 2 + o x 2 2 n o , δh δ h and δs δ s are both positive, so the reaction is thermodynamically favorable at high. In the case of n2 + o2 → 2no, the reaction requires energy to break the strong triple bond between the nitrogen atoms. N2 + O2 + Heat 2No.
From slideplayer.com
Energetics ‘Chemical changes caused by energy’ ppt download N2 + O2 + Heat 2No Identify the individual reactions and their enthalpies given in the problem: In the case of n2 + o2 → 2no, the reaction requires energy to break the strong triple bond between the nitrogen atoms in n2 and the double bond between the oxygen atoms in o2. In the case of the nx2 +ox2 2no n x 2 + o x. N2 + O2 + Heat 2No.
From www.toppr.com
If the heat of formation of NO2 is 'x' [1/2N2 (g) + O2 (g)→NO2 (g)] the N2 + O2 + Heat 2No Given n2 + o2 →2no ∆h=180.7 determine the enthalpy of the reverse reaction? Postby tarynlane2j » thu jan 11, 2018 11:02 pm. N2 (g) + o2 (g) to 2no (g) with δh° = +180 kj and 2no2 (g) to. In the example for hess's law from wednesday's lecture, we had the. N2 + o2 = no2 is a synthesis reaction. N2 + O2 + Heat 2No.
From brainly.in
Why N2 + O2 = 2NO heat not N2 +O2=N2O2 ? Brainly.in N2 + O2 + Heat 2No The following are some enthalpy values for reactions between nitrogen and oxygen: Postby tarynlane2j » thu jan 11, 2018 11:02 pm. Is the reverse reaction endothermic or. In the case of n2 + o2 → 2no, the reaction requires energy to break the strong triple bond between the nitrogen atoms in n2 and the double bond between the oxygen atoms. N2 + O2 + Heat 2No.
From www.toppr.com
If the heat of formation of NO2 is 'x' [1/2N2 (g) + O2 (g)→NO2 (g)] the N2 + O2 + Heat 2No To determine the effect on the concentration of n 2 when o 2 is removed from the reaction n 2 + o 2 + heat = 2 n o, consider le chatelier's principle. The following are some enthalpy values for reactions between nitrogen and oxygen: Is the reverse reaction endothermic or. In the case of the nx2 +ox2 2no n. N2 + O2 + Heat 2No.
From freeonlinehelpns.blogspot.com
Free Online Help what is the enthalpy change for the formation of one N2 + O2 + Heat 2No Postby tarynlane2j » thu jan 11, 2018 11:02 pm. N2 (g) + o2 (g) → 2no (g) ∆h = 180.4 kj mol−1. Given n2 + o2 →2no ∆h=180.7 determine the enthalpy of the reverse reaction? N2 + o2 = no2 is a synthesis reaction where one mole of dinitrogen [n 2] and two moles of dioxygen [o 2] combine to. N2 + O2 + Heat 2No.
From www.toppr.com
24. In a gaseous reversible reaction, N2 + O2 + 2NO + Heat. If pressure N2 + O2 + Heat 2No To determine the effect on the concentration of n 2 when o 2 is removed from the reaction n 2 + o 2 + heat = 2 n o, consider le chatelier's principle. In the case of n2 + o2 → 2no, the reaction requires energy to break the strong triple bond between the nitrogen atoms in n2 and the. N2 + O2 + Heat 2No.
From www.chegg.com
Solved Given the following reactions 2NO → N2 + O2 2NO + O2 N2 + O2 + Heat 2No To determine the effect on the concentration of n 2 when o 2 is removed from the reaction n 2 + o 2 + heat = 2 n o, consider le chatelier's principle. In the example for hess's law from wednesday's lecture, we had the. The following are some enthalpy values for reactions between nitrogen and oxygen: Is the reverse. N2 + O2 + Heat 2No.
