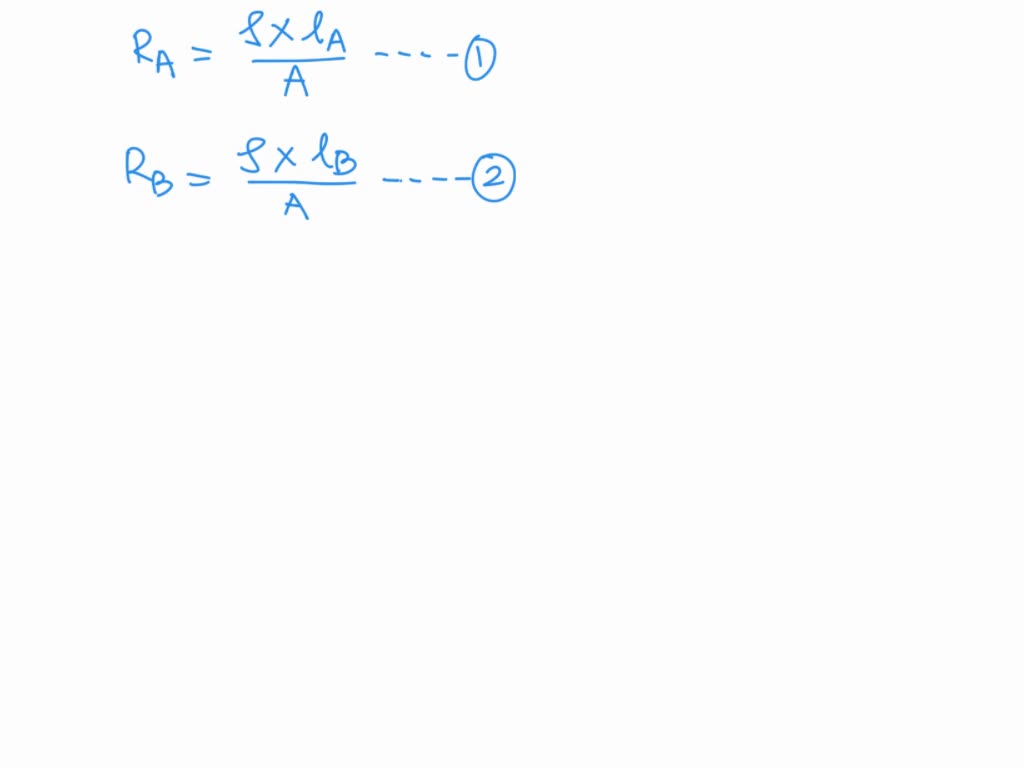
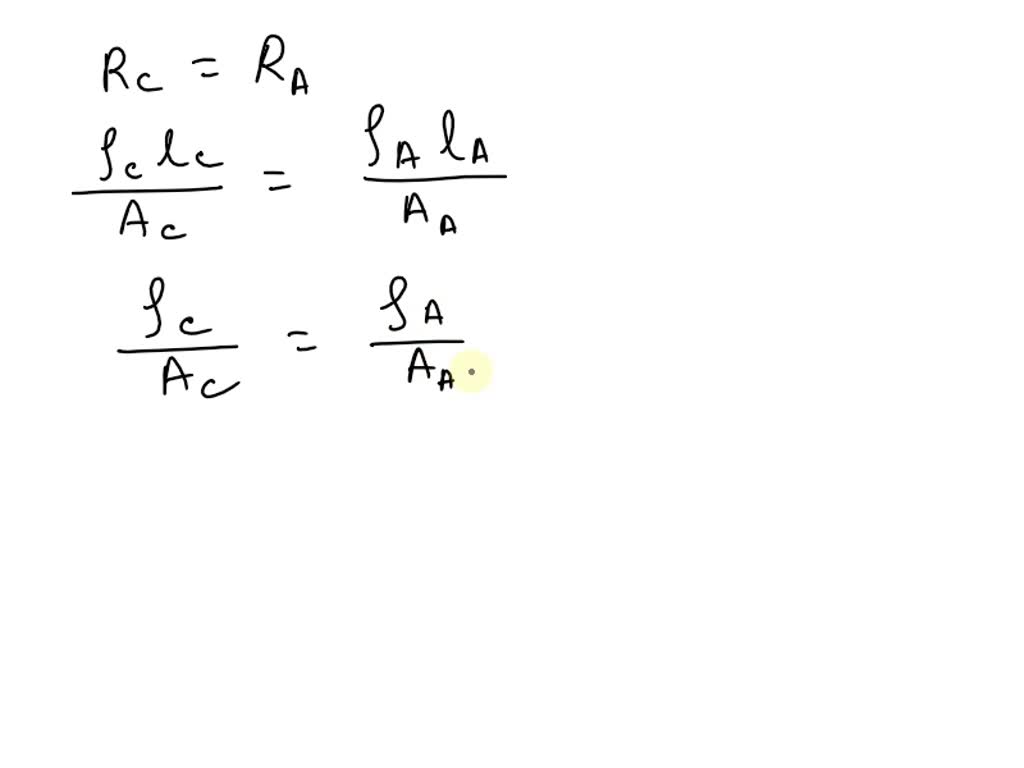
Two Wires Have The Same Diameter And Length . The elastic potential energy per. The wire a has a length l and diameter r while the wire b has a length 2l and diameter. Two wires of the same material and length but diameter in the ratio $1:2$ are stretched by the same force. The ratio of diameter of two wires of same material is n : One is made of copper, the other brass. The correct option is a1:2 wires are of same material (same young's modulus) and same diameter (same area). Asked apr 10, 2019 in physics by niharika. Two wires of same diameter of the same material having the length l and 2l. As we know, stress= force area. 1 the length of wires are 4 m each. Two wires a and b are made of same material. The wires are connected together end to end. The correct option is c the same stress but different strains. Two wires x and y are made from the same material. Two wires have the same diameter and length.
from askfilo.com
The correct option is c the same stress but different strains. The wire a has a length l and diameter r while the wire b has a length 2l and diameter. As given in question, both. If the force f is applied on each, the ratio of the work. Two wires a and b are made of same material. The ratio of diameter of two wires of same material is n : Two wires of same diameter of the same material having the length l and 2l. The correct option is a1:2 wires are of same material (same young's modulus) and same diameter (same area). As we know, stress= force area. Wire y has twice the diameter and experiences twice the tension of wire x.
