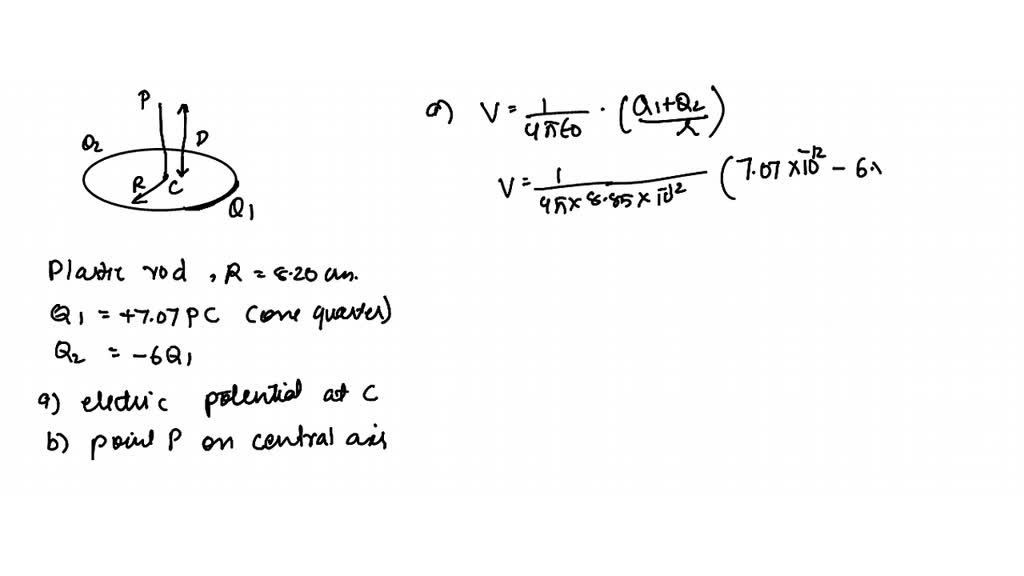
A Plastic Rod Has Been Bent Into A Circle . A plastic rod has been bent into a circle of radius r = 8.20 c m. We know that the formula to find the electric. It has a charge q1. The electric potential at the center (c) of the circle formed by the rod is zero due to the symmetry and cancellations of charges. Q25p (page 711) a plastic rod has been bent into a circle of radius r = 8.20 cm. A plastic rod has been bent into a circle of radius r = 8.20 cm. A plastic rod has been bent into a circle of radius r = 10.9 cm.
from www.chegg.com
A plastic rod has been bent into a circle of radius r = 8.20 c m. The electric potential at the center (c) of the circle formed by the rod is zero due to the symmetry and cancellations of charges. A plastic rod has been bent into a circle of radius r = 10.9 cm. A plastic rod has been bent into a circle of radius r = 8.20 cm. It has a charge q1. Q25p (page 711) a plastic rod has been bent into a circle of radius r = 8.20 cm. We know that the formula to find the electric.
Solved A plastic rod has been bent into a circle of radius R
A Plastic Rod Has Been Bent Into A Circle The electric potential at the center (c) of the circle formed by the rod is zero due to the symmetry and cancellations of charges. The electric potential at the center (c) of the circle formed by the rod is zero due to the symmetry and cancellations of charges. A plastic rod has been bent into a circle of radius r = 8.20 c m. A plastic rod has been bent into a circle of radius r = 10.9 cm. A plastic rod has been bent into a circle of radius r = 8.20 cm. Q25p (page 711) a plastic rod has been bent into a circle of radius r = 8.20 cm. It has a charge q1. We know that the formula to find the electric.
From exoervpdg.blob.core.windows.net
Plastic Rod Has Been Bent Into A Circle Of at Antonio Bullard blog A Plastic Rod Has Been Bent Into A Circle The electric potential at the center (c) of the circle formed by the rod is zero due to the symmetry and cancellations of charges. A plastic rod has been bent into a circle of radius r = 10.9 cm. We know that the formula to find the electric. A plastic rod has been bent into a circle of radius r. A Plastic Rod Has Been Bent Into A Circle.