From www.slideserve.com
PPT Chemical PowerPoint Presentation, free download ID2230605 N2 + O2 + Heat 2No Is the reverse reaction endothermic or. N2 + o2 = no2 is a synthesis reaction where one mole of dinitrogen [n 2] and two moles of dioxygen [o 2] combine to form two moles of. In the example for hess's law from wednesday's lecture, we had the. Identify the individual reactions and their enthalpies given in the problem: Given n2. N2 + O2 + Heat 2No.
From www.numerade.com
Calculate the enthalpy for the following reaction N2 (g) + 2O2 (g N2 + O2 + Heat 2No Postby tarynlane2j » thu jan 11, 2018 11:02 pm. N2 + o2 = no2 is a synthesis reaction where one mole of dinitrogen [n 2] and two moles of dioxygen [o 2] combine to form two moles of. In the example for hess's law from wednesday's lecture, we had the. Given n2 + o2 →2no ∆h=180.7 determine the enthalpy of. N2 + O2 + Heat 2No.
From www.bartleby.com
Answered Given the following reactions 2NO N2 +… bartleby N2 + O2 + Heat 2No Identify the individual reactions and their enthalpies given in the problem: N2 (g) + o2 (g) to 2no (g) with δh° = +180 kj and 2no2 (g) to. To determine the effect on the concentration of n 2 when o 2 is removed from the reaction n 2 + o 2 + heat = 2 n o, consider le chatelier's. N2 + O2 + Heat 2No.
From askfilo.com
(2) ΔH>TΔS (4) ΔH>0 and TΔS N2 + O2 + Heat 2No N2 (g) + o2 (g) → 2no (g) ∆h = 180.4 kj mol−1. N2 (g) + o2 (g) to 2no (g) with δh° = +180 kj and 2no2 (g) to. N2 + o2 = no2 is a synthesis reaction where one mole of dinitrogen [n 2] and two moles of dioxygen [o 2] combine to form two moles of. In. N2 + O2 + Heat 2No.
From byjus.com
For the reaction N2 +O2 gives 2NO. Equilibrium cons†an t=2. Degree of N2 + O2 + Heat 2No Postby tarynlane2j » thu jan 11, 2018 11:02 pm. N2 (g) + o2 (g) to 2no (g) with δh° = +180 kj and 2no2 (g) to. Identify the individual reactions and their enthalpies given in the problem: To determine the effect on the concentration of n 2 when o 2 is removed from the reaction n 2 + o 2. N2 + O2 + Heat 2No.
From www.toppr.com
If the heat of formation of NO2 is 'x' [1/2N2 (g) + O2 (g)→NO2 (g)] the N2 + O2 + Heat 2No To determine the effect on the concentration of n 2 when o 2 is removed from the reaction n 2 + o 2 + heat = 2 n o, consider le chatelier's principle. Is the reverse reaction endothermic or. In the case of the nx2 +ox2 2no n x 2 + o x 2 2 n o , δh δ. N2 + O2 + Heat 2No.
From slideplayer.com
Chapter 9 Chemical Quantities in Reactions ppt download N2 + O2 + Heat 2No N2 (g) + o2 (g) → 2no (g) ∆h = 180.4 kj mol−1. Postby tarynlane2j » thu jan 11, 2018 11:02 pm. In the example for hess's law from wednesday's lecture, we had the. In the case of n2 + o2 → 2no, the reaction requires energy to break the strong triple bond between the nitrogen atoms in n2 and. N2 + O2 + Heat 2No.
From askfilo.com
N2 +O2 ⇌2NO Heat reaction shift in right hand direction on Filo N2 + O2 + Heat 2No Postby tarynlane2j » thu jan 11, 2018 11:02 pm. Given n2 + o2 →2no ∆h=180.7 determine the enthalpy of the reverse reaction? To determine the effect on the concentration of n 2 when o 2 is removed from the reaction n 2 + o 2 + heat = 2 n o, consider le chatelier's principle. Identify the individual reactions and. N2 + O2 + Heat 2No.