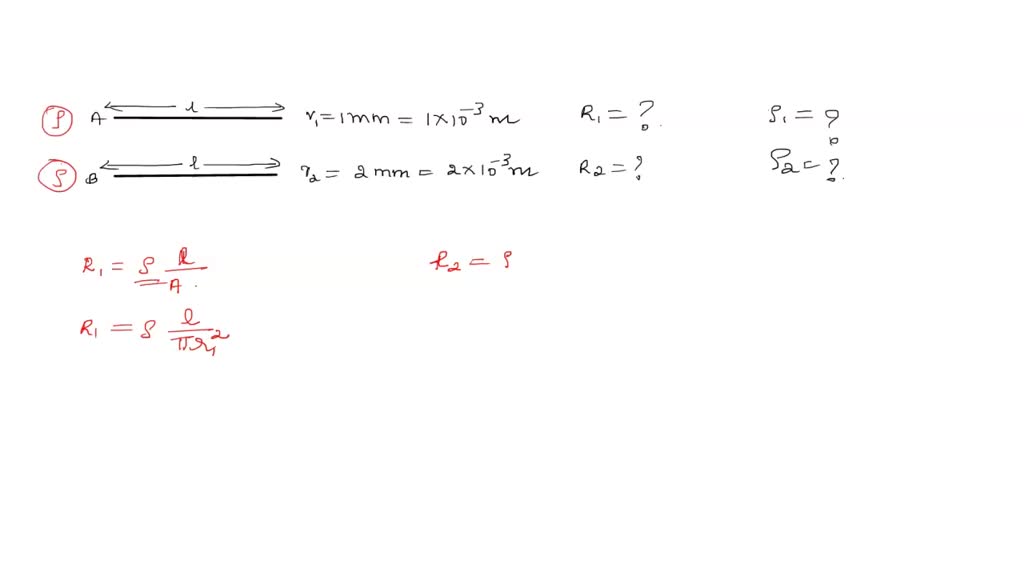
8. Two wires of the same material and same length have radii 1 mm and 2 m..
Two Wires Have The Same Diameter And Length Two wires a and b are made of same material. One is made of copper, the other brass. 1 the length of wires are 4 m each. Two wires x and y are made from the same material. Two wires have the same diameter and length. Asked apr 10, 2019 in physics by niharika. The wire a has a length l and diameter r while the wire b has a length 2l and diameter. Two wires of same diameter of the same material having the length l and 2l. As we know, stress= force area. As given in question, both. The correct option is a1:2 wires are of same material (same young's modulus) and same diameter (same area). Two wires a and b are made of same material. Wire y has twice the diameter and experiences twice the tension of wire x. The wires are connected together end to end. If the force f is applied on each, the ratio of the work. The ratio of diameter of two wires of same material is n :
From www.toppr.com
1A Two wires have the same material and length, but their masses are in Two Wires Have The Same Diameter And Length The ratio of diameter of two wires of same material is n : Two wires have the same diameter and length. Wire y has twice the diameter and experiences twice the tension of wire x. Two wires x and y are made from the same material. 1 the length of wires are 4 m each. Two wires of the same. Two Wires Have The Same Diameter And Length.
From www.chegg.com
Solved Two aluminum wires have the same resistance. If one Two Wires Have The Same Diameter And Length The correct option is c the same stress but different strains. The ratio of diameter of two wires of same material is n : 1 the length of wires are 4 m each. Two wires have the same diameter and length. Asked apr 10, 2019 in physics by niharika. Wire y has twice the diameter and experiences twice the tension. Two Wires Have The Same Diameter And Length.
From www.chegg.com
Solved The figure shows two parallel, straight wires that Two Wires Have The Same Diameter And Length Two wires a and b are made of same material. As we know, stress= force area. The elastic potential energy per. The wire a has a length l and diameter r while the wire b has a length 2l and diameter. Two wires have the same diameter and length. Asked apr 10, 2019 in physics by niharika. The correct option. Two Wires Have The Same Diameter And Length.
From www.numerade.com
SOLVED 8.X1 Two cylindrical copper wires have the same mass. Wire A is Two Wires Have The Same Diameter And Length The elastic potential energy per. Two wires a and b are made of same material. Asked apr 10, 2019 in physics by niharika. Two wires have the same diameter and length. As we know, stress= force area. One is made of copper, the other brass. The wires are connected together end to end. If the force f is applied on. Two Wires Have The Same Diameter And Length.
From brainly.com
You are given two infinite, parallel wires each carrying current I. The Two Wires Have The Same Diameter And Length The correct option is a1:2 wires are of same material (same young's modulus) and same diameter (same area). Two wires of same diameter of the same material having the length l and 2l. Wire y has twice the diameter and experiences twice the tension of wire x. Two wires have the same diameter and length. If the force f is. Two Wires Have The Same Diameter And Length.
From www.youtube.com
Two wires of the same material (Young\'s modulus=Y) and same length L Two Wires Have The Same Diameter And Length The wires are connected together end to end. 1 the length of wires are 4 m each. Asked apr 10, 2019 in physics by niharika. If the force f is applied on each, the ratio of the work. The correct option is c the same stress but different strains. Two wires a and b are made of same material. One. Two Wires Have The Same Diameter And Length.
