Texas Real Estate Disclosure . When selling a house in texas, sellers must provide a completed seller’s disclosure form to potential buyers before they make an offer. This article addresses the law applicable to seller. Property condition is a central concern for both sellers and buyers of residential property. This notice is a disclosure of seller's knowledge of the condition of the property as of the date signed by seller and is not a substitute for. This disclosure form is required by sellers of previously occupied single family residences and is to be used in conjunction. Texas requires sellers to disclose basic information, like how long you've owned the property, plus detailed specifics about the property. This form contains a series of questions and checkboxes covering various aspects of the property, including its condition, history, and any known issues. Seller’s disclosures required by law, but they also give buyers important information, reduce risks for sellers, and lower your chances of facing a. This statute says that sellers of single. Seller disclosures in texas are governed by texas property code section § 5.008 (1983).
from www.signnow.com
This statute says that sellers of single. This disclosure form is required by sellers of previously occupied single family residences and is to be used in conjunction. Property condition is a central concern for both sellers and buyers of residential property. Seller’s disclosures required by law, but they also give buyers important information, reduce risks for sellers, and lower your chances of facing a. This form contains a series of questions and checkboxes covering various aspects of the property, including its condition, history, and any known issues. This notice is a disclosure of seller's knowledge of the condition of the property as of the date signed by seller and is not a substitute for. Seller disclosures in texas are governed by texas property code section § 5.008 (1983). This article addresses the law applicable to seller. When selling a house in texas, sellers must provide a completed seller’s disclosure form to potential buyers before they make an offer. Texas requires sellers to disclose basic information, like how long you've owned the property, plus detailed specifics about the property.
Sellers Disclosure Texas PDF 20112024 Form Fill Out and Sign
Texas Real Estate Disclosure This article addresses the law applicable to seller. Property condition is a central concern for both sellers and buyers of residential property. This notice is a disclosure of seller's knowledge of the condition of the property as of the date signed by seller and is not a substitute for. Seller disclosures in texas are governed by texas property code section § 5.008 (1983). This form contains a series of questions and checkboxes covering various aspects of the property, including its condition, history, and any known issues. This disclosure form is required by sellers of previously occupied single family residences and is to be used in conjunction. This article addresses the law applicable to seller. Texas requires sellers to disclose basic information, like how long you've owned the property, plus detailed specifics about the property. This statute says that sellers of single. When selling a house in texas, sellers must provide a completed seller’s disclosure form to potential buyers before they make an offer. Seller’s disclosures required by law, but they also give buyers important information, reduce risks for sellers, and lower your chances of facing a.
