Is Cos X X Uniformly Continuous . The cosine funtion (so as the sine one) is lipschitzian. The function sin(x) is continuous everywhere. We will say that f is uniformly continuous if it is uniformly continuous on dom(f). The function cos(x) is continuous everywhere. Since $f'(x)$ is unbounded for $x\to\infty$ you cannot. Note that if a function is uniformly continuous on s, then it is. If we can nd a which works for all x0, we can nd one (the same one) which works. If $f'(x)$ were bounded you could conclude that $f$ is uniformly continuous. The function y = tan(x) has the set dtan {x: It is obvious that a uniformly continuous function is continuous: A function \(f:(a, b) \rightarrow \mathbb{r}\) is uniformly continuous if and only if \(f\) can be extended to a continuous function \(\tilde{f}:[a,.
from www.coursehero.com
The function sin(x) is continuous everywhere. We will say that f is uniformly continuous if it is uniformly continuous on dom(f). If $f'(x)$ were bounded you could conclude that $f$ is uniformly continuous. Note that if a function is uniformly continuous on s, then it is. The function y = tan(x) has the set dtan {x: The cosine funtion (so as the sine one) is lipschitzian. The function cos(x) is continuous everywhere. Since $f'(x)$ is unbounded for $x\to\infty$ you cannot. It is obvious that a uniformly continuous function is continuous: A function \(f:(a, b) \rightarrow \mathbb{r}\) is uniformly continuous if and only if \(f\) can be extended to a continuous function \(\tilde{f}:[a,.
[Solved] Prove that f(x) = cos(x ^2 ) is not uniformly continuous on R
Is Cos X X Uniformly Continuous If we can nd a which works for all x0, we can nd one (the same one) which works. Note that if a function is uniformly continuous on s, then it is. The function y = tan(x) has the set dtan {x: The function sin(x) is continuous everywhere. If $f'(x)$ were bounded you could conclude that $f$ is uniformly continuous. It is obvious that a uniformly continuous function is continuous: A function \(f:(a, b) \rightarrow \mathbb{r}\) is uniformly continuous if and only if \(f\) can be extended to a continuous function \(\tilde{f}:[a,. The cosine funtion (so as the sine one) is lipschitzian. Since $f'(x)$ is unbounded for $x\to\infty$ you cannot. The function cos(x) is continuous everywhere. We will say that f is uniformly continuous if it is uniformly continuous on dom(f). If we can nd a which works for all x0, we can nd one (the same one) which works.
From www.numerade.com
SOLVED (a) Determine whether each of the following functions is Is Cos X X Uniformly Continuous The cosine funtion (so as the sine one) is lipschitzian. Since $f'(x)$ is unbounded for $x\to\infty$ you cannot. The function y = tan(x) has the set dtan {x: If we can nd a which works for all x0, we can nd one (the same one) which works. A function \(f:(a, b) \rightarrow \mathbb{r}\) is uniformly continuous if and only if. Is Cos X X Uniformly Continuous.
From www.teachoo.com
Ex 5.1, 21 Discuss continuity of (a) f(x) = sin x + cos x Is Cos X X Uniformly Continuous The function cos(x) is continuous everywhere. If $f'(x)$ were bounded you could conclude that $f$ is uniformly continuous. The cosine funtion (so as the sine one) is lipschitzian. Note that if a function is uniformly continuous on s, then it is. The function y = tan(x) has the set dtan {x: Since $f'(x)$ is unbounded for $x\to\infty$ you cannot. A. Is Cos X X Uniformly Continuous.
From www.teachoo.com
Example 18 Prove that f(x) = tan x is a continuous function Is Cos X X Uniformly Continuous A function \(f:(a, b) \rightarrow \mathbb{r}\) is uniformly continuous if and only if \(f\) can be extended to a continuous function \(\tilde{f}:[a,. If we can nd a which works for all x0, we can nd one (the same one) which works. The function sin(x) is continuous everywhere. It is obvious that a uniformly continuous function is continuous: If $f'(x)$ were. Is Cos X X Uniformly Continuous.
From byjus.com
The solution of inequality cos 2x cos x Is Cos X X Uniformly Continuous Since $f'(x)$ is unbounded for $x\to\infty$ you cannot. If we can nd a which works for all x0, we can nd one (the same one) which works. We will say that f is uniformly continuous if it is uniformly continuous on dom(f). If $f'(x)$ were bounded you could conclude that $f$ is uniformly continuous. Note that if a function is. Is Cos X X Uniformly Continuous.