From www.toppr.com
Two conducting wires of the same material and of equal lengths and Two Wires Have The Same Diameter And Length The ratio of diameter of two wires of same material is n : Asked apr 10, 2019 in physics by niharika. The elastic potential energy per. Two wires have the same diameter and length. The correct option is c the same stress but different strains. The wire a has a length l and diameter r while the wire b has. Two Wires Have The Same Diameter And Length.
From www.youtube.com
Two wires A and B made from two different materials have temperature Two Wires Have The Same Diameter And Length Two wires of same diameter of the same material having the length l and 2l. The wire a has a length l and diameter r while the wire b has a length 2l and diameter. As given in question, both. Two wires x and y are made from the same material. If the force f is applied on each, the. Two Wires Have The Same Diameter And Length.
From www.numerade.com
SOLVED 2. Two wires have the same length and the same resistance. One Two Wires Have The Same Diameter And Length Asked apr 10, 2019 in physics by niharika. Two wires x and y are made from the same material. The correct option is c the same stress but different strains. 1 the length of wires are 4 m each. As we know, stress= force area. The wires are connected together end to end. The ratio of diameter of two wires. Two Wires Have The Same Diameter And Length.
From brainly.in
Having Same Material and same length two wires has resistance of 5 ohm Two Wires Have The Same Diameter And Length Two wires have the same diameter and length. Two wires x and y are made from the same material. The wire a has a length l and diameter r while the wire b has a length 2l and diameter. If the force f is applied on each, the ratio of the work. Two wires of same diameter of the same. Two Wires Have The Same Diameter And Length.
From www.youtube.com
20143MarksVI graph for two wires A and B are shown in the figure Two Wires Have The Same Diameter And Length The correct option is c the same stress but different strains. The elastic potential energy per. The ratio of diameter of two wires of same material is n : Two wires of the same material and length but diameter in the ratio $1:2$ are stretched by the same force. The correct option is a1:2 wires are of same material (same. Two Wires Have The Same Diameter And Length.
From askfilo.com
8. Two wires of the same material and same length have radii 1 mm and 2 m.. Two Wires Have The Same Diameter And Length Two wires of the same material and length but diameter in the ratio $1:2$ are stretched by the same force. Wire y has twice the diameter and experiences twice the tension of wire x. The wires are connected together end to end. The wire a has a length l and diameter r while the wire b has a length 2l. Two Wires Have The Same Diameter And Length.
From www.chegg.com
Solved An extension cord made of two wires of diameter 0.129 Two Wires Have The Same Diameter And Length Two wires a and b are made of same material. 1 the length of wires are 4 m each. One is made of copper, the other brass. The wires are connected together end to end. Two wires x and y are made from the same material. The elastic potential energy per. Wire y has twice the diameter and experiences twice. Two Wires Have The Same Diameter And Length.
From www.toppr.com
11. Two wires of same material and radius have their lengths in ratio 1 Two Wires Have The Same Diameter And Length As given in question, both. 1 the length of wires are 4 m each. Wire y has twice the diameter and experiences twice the tension of wire x. The wires are connected together end to end. Two wires x and y are made from the same material. The ratio of diameter of two wires of same material is n :. Two Wires Have The Same Diameter And Length.
From www.numerade.com
SOLVED Two wires of the same material and same length have radii 1 mm Two Wires Have The Same Diameter And Length The wire a has a length l and diameter r while the wire b has a length 2l and diameter. As given in question, both. 1 the length of wires are 4 m each. Two wires have the same diameter and length. Two wires a and b are made of same material. The correct option is a1:2 wires are of. Two Wires Have The Same Diameter And Length.
From solvedlib.com
Two steel wires are connected together; end to end, a… SolvedLib Two Wires Have The Same Diameter And Length As we know, stress= force area. The correct option is a1:2 wires are of same material (same young's modulus) and same diameter (same area). 1 the length of wires are 4 m each. As given in question, both. The ratio of diameter of two wires of same material is n : Two wires have the same diameter and length. If. Two Wires Have The Same Diameter And Length.