From listwithclever.com
Disclosure Requirements for Selling Texas Real Estate Texas Real Estate Disclosure This form contains a series of questions and checkboxes covering various aspects of the property, including its condition, history, and any known issues. When selling a house in texas, sellers must provide a completed seller’s disclosure form to potential buyers before they make an offer. Texas requires sellers to disclose basic information, like how long you've owned the property, plus. Texas Real Estate Disclosure.
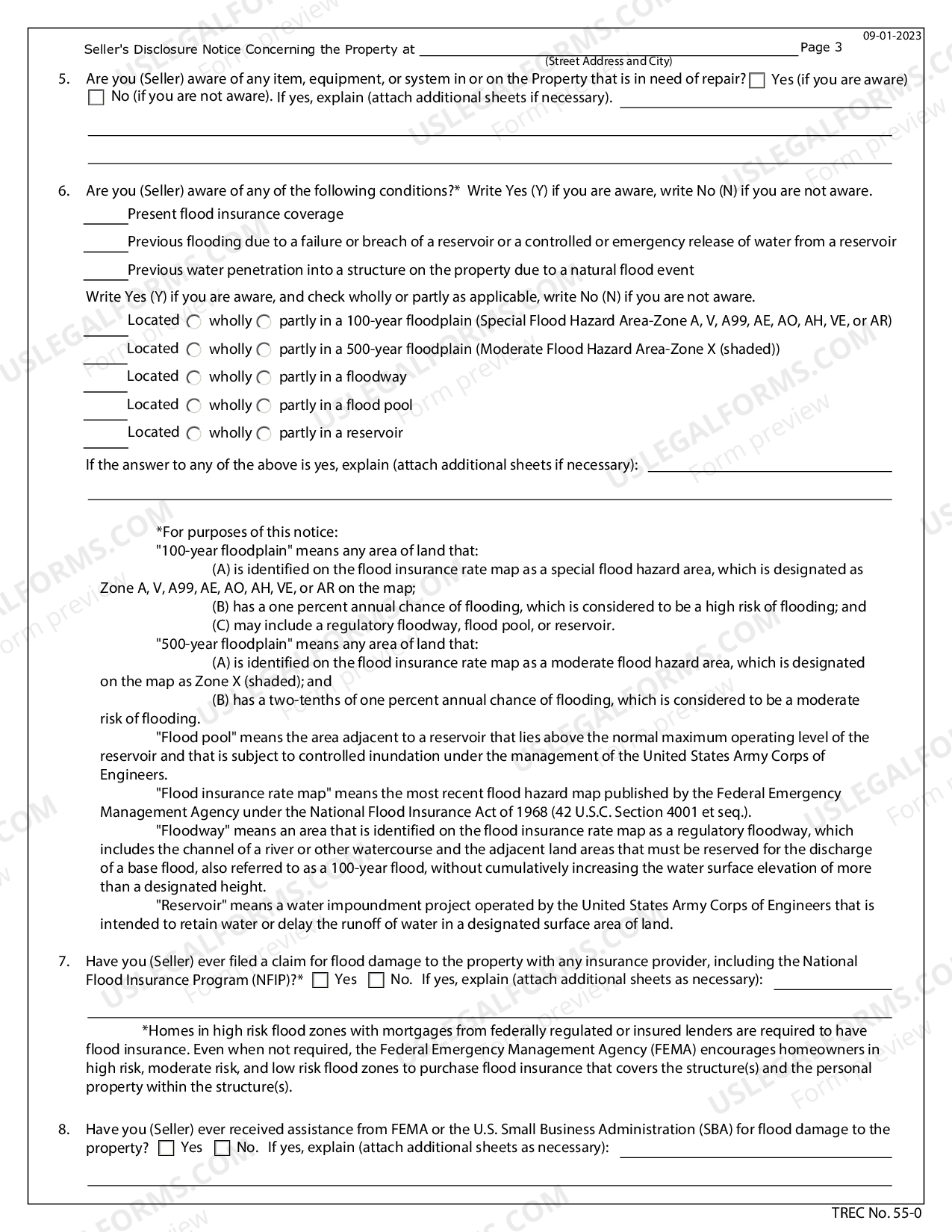
From printableformsfree.com
Texas Real Estate Fillable Seller S Disclosure Form Printable Forms Texas Real Estate Disclosure Texas requires sellers to disclose basic information, like how long you've owned the property, plus detailed specifics about the property. This disclosure form is required by sellers of previously occupied single family residences and is to be used in conjunction. Seller disclosures in texas are governed by texas property code section § 5.008 (1983). When selling a house in texas,. Texas Real Estate Disclosure.
From www.uslegalforms.com
Texas Seller's Disclosure of Property Condition Seller Disclosure Texas Real Estate Disclosure Seller disclosures in texas are governed by texas property code section § 5.008 (1983). Property condition is a central concern for both sellers and buyers of residential property. Seller’s disclosures required by law, but they also give buyers important information, reduce risks for sellers, and lower your chances of facing a. This article addresses the law applicable to seller. Texas. Texas Real Estate Disclosure.
From esign.com
Free Texas Real Estate Listing Agreement PDF Word Texas Real Estate Disclosure Seller disclosures in texas are governed by texas property code section § 5.008 (1983). Seller’s disclosures required by law, but they also give buyers important information, reduce risks for sellers, and lower your chances of facing a. This form contains a series of questions and checkboxes covering various aspects of the property, including its condition, history, and any known issues.. Texas Real Estate Disclosure.
From www.jovio-sand.team
Prepare Your Best Seller's Disclosure Jovio Texas Real Estate Disclosure Texas requires sellers to disclose basic information, like how long you've owned the property, plus detailed specifics about the property. When selling a house in texas, sellers must provide a completed seller’s disclosure form to potential buyers before they make an offer. This form contains a series of questions and checkboxes covering various aspects of the property, including its condition,. Texas Real Estate Disclosure.