From www.teachoo.com
Example 19 Show that f(x) = sin (x2) is continuous Examples Is Cos X X Uniformly Continuous If $f'(x)$ were bounded you could conclude that $f$ is uniformly continuous. The function cos(x) is continuous everywhere. Note that if a function is uniformly continuous on s, then it is. We will say that f is uniformly continuous if it is uniformly continuous on dom(f). A function \(f:(a, b) \rightarrow \mathbb{r}\) is uniformly continuous if and only if \(f\). Is Cos X X Uniformly Continuous.
From www.youtube.com
Continuous Uniform Distribution (3) E(X), Var(X), F(X Is Cos X X Uniformly Continuous Note that if a function is uniformly continuous on s, then it is. The function y = tan(x) has the set dtan {x: Since $f'(x)$ is unbounded for $x\to\infty$ you cannot. We will say that f is uniformly continuous if it is uniformly continuous on dom(f). The function sin(x) is continuous everywhere. If we can nd a which works for. Is Cos X X Uniformly Continuous.
From www.numerade.com
SOLVED 3.4.2. Prove that each of the following functions is uniformly Is Cos X X Uniformly Continuous The function sin(x) is continuous everywhere. Since $f'(x)$ is unbounded for $x\to\infty$ you cannot. The function cos(x) is continuous everywhere. The cosine funtion (so as the sine one) is lipschitzian. If $f'(x)$ were bounded you could conclude that $f$ is uniformly continuous. If we can nd a which works for all x0, we can nd one (the same one) which. Is Cos X X Uniformly Continuous.
From www.numerade.com
SOLVED Using that sin(2) Is Cos X X Uniformly Continuous If we can nd a which works for all x0, we can nd one (the same one) which works. A function \(f:(a, b) \rightarrow \mathbb{r}\) is uniformly continuous if and only if \(f\) can be extended to a continuous function \(\tilde{f}:[a,. Note that if a function is uniformly continuous on s, then it is. We will say that f is. Is Cos X X Uniformly Continuous.
From www.i-ciencias.com
[Resuelta] analisisreal Continuidad uniforme de la Is Cos X X Uniformly Continuous Note that if a function is uniformly continuous on s, then it is. It is obvious that a uniformly continuous function is continuous: The function cos(x) is continuous everywhere. Since $f'(x)$ is unbounded for $x\to\infty$ you cannot. The function y = tan(x) has the set dtan {x: If $f'(x)$ were bounded you could conclude that $f$ is uniformly continuous. If. Is Cos X X Uniformly Continuous.
From study.com
Differentiating f(x)=cosx Using a Specific Rule Calculus Is Cos X X Uniformly Continuous It is obvious that a uniformly continuous function is continuous: The cosine funtion (so as the sine one) is lipschitzian. Note that if a function is uniformly continuous on s, then it is. A function \(f:(a, b) \rightarrow \mathbb{r}\) is uniformly continuous if and only if \(f\) can be extended to a continuous function \(\tilde{f}:[a,. If $f'(x)$ were bounded you. Is Cos X X Uniformly Continuous.
From www.numerade.com
SOLVED Let f(x) = cos(1/x). Determine if f(x) is uniformly continuous Is Cos X X Uniformly Continuous Since $f'(x)$ is unbounded for $x\to\infty$ you cannot. The function cos(x) is continuous everywhere. If $f'(x)$ were bounded you could conclude that $f$ is uniformly continuous. A function \(f:(a, b) \rightarrow \mathbb{r}\) is uniformly continuous if and only if \(f\) can be extended to a continuous function \(\tilde{f}:[a,. It is obvious that a uniformly continuous function is continuous: The cosine. Is Cos X X Uniformly Continuous.
From www.numerade.com
SOLVED 3.4.2. Prove that each of the following functions is uniformly Is Cos X X Uniformly Continuous The cosine funtion (so as the sine one) is lipschitzian. The function sin(x) is continuous everywhere. The function y = tan(x) has the set dtan {x: If $f'(x)$ were bounded you could conclude that $f$ is uniformly continuous. The function cos(x) is continuous everywhere. If we can nd a which works for all x0, we can nd one (the same. Is Cos X X Uniformly Continuous.
