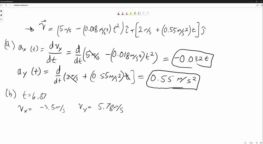
A Remote Controlled Car Is Moving In A Vacant Parking Lot . The velocity of the car as a function of time is given by v. The magnitude of the velocity at t = 7.93 s is. The velocity of the car as a function of time is given by ๐ฃ = [5.00๐/๐ โ. The velocity of the car as a function of time is given by ๐ฃ = [5.00๐/๐ โ. The velocity of the car as a function of time is given by v = [5.00 m/s โ (0.0180 m/s3)t2]รฎ + [2.00 m/s + (0.550 m/s2)t]ฤต.
from www.chegg.com
The velocity of the car as a function of time is given by v = [5.00 m/s โ (0.0180 m/s3)t2]รฎ + [2.00 m/s + (0.550 m/s2)t]ฤต. The velocity of the car as a function of time is given by ๐ฃ = [5.00๐/๐ โ. The velocity of the car as a function of time is given by v. The magnitude of the velocity at t = 7.93 s is. The velocity of the car as a function of time is given by ๐ฃ = [5.00๐/๐ โ.
Solved A remotecontrolled car is moving in a vacant parking
A Remote Controlled Car Is Moving In A Vacant Parking Lot The magnitude of the velocity at t = 7.93 s is. The velocity of the car as a function of time is given by v = [5.00 m/s โ (0.0180 m/s3)t2]รฎ + [2.00 m/s + (0.550 m/s2)t]ฤต. The velocity of the car as a function of time is given by ๐ฃ = [5.00๐/๐ โ. The magnitude of the velocity at t = 7.93 s is. The velocity of the car as a function of time is given by ๐ฃ = [5.00๐/๐ โ. The velocity of the car as a function of time is given by v.
From www.chegg.com
Solved A remotecontrolled car is moving in a vacant parking A Remote Controlled Car Is Moving In A Vacant Parking Lot The magnitude of the velocity at t = 7.93 s is. The velocity of the car as a function of time is given by v = [5.00 m/s โ (0.0180 m/s3)t2]รฎ + [2.00 m/s + (0.550 m/s2)t]ฤต. The velocity of the car as a function of time is given by v. The velocity of the car as a function of. A Remote Controlled Car Is Moving In A Vacant Parking Lot.
From www.chegg.com
Solved A remotecontrolled car is moving in a vacant parking A Remote Controlled Car Is Moving In A Vacant Parking Lot The velocity of the car as a function of time is given by ๐ฃ = [5.00๐/๐ โ. The velocity of the car as a function of time is given by v. The velocity of the car as a function of time is given by ๐ฃ = [5.00๐/๐ โ. The velocity of the car as a function of time is given. A Remote Controlled Car Is Moving In A Vacant Parking Lot.
From www.chegg.com
Solved A remotecontrolled car is moving in a vacant parking A Remote Controlled Car Is Moving In A Vacant Parking Lot The velocity of the car as a function of time is given by v. The velocity of the car as a function of time is given by ๐ฃ = [5.00๐/๐ โ. The velocity of the car as a function of time is given by ๐ฃ = [5.00๐/๐ โ. The velocity of the car as a function of time is given. A Remote Controlled Car Is Moving In A Vacant Parking Lot.
From www.chegg.com
Solved A remotecontrolled car is moving in a vacant parking A Remote Controlled Car Is Moving In A Vacant Parking Lot The velocity of the car as a function of time is given by v. The velocity of the car as a function of time is given by v = [5.00 m/s โ (0.0180 m/s3)t2]รฎ + [2.00 m/s + (0.550 m/s2)t]ฤต. The velocity of the car as a function of time is given by ๐ฃ = [5.00๐/๐ โ. The velocity of. A Remote Controlled Car Is Moving In A Vacant Parking Lot.