From www.chegg.com
Solved A plastic rod has been bent into a circle of radius A Plastic Rod Has Been Bent Into A Circle We know that the formula to find the electric. A plastic rod has been bent into a circle of radius r = 8.20 c m. A plastic rod has been bent into a circle of radius r = 8.20 cm. A plastic rod has been bent into a circle of radius r = 10.9 cm. The electric potential at the. A Plastic Rod Has Been Bent Into A Circle.
From www.chegg.com
Solved A plastic rod has been bent into a circle of radius A Plastic Rod Has Been Bent Into A Circle A plastic rod has been bent into a circle of radius r = 8.20 c m. Q25p (page 711) a plastic rod has been bent into a circle of radius r = 8.20 cm. The electric potential at the center (c) of the circle formed by the rod is zero due to the symmetry and cancellations of charges. A plastic. A Plastic Rod Has Been Bent Into A Circle.
From www.bartleby.com
Answered = 6Q1 uniformly A plastic rod has been… bartleby A Plastic Rod Has Been Bent Into A Circle It has a charge q1. A plastic rod has been bent into a circle of radius r = 10.9 cm. A plastic rod has been bent into a circle of radius r = 8.20 c m. The electric potential at the center (c) of the circle formed by the rod is zero due to the symmetry and cancellations of charges.. A Plastic Rod Has Been Bent Into A Circle.
From www.chegg.com
Solved A plastic rod has been bent into a circle of radius R A Plastic Rod Has Been Bent Into A Circle We know that the formula to find the electric. A plastic rod has been bent into a circle of radius r = 8.20 cm. The electric potential at the center (c) of the circle formed by the rod is zero due to the symmetry and cancellations of charges. A plastic rod has been bent into a circle of radius r. A Plastic Rod Has Been Bent Into A Circle.
From www.bartleby.com
Answered A plastic rod has been bent into a… bartleby A Plastic Rod Has Been Bent Into A Circle A plastic rod has been bent into a circle of radius r = 10.9 cm. The electric potential at the center (c) of the circle formed by the rod is zero due to the symmetry and cancellations of charges. A plastic rod has been bent into a circle of radius r = 8.20 cm. We know that the formula to. A Plastic Rod Has Been Bent Into A Circle.
From www.chegg.com
Solved 6. A plastic rod has been bent into a circle of A Plastic Rod Has Been Bent Into A Circle A plastic rod has been bent into a circle of radius r = 8.20 cm. The electric potential at the center (c) of the circle formed by the rod is zero due to the symmetry and cancellations of charges. It has a charge q1. We know that the formula to find the electric. A plastic rod has been bent into. A Plastic Rod Has Been Bent Into A Circle.
From www.solutionspile.com
[Solved] A plastic rod has been bent into a circle of rad A Plastic Rod Has Been Bent Into A Circle It has a charge q1. A plastic rod has been bent into a circle of radius r = 10.9 cm. The electric potential at the center (c) of the circle formed by the rod is zero due to the symmetry and cancellations of charges. A plastic rod has been bent into a circle of radius r = 8.20 c m.. A Plastic Rod Has Been Bent Into A Circle.
From www.chegg.com
Solved Consider a thin plastic rod bent into a semicircular A Plastic Rod Has Been Bent Into A Circle Q25p (page 711) a plastic rod has been bent into a circle of radius r = 8.20 cm. It has a charge q1. The electric potential at the center (c) of the circle formed by the rod is zero due to the symmetry and cancellations of charges. A plastic rod has been bent into a circle of radius r =. A Plastic Rod Has Been Bent Into A Circle.