From askfilo.com
Two wires of equal length and radii r and 2r are connected in series. The.. Two Wires Have The Same Diameter And Length The wire a has a length l and diameter r while the wire b has a length 2l and diameter. The wires are connected together end to end. Two wires a and b are made of same material. As we know, stress= force area. Asked apr 10, 2019 in physics by niharika. Two wires of same diameter of the same. Two Wires Have The Same Diameter And Length.
From www.toppr.com
Two conducting wires of the same material and of equal lengths and Two Wires Have The Same Diameter And Length The wires are connected together end to end. As we know, stress= force area. The correct option is a1:2 wires are of same material (same young's modulus) and same diameter (same area). 1 the length of wires are 4 m each. Two wires a and b are made of same material. Asked apr 10, 2019 in physics by niharika. The. Two Wires Have The Same Diameter And Length.
From www.chegg.com
Solved An array of three wires is used to suspend a casting Two Wires Have The Same Diameter And Length Two wires a and b are made of same material. As we know, stress= force area. Wire y has twice the diameter and experiences twice the tension of wire x. One is made of copper, the other brass. The elastic potential energy per. If the force f is applied on each, the ratio of the work. The correct option is. Two Wires Have The Same Diameter And Length.
From www.chegg.com
Solved Consider the wires shown. The two wires have the same Two Wires Have The Same Diameter And Length 1 the length of wires are 4 m each. The correct option is c the same stress but different strains. One is made of copper, the other brass. The elastic potential energy per. As given in question, both. Two wires a and b are made of same material. The wires are connected together end to end. Asked apr 10, 2019. Two Wires Have The Same Diameter And Length.
From www.numerade.com
SOLVED Two wires made of copper and aluminum have the same length and Two Wires Have The Same Diameter And Length 1 the length of wires are 4 m each. The wires are connected together end to end. Two wires have the same diameter and length. Two wires of same diameter of the same material having the length l and 2l. Two wires x and y are made from the same material. As we know, stress= force area. Asked apr 10,. Two Wires Have The Same Diameter And Length.
From byjus.com
Two wires of same material and radius have there lengths in the ratio 1 Two Wires Have The Same Diameter And Length The correct option is a1:2 wires are of same material (same young's modulus) and same diameter (same area). Two wires have the same diameter and length. One is made of copper, the other brass. The correct option is c the same stress but different strains. As we know, stress= force area. 1 the length of wires are 4 m each.. Two Wires Have The Same Diameter And Length.
From www.numerade.com
SOLVED Two wires A and B with circular sections are made of the same Two Wires Have The Same Diameter And Length If the force f is applied on each, the ratio of the work. Two wires a and b are made of same material. Two wires of the same material and length but diameter in the ratio $1:2$ are stretched by the same force. Two wires x and y are made from the same material. The correct option is a1:2 wires. Two Wires Have The Same Diameter And Length.
From www.chegg.com
Solved Two aluminum wires have the same resistance. If one Two Wires Have The Same Diameter And Length 1 the length of wires are 4 m each. The wire a has a length l and diameter r while the wire b has a length 2l and diameter. The elastic potential energy per. Two wires a and b are made of same material. Wire y has twice the diameter and experiences twice the tension of wire x. Asked apr. Two Wires Have The Same Diameter And Length.
From www.toppr.com
Two wires made of same material have their length are in the ratio 12 Two Wires Have The Same Diameter And Length The elastic potential energy per. The wire a has a length l and diameter r while the wire b has a length 2l and diameter. The correct option is a1:2 wires are of same material (same young's modulus) and same diameter (same area). Wire y has twice the diameter and experiences twice the tension of wire x. Two wires x. Two Wires Have The Same Diameter And Length.