From www.chegg.com
Solved A remotecontrolled car is moving in a vacant parking A Remote Controlled Car Is Moving In A Vacant Parking Lot The magnitude of the velocity at t = 7.93 s is. The velocity of the car as a function of time is given by v. The velocity of the car as a function of time is given by ๐ฃ = [5.00๐/๐ โ. The velocity of the car as a function of time is given by v = [5.00 m/s โ. A Remote Controlled Car Is Moving In A Vacant Parking Lot.
From www.chegg.com
Solved A remotecontrolled car is moving in a vacant parking A Remote Controlled Car Is Moving In A Vacant Parking Lot The velocity of the car as a function of time is given by ๐ฃ = [5.00๐/๐ โ. The magnitude of the velocity at t = 7.93 s is. The velocity of the car as a function of time is given by ๐ฃ = [5.00๐/๐ โ. The velocity of the car as a function of time is given by v =. A Remote Controlled Car Is Moving In A Vacant Parking Lot.
From www.chegg.com
Solved . CALC A remotecontrolled car is moving in a vacant A Remote Controlled Car Is Moving In A Vacant Parking Lot The velocity of the car as a function of time is given by ๐ฃ = [5.00๐/๐ โ. The velocity of the car as a function of time is given by v = [5.00 m/s โ (0.0180 m/s3)t2]รฎ + [2.00 m/s + (0.550 m/s2)t]ฤต. The velocity of the car as a function of time is given by v. The magnitude of. A Remote Controlled Car Is Moving In A Vacant Parking Lot.
From www.chegg.com
Solved A girl operates a radiocontrolled model car in a A Remote Controlled Car Is Moving In A Vacant Parking Lot The velocity of the car as a function of time is given by v. The velocity of the car as a function of time is given by ๐ฃ = [5.00๐/๐ โ. The velocity of the car as a function of time is given by v = [5.00 m/s โ (0.0180 m/s3)t2]รฎ + [2.00 m/s + (0.550 m/s2)t]ฤต. The magnitude of. A Remote Controlled Car Is Moving In A Vacant Parking Lot.
From www.solutionspile.com
[Solved] A remotecontrolled car is moving in a vacant par A Remote Controlled Car Is Moving In A Vacant Parking Lot The velocity of the car as a function of time is given by v. The velocity of the car as a function of time is given by ๐ฃ = [5.00๐/๐ โ. The magnitude of the velocity at t = 7.93 s is. The velocity of the car as a function of time is given by v = [5.00 m/s โ. A Remote Controlled Car Is Moving In A Vacant Parking Lot.
From www.chegg.com
A remotecontrolled car is moving in a vacant parking A Remote Controlled Car Is Moving In A Vacant Parking Lot The velocity of the car as a function of time is given by ๐ฃ = [5.00๐/๐ โ. The velocity of the car as a function of time is given by v = [5.00 m/s โ (0.0180 m/s3)t2]รฎ + [2.00 m/s + (0.550 m/s2)t]ฤต. The velocity of the car as a function of time is given by v. The velocity of. A Remote Controlled Car Is Moving In A Vacant Parking Lot.
From www.creativefabrica.com
Vacant Parking Lot in Front of Shopping Center ยท Creative Fabrica A Remote Controlled Car Is Moving In A Vacant Parking Lot The velocity of the car as a function of time is given by v = [5.00 m/s โ (0.0180 m/s3)t2]รฎ + [2.00 m/s + (0.550 m/s2)t]ฤต. The velocity of the car as a function of time is given by ๐ฃ = [5.00๐/๐ โ. The magnitude of the velocity at t = 7.93 s is. The velocity of the car as. A Remote Controlled Car Is Moving In A Vacant Parking Lot.
From autowise.com
10 Best Remote Control Cars For Kids [Buying Guide] AutoWise A Remote Controlled Car Is Moving In A Vacant Parking Lot The magnitude of the velocity at t = 7.93 s is. The velocity of the car as a function of time is given by v. The velocity of the car as a function of time is given by ๐ฃ = [5.00๐/๐ โ. The velocity of the car as a function of time is given by v = [5.00 m/s โ. A Remote Controlled Car Is Moving In A Vacant Parking Lot.