From quizlet.com
Construct a table of values for cos x, x = 0, 0.1, 0.2,, Quizlet Is Cos X X Uniformly Continuous The cosine funtion (so as the sine one) is lipschitzian. The function sin(x) is continuous everywhere. If we can nd a which works for all x0, we can nd one (the same one) which works. Since $f'(x)$ is unbounded for $x\to\infty$ you cannot. It is obvious that a uniformly continuous function is continuous: If $f'(x)$ were bounded you could conclude. Is Cos X X Uniformly Continuous.
From www.numerade.com
SOLVEDShow that the function f x →sinx is uniformly continuous on S={x∞ Is Cos X X Uniformly Continuous The function y = tan(x) has the set dtan {x: The cosine funtion (so as the sine one) is lipschitzian. We will say that f is uniformly continuous if it is uniformly continuous on dom(f). Note that if a function is uniformly continuous on s, then it is. If we can nd a which works for all x0, we can. Is Cos X X Uniformly Continuous.
From www.coursehero.com
[Solved] Prove that f(x) = cos(x ^2 ) is not uniformly continuous on R Is Cos X X Uniformly Continuous Since $f'(x)$ is unbounded for $x\to\infty$ you cannot. The function sin(x) is continuous everywhere. The function cos(x) is continuous everywhere. A function \(f:(a, b) \rightarrow \mathbb{r}\) is uniformly continuous if and only if \(f\) can be extended to a continuous function \(\tilde{f}:[a,. Note that if a function is uniformly continuous on s, then it is. If $f'(x)$ were bounded you. Is Cos X X Uniformly Continuous.
From www.coursehero.com
[Solved] Prove that f(x) = cos(x ^2 ) is not uniformly continuous on R Is Cos X X Uniformly Continuous Since $f'(x)$ is unbounded for $x\to\infty$ you cannot. If we can nd a which works for all x0, we can nd one (the same one) which works. It is obvious that a uniformly continuous function is continuous: If $f'(x)$ were bounded you could conclude that $f$ is uniformly continuous. The function y = tan(x) has the set dtan {x: A. Is Cos X X Uniformly Continuous.
From www.teachoo.com
Ex 5.1, 24 Determine if f(x) = {x2 sin 1/x, 0 is continuous Is Cos X X Uniformly Continuous If $f'(x)$ were bounded you could conclude that $f$ is uniformly continuous. Since $f'(x)$ is unbounded for $x\to\infty$ you cannot. The cosine funtion (so as the sine one) is lipschitzian. The function y = tan(x) has the set dtan {x: A function \(f:(a, b) \rightarrow \mathbb{r}\) is uniformly continuous if and only if \(f\) can be extended to a continuous. Is Cos X X Uniformly Continuous.
From www.doubtnut.com
If f(x) = is continuous at x=0, where f(x)=((1cos2x)(3+cos x))/(x t Is Cos X X Uniformly Continuous The function y = tan(x) has the set dtan {x: Note that if a function is uniformly continuous on s, then it is. The cosine funtion (so as the sine one) is lipschitzian. If we can nd a which works for all x0, we can nd one (the same one) which works. The function sin(x) is continuous everywhere. A function. Is Cos X X Uniformly Continuous.
From www.coursehero.com
[Solved] ) Prove that f(x) = cos(x^2 ) is not uniformly continuous on R Is Cos X X Uniformly Continuous A function \(f:(a, b) \rightarrow \mathbb{r}\) is uniformly continuous if and only if \(f\) can be extended to a continuous function \(\tilde{f}:[a,. If we can nd a which works for all x0, we can nd one (the same one) which works. If $f'(x)$ were bounded you could conclude that $f$ is uniformly continuous. Note that if a function is uniformly. Is Cos X X Uniformly Continuous.
From math.stackexchange.com
uniform continuity f(x)=cos(x^2) is not uniformly continuous Is Cos X X Uniformly Continuous If $f'(x)$ were bounded you could conclude that $f$ is uniformly continuous. A function \(f:(a, b) \rightarrow \mathbb{r}\) is uniformly continuous if and only if \(f\) can be extended to a continuous function \(\tilde{f}:[a,. We will say that f is uniformly continuous if it is uniformly continuous on dom(f). Since $f'(x)$ is unbounded for $x\to\infty$ you cannot. The function cos(x). Is Cos X X Uniformly Continuous.