From brainly.in
121.Two copper wires have the same length but the second has diameter Two Wires Have The Same Diameter And Length Two wires x and y are made from the same material. If the force f is applied on each, the ratio of the work. 1 the length of wires are 4 m each. Two wires of same diameter of the same material having the length l and 2l. The elastic potential energy per. The correct option is c the same. Two Wires Have The Same Diameter And Length.
From kunduz.com
[ANSWERED] 6 Two wires of equal length and equal diameter and having Two Wires Have The Same Diameter And Length The wires are connected together end to end. Two wires of the same material and length but diameter in the ratio $1:2$ are stretched by the same force. The wire a has a length l and diameter r while the wire b has a length 2l and diameter. The correct option is c the same stress but different strains. Two. Two Wires Have The Same Diameter And Length.
From www.meritnation.com
3 question please solve it 3 Two conducting wires X and Y of same Two Wires Have The Same Diameter And Length The ratio of diameter of two wires of same material is n : The wire a has a length l and diameter r while the wire b has a length 2l and diameter. Two wires have the same diameter and length. Asked apr 10, 2019 in physics by niharika. Wire y has twice the diameter and experiences twice the tension. Two Wires Have The Same Diameter And Length.
From www.doubtnut.com
Two wires having same length and material are stretched by same force. Two Wires Have The Same Diameter And Length The correct option is a1:2 wires are of same material (same young's modulus) and same diameter (same area). Wire y has twice the diameter and experiences twice the tension of wire x. The correct option is c the same stress but different strains. The wire a has a length l and diameter r while the wire b has a length. Two Wires Have The Same Diameter And Length.
From www.numerade.com
SOLVED Two copper wires have the same crosssectional area but have Two Wires Have The Same Diameter And Length One is made of copper, the other brass. The ratio of diameter of two wires of same material is n : The correct option is c the same stress but different strains. As we know, stress= force area. Two wires have the same diameter and length. The elastic potential energy per. Two wires of same diameter of the same material. Two Wires Have The Same Diameter And Length.
From www.numerade.com
SOLVED A and B are two straight wires carrying currents of 5 A and 10 Two Wires Have The Same Diameter And Length 1 the length of wires are 4 m each. The correct option is a1:2 wires are of same material (same young's modulus) and same diameter (same area). Two wires x and y are made from the same material. If the force f is applied on each, the ratio of the work. Wire y has twice the diameter and experiences twice. Two Wires Have The Same Diameter And Length.
From www.chegg.com
Solved Two wires have the same length and the same Two Wires Have The Same Diameter And Length The correct option is c the same stress but different strains. Asked apr 10, 2019 in physics by niharika. One is made of copper, the other brass. Two wires of the same material and length but diameter in the ratio $1:2$ are stretched by the same force. Two wires x and y are made from the same material. As given. Two Wires Have The Same Diameter And Length.
From www.toppr.com
Two wires of equal length and equal diameter and having resistivites ρ1 Two Wires Have The Same Diameter And Length The correct option is c the same stress but different strains. As given in question, both. Two wires of same diameter of the same material having the length l and 2l. Two wires x and y are made from the same material. Two wires a and b are made of same material. One is made of copper, the other brass.. Two Wires Have The Same Diameter And Length.
From www.toppr.com
Two wires of the same material and length have the radii of their cross Two Wires Have The Same Diameter And Length Two wires a and b are made of same material. One is made of copper, the other brass. Asked apr 10, 2019 in physics by niharika. Wire y has twice the diameter and experiences twice the tension of wire x. As given in question, both. Two wires of the same material and length but diameter in the ratio $1:2$ are. Two Wires Have The Same Diameter And Length.
From www.toppr.com
There are two wires, A and B, made of same material. Both the wires Two Wires Have The Same Diameter And Length Two wires of the same material and length but diameter in the ratio $1:2$ are stretched by the same force. Two wires a and b are made of same material. As we know, stress= force area. Wire y has twice the diameter and experiences twice the tension of wire x. Two wires x and y are made from the same. Two Wires Have The Same Diameter And Length.