From www.numerade.com
A plastic rod has been bent into a circle of radius R=8.20 cm . It has A Plastic Rod Has Been Bent Into A Circle A plastic rod has been bent into a circle of radius r = 8.20 c m. Q25p (page 711) a plastic rod has been bent into a circle of radius r = 8.20 cm. A plastic rod has been bent into a circle of radius r = 8.20 cm. It has a charge q1. The electric potential at the center. A Plastic Rod Has Been Bent Into A Circle.
From www.chegg.com
Solved A plastic rod has been bent into a circle of radius A Plastic Rod Has Been Bent Into A Circle It has a charge q1. A plastic rod has been bent into a circle of radius r = 10.9 cm. The electric potential at the center (c) of the circle formed by the rod is zero due to the symmetry and cancellations of charges. A plastic rod has been bent into a circle of radius r = 8.20 c m.. A Plastic Rod Has Been Bent Into A Circle.
From www.chegg.com
Solved A plastic rod has been bent into a circle of radius R A Plastic Rod Has Been Bent Into A Circle A plastic rod has been bent into a circle of radius r = 8.20 cm. A plastic rod has been bent into a circle of radius r = 8.20 c m. A plastic rod has been bent into a circle of radius r = 10.9 cm. Q25p (page 711) a plastic rod has been bent into a circle of radius. A Plastic Rod Has Been Bent Into A Circle.
From www.chegg.com
Solved A thin plastic rod is bent into a semicircle of A Plastic Rod Has Been Bent Into A Circle We know that the formula to find the electric. A plastic rod has been bent into a circle of radius r = 8.20 c m. Q25p (page 711) a plastic rod has been bent into a circle of radius r = 8.20 cm. A plastic rod has been bent into a circle of radius r = 10.9 cm. A plastic. A Plastic Rod Has Been Bent Into A Circle.
From www.chegg.com
Solved A plastic rod has been bent into a circle of radius R A Plastic Rod Has Been Bent Into A Circle It has a charge q1. A plastic rod has been bent into a circle of radius r = 8.20 cm. A plastic rod has been bent into a circle of radius r = 8.20 c m. The electric potential at the center (c) of the circle formed by the rod is zero due to the symmetry and cancellations of charges.. A Plastic Rod Has Been Bent Into A Circle.
From www.chegg.com
Solved A plastic rod has been bent into a circle of radius R A Plastic Rod Has Been Bent Into A Circle The electric potential at the center (c) of the circle formed by the rod is zero due to the symmetry and cancellations of charges. A plastic rod has been bent into a circle of radius r = 8.20 c m. A plastic rod has been bent into a circle of radius r = 8.20 cm. We know that the formula. A Plastic Rod Has Been Bent Into A Circle.
From www.numerade.com
SOLVED A plastic rod has been bent into a circle of radius R = 10.8 cm A Plastic Rod Has Been Bent Into A Circle Q25p (page 711) a plastic rod has been bent into a circle of radius r = 8.20 cm. The electric potential at the center (c) of the circle formed by the rod is zero due to the symmetry and cancellations of charges. A plastic rod has been bent into a circle of radius r = 10.9 cm. It has a. A Plastic Rod Has Been Bent Into A Circle.
From www.chegg.com
Solved A plastic rod has been bent into a circle of radius R A Plastic Rod Has Been Bent Into A Circle A plastic rod has been bent into a circle of radius r = 8.20 c m. A plastic rod has been bent into a circle of radius r = 10.9 cm. Q25p (page 711) a plastic rod has been bent into a circle of radius r = 8.20 cm. It has a charge q1. A plastic rod has been bent. A Plastic Rod Has Been Bent Into A Circle.
From www.chegg.com
Solved A plastic rod has been bent into a circle of radius R A Plastic Rod Has Been Bent Into A Circle It has a charge q1. A plastic rod has been bent into a circle of radius r = 8.20 c m. The electric potential at the center (c) of the circle formed by the rod is zero due to the symmetry and cancellations of charges. A plastic rod has been bent into a circle of radius r = 8.20 cm.. A Plastic Rod Has Been Bent Into A Circle.