From www.houzeo.com
What Are The Seller Disclosure Requirements in Texas? Texas Real Estate Disclosure This notice is a disclosure of seller's knowledge of the condition of the property as of the date signed by seller and is not a substitute for. Seller’s disclosures required by law, but they also give buyers important information, reduce risks for sellers, and lower your chances of facing a. Seller disclosures in texas are governed by texas property code. Texas Real Estate Disclosure.
From www.pinterest.com
Important Disclosures From Texas Real Estate Commission Texas real Texas Real Estate Disclosure This disclosure form is required by sellers of previously occupied single family residences and is to be used in conjunction. This notice is a disclosure of seller's knowledge of the condition of the property as of the date signed by seller and is not a substitute for. This form contains a series of questions and checkboxes covering various aspects of. Texas Real Estate Disclosure.
From www.ramseysolutions.com
Texas Seller’s Disclosure What Is It and Do You Need One? Ramsey Texas Real Estate Disclosure This form contains a series of questions and checkboxes covering various aspects of the property, including its condition, history, and any known issues. Texas requires sellers to disclose basic information, like how long you've owned the property, plus detailed specifics about the property. Seller disclosures in texas are governed by texas property code section § 5.008 (1983). Seller’s disclosures required. Texas Real Estate Disclosure.
From www.uslegalforms.com
Texas Residential Real Estate Sales Disclosure Statement US Legal Forms Texas Real Estate Disclosure This article addresses the law applicable to seller. When selling a house in texas, sellers must provide a completed seller’s disclosure form to potential buyers before they make an offer. This statute says that sellers of single. Texas requires sellers to disclose basic information, like how long you've owned the property, plus detailed specifics about the property. Seller disclosures in. Texas Real Estate Disclosure.
From activerain.com
Texas Seller Disclosure Notice For Homes Texas Real Estate Disclosure This form contains a series of questions and checkboxes covering various aspects of the property, including its condition, history, and any known issues. Seller’s disclosures required by law, but they also give buyers important information, reduce risks for sellers, and lower your chances of facing a. This notice is a disclosure of seller's knowledge of the condition of the property. Texas Real Estate Disclosure.
From www.levelset.com
Texas Residential Disclosure Statement Form Free Template Texas Real Estate Disclosure This disclosure form is required by sellers of previously occupied single family residences and is to be used in conjunction. Seller disclosures in texas are governed by texas property code section § 5.008 (1983). Property condition is a central concern for both sellers and buyers of residential property. When selling a house in texas, sellers must provide a completed seller’s. Texas Real Estate Disclosure.
From www.hoodhomesblog.com
Everything You Need to Know About the Texas Seller's Disclosure Texas Real Estate Disclosure Seller disclosures in texas are governed by texas property code section § 5.008 (1983). This disclosure form is required by sellers of previously occupied single family residences and is to be used in conjunction. Seller’s disclosures required by law, but they also give buyers important information, reduce risks for sellers, and lower your chances of facing a. This form contains. Texas Real Estate Disclosure.
From www.signnow.com
Texas REval Estate Fillable Sellers Disclosure Form Fill Out and Sign Texas Real Estate Disclosure This statute says that sellers of single. This notice is a disclosure of seller's knowledge of the condition of the property as of the date signed by seller and is not a substitute for. Texas requires sellers to disclose basic information, like how long you've owned the property, plus detailed specifics about the property. This article addresses the law applicable. Texas Real Estate Disclosure.
From www.texasrealestatesource.com
Seller’s Disclosure & Inspection Reports The Law Does NOT Say Texas Real Estate Disclosure Seller’s disclosures required by law, but they also give buyers important information, reduce risks for sellers, and lower your chances of facing a. This statute says that sellers of single. When selling a house in texas, sellers must provide a completed seller’s disclosure form to potential buyers before they make an offer. This article addresses the law applicable to seller.. Texas Real Estate Disclosure.
From www.rockproperties.com
August 13, 2022 Seller's Disclosure In A Texas Real Estate Transaction Texas Real Estate Disclosure This statute says that sellers of single. Seller’s disclosures required by law, but they also give buyers important information, reduce risks for sellers, and lower your chances of facing a. This form contains a series of questions and checkboxes covering various aspects of the property, including its condition, history, and any known issues. When selling a house in texas, sellers. Texas Real Estate Disclosure.