From www.chegg.com
Solved A remotecontrolled car is moving in a vacant parking A Remote Controlled Car Is Moving In A Vacant Parking Lot The velocity of the car as a function of time is given by ๐ฃ = [5.00๐/๐ โ. The magnitude of the velocity at t = 7.93 s is. The velocity of the car as a function of time is given by ๐ฃ = [5.00๐/๐ โ. The velocity of the car as a function of time is given by v =. A Remote Controlled Car Is Moving In A Vacant Parking Lot.
From www.chegg.com
Solved Part C A remotecontrolled car is moving in a vacant A Remote Controlled Car Is Moving In A Vacant Parking Lot The velocity of the car as a function of time is given by v = [5.00 m/s โ (0.0180 m/s3)t2]รฎ + [2.00 m/s + (0.550 m/s2)t]ฤต. The magnitude of the velocity at t = 7.93 s is. The velocity of the car as a function of time is given by v. The velocity of the car as a function of. A Remote Controlled Car Is Moving In A Vacant Parking Lot.
From www.chegg.com
Solved A remotecontrolled car is moving in a vacant parking A Remote Controlled Car Is Moving In A Vacant Parking Lot The magnitude of the velocity at t = 7.93 s is. The velocity of the car as a function of time is given by ๐ฃ = [5.00๐/๐ โ. The velocity of the car as a function of time is given by v. The velocity of the car as a function of time is given by ๐ฃ = [5.00๐/๐ โ. The. A Remote Controlled Car Is Moving In A Vacant Parking Lot.
From www.chegg.com
Solved A remotecontrolled car is moving in a vacant parking A Remote Controlled Car Is Moving In A Vacant Parking Lot The velocity of the car as a function of time is given by v. The velocity of the car as a function of time is given by ๐ฃ = [5.00๐/๐ โ. The velocity of the car as a function of time is given by v = [5.00 m/s โ (0.0180 m/s3)t2]รฎ + [2.00 m/s + (0.550 m/s2)t]ฤต. The velocity of. A Remote Controlled Car Is Moving In A Vacant Parking Lot.
From www.chegg.com
Solved A remotecontrolled car is moving in a vacant parking A Remote Controlled Car Is Moving In A Vacant Parking Lot The velocity of the car as a function of time is given by v = [5.00 m/s โ (0.0180 m/s3)t2]รฎ + [2.00 m/s + (0.550 m/s2)t]ฤต. The velocity of the car as a function of time is given by v. The magnitude of the velocity at t = 7.93 s is. The velocity of the car as a function of. A Remote Controlled Car Is Moving In A Vacant Parking Lot.
From www.chegg.com
Solved A remotecontrolled car is moving in a vacant parking A Remote Controlled Car Is Moving In A Vacant Parking Lot The velocity of the car as a function of time is given by ๐ฃ = [5.00๐/๐ โ. The magnitude of the velocity at t = 7.93 s is. The velocity of the car as a function of time is given by v = [5.00 m/s โ (0.0180 m/s3)t2]รฎ + [2.00 m/s + (0.550 m/s2)t]ฤต. The velocity of the car as. A Remote Controlled Car Is Moving In A Vacant Parking Lot.
From www.chegg.com
Solved A remotecontrolled car is moving in a vacant parking A Remote Controlled Car Is Moving In A Vacant Parking Lot The magnitude of the velocity at t = 7.93 s is. The velocity of the car as a function of time is given by v. The velocity of the car as a function of time is given by ๐ฃ = [5.00๐/๐ โ. The velocity of the car as a function of time is given by ๐ฃ = [5.00๐/๐ โ. The. A Remote Controlled Car Is Moving In A Vacant Parking Lot.
From www.chegg.com
Solved A remotecontrolled car is moving in a vacant parking A Remote Controlled Car Is Moving In A Vacant Parking Lot The velocity of the car as a function of time is given by ๐ฃ = [5.00๐/๐ โ. The velocity of the car as a function of time is given by ๐ฃ = [5.00๐/๐ โ. The velocity of the car as a function of time is given by v = [5.00 m/s โ (0.0180 m/s3)t2]รฎ + [2.00 m/s + (0.550 m/s2)t]ฤต.. A Remote Controlled Car Is Moving In A Vacant Parking Lot.