From www.chegg.com
Solved A plastic rod has been bent into a circle of radius R A Plastic Rod Has Been Bent Into A Circle It has a charge q1. We know that the formula to find the electric. A plastic rod has been bent into a circle of radius r = 8.20 cm. A plastic rod has been bent into a circle of radius r = 8.20 c m. Q25p (page 711) a plastic rod has been bent into a circle of radius r. A Plastic Rod Has Been Bent Into A Circle.
From www.numerade.com
SOLVED 'Aplastic rod has been bent into circle of radius R = [0.0 cm A Plastic Rod Has Been Bent Into A Circle A plastic rod has been bent into a circle of radius r = 8.20 cm. A plastic rod has been bent into a circle of radius r = 10.9 cm. Q25p (page 711) a plastic rod has been bent into a circle of radius r = 8.20 cm. A plastic rod has been bent into a circle of radius r. A Plastic Rod Has Been Bent Into A Circle.
From www.chegg.com
Solved A plastic rod has been bent into a circle of radius A Plastic Rod Has Been Bent Into A Circle The electric potential at the center (c) of the circle formed by the rod is zero due to the symmetry and cancellations of charges. A plastic rod has been bent into a circle of radius r = 8.20 cm. It has a charge q1. A plastic rod has been bent into a circle of radius r = 8.20 c m.. A Plastic Rod Has Been Bent Into A Circle.
From www.chegg.com
Solved •25 A plastic rod has been bent into a circle of A Plastic Rod Has Been Bent Into A Circle We know that the formula to find the electric. The electric potential at the center (c) of the circle formed by the rod is zero due to the symmetry and cancellations of charges. A plastic rod has been bent into a circle of radius r = 8.20 c m. Q25p (page 711) a plastic rod has been bent into a. A Plastic Rod Has Been Bent Into A Circle.
From www.chegg.com
Solved A plastic rod has been bent into a circle of r dius R A Plastic Rod Has Been Bent Into A Circle We know that the formula to find the electric. A plastic rod has been bent into a circle of radius r = 8.20 c m. A plastic rod has been bent into a circle of radius r = 10.9 cm. A plastic rod has been bent into a circle of radius r = 8.20 cm. The electric potential at the. A Plastic Rod Has Been Bent Into A Circle.
From www.chegg.com
Solved = = 3) (8 points) A plastic rod has been bent into a A Plastic Rod Has Been Bent Into A Circle A plastic rod has been bent into a circle of radius r = 10.9 cm. Q25p (page 711) a plastic rod has been bent into a circle of radius r = 8.20 cm. We know that the formula to find the electric. The electric potential at the center (c) of the circle formed by the rod is zero due to. A Plastic Rod Has Been Bent Into A Circle.
From www.chegg.com
Solved D. 21.9 V 20) A plastic rod has been bent into a A Plastic Rod Has Been Bent Into A Circle A plastic rod has been bent into a circle of radius r = 8.20 c m. A plastic rod has been bent into a circle of radius r = 8.20 cm. A plastic rod has been bent into a circle of radius r = 10.9 cm. Q25p (page 711) a plastic rod has been bent into a circle of radius. A Plastic Rod Has Been Bent Into A Circle.
From www.doubtnut.com
A plastic rod has been formed into a circle of radius R. It has a posi A Plastic Rod Has Been Bent Into A Circle A plastic rod has been bent into a circle of radius r = 8.20 cm. A plastic rod has been bent into a circle of radius r = 10.9 cm. It has a charge q1. Q25p (page 711) a plastic rod has been bent into a circle of radius r = 8.20 cm. The electric potential at the center (c). A Plastic Rod Has Been Bent Into A Circle.
From www.youtube.com
A plastic rod has been bent into a circle of radius YouTube A Plastic Rod Has Been Bent Into A Circle We know that the formula to find the electric. A plastic rod has been bent into a circle of radius r = 8.20 cm. It has a charge q1. A plastic rod has been bent into a circle of radius r = 10.9 cm. Q25p (page 711) a plastic rod has been bent into a circle of radius r =. A Plastic Rod Has Been Bent Into A Circle.