From www.youtube.com
Texas Real Estate Commission Disclosures YouTube Texas Real Estate Disclosure This form contains a series of questions and checkboxes covering various aspects of the property, including its condition, history, and any known issues. When selling a house in texas, sellers must provide a completed seller’s disclosure form to potential buyers before they make an offer. Texas requires sellers to disclose basic information, like how long you've owned the property, plus. Texas Real Estate Disclosure.
From printableformsfree.com
Texas Real Estate Fillable Seller S Disclosure Form Printable Forms Texas Real Estate Disclosure This form contains a series of questions and checkboxes covering various aspects of the property, including its condition, history, and any known issues. When selling a house in texas, sellers must provide a completed seller’s disclosure form to potential buyers before they make an offer. Seller’s disclosures required by law, but they also give buyers important information, reduce risks for. Texas Real Estate Disclosure.
From www.uslegalforms.com
Texas Residential Real Estate Sales Disclosure Statement Texas Estate Texas Real Estate Disclosure When selling a house in texas, sellers must provide a completed seller’s disclosure form to potential buyers before they make an offer. Seller disclosures in texas are governed by texas property code section § 5.008 (1983). This statute says that sellers of single. Property condition is a central concern for both sellers and buyers of residential property. Texas requires sellers. Texas Real Estate Disclosure.
From www.signnow.com
Sellers Disclosure Texas PDF 20112024 Form Fill Out and Sign Texas Real Estate Disclosure This notice is a disclosure of seller's knowledge of the condition of the property as of the date signed by seller and is not a substitute for. When selling a house in texas, sellers must provide a completed seller’s disclosure form to potential buyers before they make an offer. This statute says that sellers of single. Seller’s disclosures required by. Texas Real Estate Disclosure.
From www.templateroller.com
Texas Property Disclosure Statement Form Fill Out, Sign Online and Texas Real Estate Disclosure Seller’s disclosures required by law, but they also give buyers important information, reduce risks for sellers, and lower your chances of facing a. This form contains a series of questions and checkboxes covering various aspects of the property, including its condition, history, and any known issues. Texas requires sellers to disclose basic information, like how long you've owned the property,. Texas Real Estate Disclosure.
From www.templateroller.com
Texas Disclosure of Multiple Roles in a Consumer Real Estate Texas Real Estate Disclosure This statute says that sellers of single. This disclosure form is required by sellers of previously occupied single family residences and is to be used in conjunction. This form contains a series of questions and checkboxes covering various aspects of the property, including its condition, history, and any known issues. Seller disclosures in texas are governed by texas property code. Texas Real Estate Disclosure.
From esign.com
Free Texas Real Estate Listing Agreement PDF Word Texas Real Estate Disclosure This notice is a disclosure of seller's knowledge of the condition of the property as of the date signed by seller and is not a substitute for. When selling a house in texas, sellers must provide a completed seller’s disclosure form to potential buyers before they make an offer. Texas requires sellers to disclose basic information, like how long you've. Texas Real Estate Disclosure.
From www.uslegalforms.com
TX Seller Property Disclosure Fill and Sign Printable Template Online Texas Real Estate Disclosure Seller’s disclosures required by law, but they also give buyers important information, reduce risks for sellers, and lower your chances of facing a. Seller disclosures in texas are governed by texas property code section § 5.008 (1983). This notice is a disclosure of seller's knowledge of the condition of the property as of the date signed by seller and is. Texas Real Estate Disclosure.
From www.pdffiller.com
Fillable Online Texas Agency Disclosure Form Fax Email Print pdfFiller Texas Real Estate Disclosure Property condition is a central concern for both sellers and buyers of residential property. Seller disclosures in texas are governed by texas property code section § 5.008 (1983). This notice is a disclosure of seller's knowledge of the condition of the property as of the date signed by seller and is not a substitute for. This disclosure form is required. Texas Real Estate Disclosure.
From www.youtube.com
Property disclosures Texas Real Estate Commission (TREC) Licensing Texas Real Estate Disclosure This form contains a series of questions and checkboxes covering various aspects of the property, including its condition, history, and any known issues. This notice is a disclosure of seller's knowledge of the condition of the property as of the date signed by seller and is not a substitute for. This statute says that sellers of single. This disclosure form. Texas Real Estate Disclosure.