From www.chegg.com
Solved A remotecontrolled car is moving in a vacant parking A Remote Controlled Car Is Moving In A Vacant Parking Lot The velocity of the car as a function of time is given by ๐ฃ = [5.00๐/๐ โ. The velocity of the car as a function of time is given by v = [5.00 m/s โ (0.0180 m/s3)t2]รฎ + [2.00 m/s + (0.550 m/s2)t]ฤต. The magnitude of the velocity at t = 7.93 s is. The velocity of the car as. A Remote Controlled Car Is Moving In A Vacant Parking Lot.
From www.chegg.com
Solved A girl operates a radiocontrolled model car in a A Remote Controlled Car Is Moving In A Vacant Parking Lot The magnitude of the velocity at t = 7.93 s is. The velocity of the car as a function of time is given by v. The velocity of the car as a function of time is given by ๐ฃ = [5.00๐/๐ โ. The velocity of the car as a function of time is given by v = [5.00 m/s โ. A Remote Controlled Car Is Moving In A Vacant Parking Lot.
From www.chegg.com
Solved A remotecontrolled car is moving in a vacant parking A Remote Controlled Car Is Moving In A Vacant Parking Lot The velocity of the car as a function of time is given by v. The magnitude of the velocity at t = 7.93 s is. The velocity of the car as a function of time is given by v = [5.00 m/s โ (0.0180 m/s3)t2]รฎ + [2.00 m/s + (0.550 m/s2)t]ฤต. The velocity of the car as a function of. A Remote Controlled Car Is Moving In A Vacant Parking Lot.
From www.chegg.com
Solved A remotecontrolled car is moving in a vacant parking A Remote Controlled Car Is Moving In A Vacant Parking Lot The magnitude of the velocity at t = 7.93 s is. The velocity of the car as a function of time is given by ๐ฃ = [5.00๐/๐ โ. The velocity of the car as a function of time is given by v. The velocity of the car as a function of time is given by v = [5.00 m/s โ. A Remote Controlled Car Is Moving In A Vacant Parking Lot.
From www.numerade.com
A remotecontrolled car is moving in a vacant parking lot. The velocity A Remote Controlled Car Is Moving In A Vacant Parking Lot The velocity of the car as a function of time is given by ๐ฃ = [5.00๐/๐ โ. The velocity of the car as a function of time is given by ๐ฃ = [5.00๐/๐ โ. The magnitude of the velocity at t = 7.93 s is. The velocity of the car as a function of time is given by v =. A Remote Controlled Car Is Moving In A Vacant Parking Lot.
From www.chegg.com
Solved A remotecontrolled car is moving in a vacant parking A Remote Controlled Car Is Moving In A Vacant Parking Lot The velocity of the car as a function of time is given by v = [5.00 m/s โ (0.0180 m/s3)t2]รฎ + [2.00 m/s + (0.550 m/s2)t]ฤต. The magnitude of the velocity at t = 7.93 s is. The velocity of the car as a function of time is given by ๐ฃ = [5.00๐/๐ โ. The velocity of the car as. A Remote Controlled Car Is Moving In A Vacant Parking Lot.
From www.chegg.com
Solved A remotecontrolled car is moving in a vacant parking A Remote Controlled Car Is Moving In A Vacant Parking Lot The magnitude of the velocity at t = 7.93 s is. The velocity of the car as a function of time is given by ๐ฃ = [5.00๐/๐ โ. The velocity of the car as a function of time is given by ๐ฃ = [5.00๐/๐ โ. The velocity of the car as a function of time is given by v. The. A Remote Controlled Car Is Moving In A Vacant Parking Lot.