From exoervpdg.blob.core.windows.net
Plastic Rod Has Been Bent Into A Circle Of at Antonio Bullard blog A Plastic Rod Has Been Bent Into A Circle The electric potential at the center (c) of the circle formed by the rod is zero due to the symmetry and cancellations of charges. A plastic rod has been bent into a circle of radius r = 8.20 cm. A plastic rod has been bent into a circle of radius r = 10.9 cm. Q25p (page 711) a plastic rod. A Plastic Rod Has Been Bent Into A Circle.
From exoervpdg.blob.core.windows.net
Plastic Rod Has Been Bent Into A Circle Of at Antonio Bullard blog A Plastic Rod Has Been Bent Into A Circle We know that the formula to find the electric. Q25p (page 711) a plastic rod has been bent into a circle of radius r = 8.20 cm. The electric potential at the center (c) of the circle formed by the rod is zero due to the symmetry and cancellations of charges. A plastic rod has been bent into a circle. A Plastic Rod Has Been Bent Into A Circle.
From www.numerade.com
SOLVED A plastic rod has been bent into a circle of radius R=8.20 cm A Plastic Rod Has Been Bent Into A Circle The electric potential at the center (c) of the circle formed by the rod is zero due to the symmetry and cancellations of charges. We know that the formula to find the electric. A plastic rod has been bent into a circle of radius r = 8.20 cm. Q25p (page 711) a plastic rod has been bent into a circle. A Plastic Rod Has Been Bent Into A Circle.
From www.chegg.com
Solved A thin plastic rod is bent into an arc of radius R A Plastic Rod Has Been Bent Into A Circle A plastic rod has been bent into a circle of radius r = 8.20 c m. A plastic rod has been bent into a circle of radius r = 10.9 cm. The electric potential at the center (c) of the circle formed by the rod is zero due to the symmetry and cancellations of charges. Q25p (page 711) a plastic. A Plastic Rod Has Been Bent Into A Circle.
From www.chegg.com
Solved A plastic rod has been bent into a circle of radius R A Plastic Rod Has Been Bent Into A Circle A plastic rod has been bent into a circle of radius r = 8.20 c m. A plastic rod has been bent into a circle of radius r = 8.20 cm. The electric potential at the center (c) of the circle formed by the rod is zero due to the symmetry and cancellations of charges. We know that the formula. A Plastic Rod Has Been Bent Into A Circle.
From www.toppr.com
A plastic rod has been bent into a circle of radius R=8.20 cm. It has a A Plastic Rod Has Been Bent Into A Circle We know that the formula to find the electric. A plastic rod has been bent into a circle of radius r = 10.9 cm. Q25p (page 711) a plastic rod has been bent into a circle of radius r = 8.20 cm. The electric potential at the center (c) of the circle formed by the rod is zero due to. A Plastic Rod Has Been Bent Into A Circle.
From exoervpdg.blob.core.windows.net
Plastic Rod Has Been Bent Into A Circle Of at Antonio Bullard blog A Plastic Rod Has Been Bent Into A Circle It has a charge q1. A plastic rod has been bent into a circle of radius r = 10.9 cm. Q25p (page 711) a plastic rod has been bent into a circle of radius r = 8.20 cm. We know that the formula to find the electric. The electric potential at the center (c) of the circle formed by the. A Plastic Rod Has Been Bent Into A Circle.
From www.chegg.com
Solved Information P Flag A plastic rod has been bent into a A Plastic Rod Has Been Bent Into A Circle We know that the formula to find the electric. A plastic rod has been bent into a circle of radius r = 8.20 cm. Q25p (page 711) a plastic rod has been bent into a circle of radius r = 8.20 cm. The electric potential at the center (c) of the circle formed by the rod is zero due to. A Plastic Rod Has Been Bent Into A Circle.