From www.jovio-sand.team
Prepare Your Best Seller's Disclosure Jovio Texas Real Estate Disclosure Texas requires sellers to disclose basic information, like how long you've owned the property, plus detailed specifics about the property. Seller’s disclosures required by law, but they also give buyers important information, reduce risks for sellers, and lower your chances of facing a. This form contains a series of questions and checkboxes covering various aspects of the property, including its. Texas Real Estate Disclosure.
From www.uslegalforms.com
Dallas Texas Seller's Commercial Property Disclosure Statement US Texas Real Estate Disclosure This form contains a series of questions and checkboxes covering various aspects of the property, including its condition, history, and any known issues. Seller disclosures in texas are governed by texas property code section § 5.008 (1983). This notice is a disclosure of seller's knowledge of the condition of the property as of the date signed by seller and is. Texas Real Estate Disclosure.
From howtosellahouseinaustin.blogspot.com
How To Sell a House in Austin Seller's Disclosure Notice Texas Real Estate Disclosure This statute says that sellers of single. Texas requires sellers to disclose basic information, like how long you've owned the property, plus detailed specifics about the property. This disclosure form is required by sellers of previously occupied single family residences and is to be used in conjunction. This article addresses the law applicable to seller. Property condition is a central. Texas Real Estate Disclosure.
From printableformsfree.com
Texas Real Estate Fillable Seller S Disclosure Form Printable Forms Texas Real Estate Disclosure Seller’s disclosures required by law, but they also give buyers important information, reduce risks for sellers, and lower your chances of facing a. Seller disclosures in texas are governed by texas property code section § 5.008 (1983). Property condition is a central concern for both sellers and buyers of residential property. This statute says that sellers of single. This notice. Texas Real Estate Disclosure.
From www.youtube.com
Sellers Disclosure Explanation Texas Real Estate YouTube Texas Real Estate Disclosure Seller disclosures in texas are governed by texas property code section § 5.008 (1983). Texas requires sellers to disclose basic information, like how long you've owned the property, plus detailed specifics about the property. Seller’s disclosures required by law, but they also give buyers important information, reduce risks for sellers, and lower your chances of facing a. This statute says. Texas Real Estate Disclosure.
From www.uslegalforms.com
Frisco Texas Residential Real Estate Sales Disclosure Statement US Texas Real Estate Disclosure This article addresses the law applicable to seller. Texas requires sellers to disclose basic information, like how long you've owned the property, plus detailed specifics about the property. Seller’s disclosures required by law, but they also give buyers important information, reduce risks for sellers, and lower your chances of facing a. This form contains a series of questions and checkboxes. Texas Real Estate Disclosure.
From printableformsfree.com
Texas Real Estate Fillable Seller S Disclosure Form Printable Forms Texas Real Estate Disclosure This notice is a disclosure of seller's knowledge of the condition of the property as of the date signed by seller and is not a substitute for. When selling a house in texas, sellers must provide a completed seller’s disclosure form to potential buyers before they make an offer. Property condition is a central concern for both sellers and buyers. Texas Real Estate Disclosure.
From www.youtube.com
Seller's Disclosures in Texas Real Estate Transactions YouTube Texas Real Estate Disclosure When selling a house in texas, sellers must provide a completed seller’s disclosure form to potential buyers before they make an offer. Property condition is a central concern for both sellers and buyers of residential property. Seller disclosures in texas are governed by texas property code section § 5.008 (1983). This statute says that sellers of single. Texas requires sellers. Texas Real Estate Disclosure.
From www.uslegalforms.com
Texas Residential Real Estate Sales Disclosure Statement US Legal Forms Texas Real Estate Disclosure When selling a house in texas, sellers must provide a completed seller’s disclosure form to potential buyers before they make an offer. This disclosure form is required by sellers of previously occupied single family residences and is to be used in conjunction. Texas requires sellers to disclose basic information, like how long you've owned the property, plus detailed specifics about. Texas Real Estate Disclosure.
From fivestarres.com
2024 Seller Property Disclosure in TX Five Star Real Estate Texas Real Estate Disclosure Seller’s disclosures required by law, but they also give buyers important information, reduce risks for sellers, and lower your chances of facing a. This notice is a disclosure of seller's knowledge of the condition of the property as of the date signed by seller and is not a substitute for. This disclosure form is required by sellers of previously occupied. Texas Real Estate Disclosure.