From www.solutionspile.com
[Solved] A remotecontrolled car is moving in a vacant par A Remote Controlled Car Is Moving In A Vacant Parking Lot The velocity of the car as a function of time is given by ๐ฃ = [5.00๐/๐ โ. The magnitude of the velocity at t = 7.93 s is. The velocity of the car as a function of time is given by v = [5.00 m/s โ (0.0180 m/s3)t2]รฎ + [2.00 m/s + (0.550 m/s2)t]ฤต. The velocity of the car as. A Remote Controlled Car Is Moving In A Vacant Parking Lot.
From www.chegg.com
Solved A remotecontrolled car is moving in a vacant parking A Remote Controlled Car Is Moving In A Vacant Parking Lot The velocity of the car as a function of time is given by v. The magnitude of the velocity at t = 7.93 s is. The velocity of the car as a function of time is given by v = [5.00 m/s โ (0.0180 m/s3)t2]รฎ + [2.00 m/s + (0.550 m/s2)t]ฤต. The velocity of the car as a function of. A Remote Controlled Car Is Moving In A Vacant Parking Lot.
From www.dreamstime.com
Vacant parking lot stock photo. Image of commute, mark 51701582 A Remote Controlled Car Is Moving In A Vacant Parking Lot The velocity of the car as a function of time is given by ๐ฃ = [5.00๐/๐ โ. The velocity of the car as a function of time is given by ๐ฃ = [5.00๐/๐ โ. The magnitude of the velocity at t = 7.93 s is. The velocity of the car as a function of time is given by v =. A Remote Controlled Car Is Moving In A Vacant Parking Lot.
From www.chegg.com
Solved A remotecontrolled car is moving in a vacant parking A Remote Controlled Car Is Moving In A Vacant Parking Lot The velocity of the car as a function of time is given by v = [5.00 m/s โ (0.0180 m/s3)t2]รฎ + [2.00 m/s + (0.550 m/s2)t]ฤต. The velocity of the car as a function of time is given by v. The velocity of the car as a function of time is given by ๐ฃ = [5.00๐/๐ โ. The magnitude of. A Remote Controlled Car Is Moving In A Vacant Parking Lot.
From www.chegg.com
Solved A remotecontrolled car is moving in a vacant parking A Remote Controlled Car Is Moving In A Vacant Parking Lot The velocity of the car as a function of time is given by ๐ฃ = [5.00๐/๐ โ. The magnitude of the velocity at t = 7.93 s is. The velocity of the car as a function of time is given by v = [5.00 m/s โ (0.0180 m/s3)t2]รฎ + [2.00 m/s + (0.550 m/s2)t]ฤต. The velocity of the car as. A Remote Controlled Car Is Moving In A Vacant Parking Lot.
From www.chegg.com
Solved A remotecontrolled car is moving in a vacant parking A Remote Controlled Car Is Moving In A Vacant Parking Lot The velocity of the car as a function of time is given by v = [5.00 m/s โ (0.0180 m/s3)t2]รฎ + [2.00 m/s + (0.550 m/s2)t]ฤต. The velocity of the car as a function of time is given by v. The magnitude of the velocity at t = 7.93 s is. The velocity of the car as a function of. A Remote Controlled Car Is Moving In A Vacant Parking Lot.
From quizlet.com
A remotecontrolled car is moving in a vacant parking lot. T Quizlet A Remote Controlled Car Is Moving In A Vacant Parking Lot The velocity of the car as a function of time is given by v. The velocity of the car as a function of time is given by ๐ฃ = [5.00๐/๐ โ. The velocity of the car as a function of time is given by v = [5.00 m/s โ (0.0180 m/s3)t2]รฎ + [2.00 m/s + (0.550 m/s2)t]ฤต. The velocity of. A Remote Controlled Car Is Moving In A Vacant Parking Lot.
From quizlet.com
A remotecontrolled car is moving in a vacant parking lot. T Quizlet A Remote Controlled Car Is Moving In A Vacant Parking Lot The velocity of the car as a function of time is given by ๐ฃ = [5.00๐/๐ โ. The velocity of the car as a function of time is given by v. The magnitude of the velocity at t = 7.93 s is. The velocity of the car as a function of time is given by v = [5.00 m/s โ. A Remote Controlled Car Is Moving In A Vacant Parking Lot.