From www.yawin.in
Find the derivatives of cos x from the first principle Yawin Is Cos X X Uniformly Continuous The function sin(x) is continuous everywhere. The function cos(x) is continuous everywhere. Since $f'(x)$ is unbounded for $x\to\infty$ you cannot. If we can nd a which works for all x0, we can nd one (the same one) which works. The cosine funtion (so as the sine one) is lipschitzian. It is obvious that a uniformly continuous function is continuous: If. Is Cos X X Uniformly Continuous.
From www.numerade.com
SOLVED Show that ∑n=1^∞(1)/(n^2)cos n x converges uniformly on ℝ to a Is Cos X X Uniformly Continuous We will say that f is uniformly continuous if it is uniformly continuous on dom(f). Note that if a function is uniformly continuous on s, then it is. The cosine funtion (so as the sine one) is lipschitzian. The function sin(x) is continuous everywhere. If we can nd a which works for all x0, we can nd one (the same. Is Cos X X Uniformly Continuous.
From www.numerade.com
SOLVED Which of the following functions is uniformly continuous on its Is Cos X X Uniformly Continuous Since $f'(x)$ is unbounded for $x\to\infty$ you cannot. The cosine funtion (so as the sine one) is lipschitzian. The function sin(x) is continuous everywhere. If $f'(x)$ were bounded you could conclude that $f$ is uniformly continuous. A function \(f:(a, b) \rightarrow \mathbb{r}\) is uniformly continuous if and only if \(f\) can be extended to a continuous function \(\tilde{f}:[a,. The function. Is Cos X X Uniformly Continuous.
From www.doubtnut.com
If f(x) = (e^(x^2)cos x)/(x^(2)), "for" x != 0 is continuous at x = 0 Is Cos X X Uniformly Continuous The function y = tan(x) has the set dtan {x: The function sin(x) is continuous everywhere. If $f'(x)$ were bounded you could conclude that $f$ is uniformly continuous. Since $f'(x)$ is unbounded for $x\to\infty$ you cannot. Note that if a function is uniformly continuous on s, then it is. It is obvious that a uniformly continuous function is continuous: The. Is Cos X X Uniformly Continuous.
From www.youtube.com
How to Prove that f(x) = cos(x) is Uniformly Continuous YouTube Is Cos X X Uniformly Continuous Since $f'(x)$ is unbounded for $x\to\infty$ you cannot. The function y = tan(x) has the set dtan {x: If we can nd a which works for all x0, we can nd one (the same one) which works. If $f'(x)$ were bounded you could conclude that $f$ is uniformly continuous. Note that if a function is uniformly continuous on s, then. Is Cos X X Uniformly Continuous.
From www.doubtnut.com
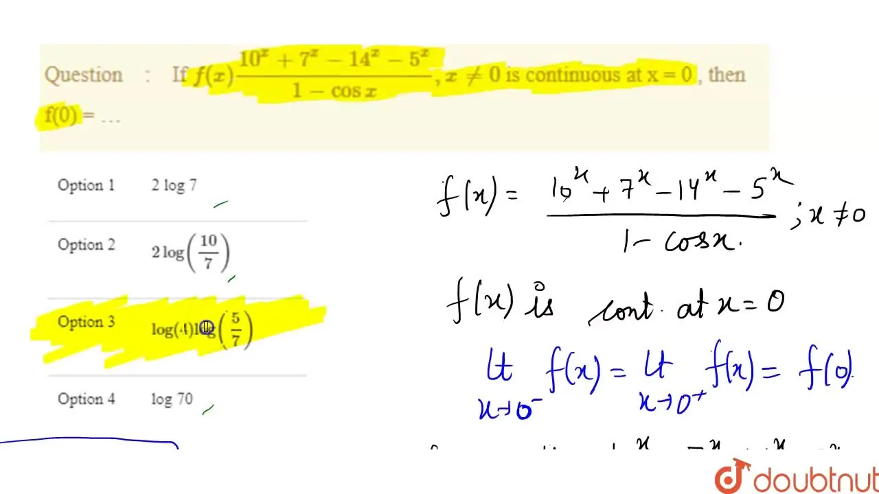
If f(x) (10^(x)+7^(x)14^(x)5^(x))/(1cos x), x != 0 is continuous Is Cos X X Uniformly Continuous If we can nd a which works for all x0, we can nd one (the same one) which works. The function y = tan(x) has the set dtan {x: A function \(f:(a, b) \rightarrow \mathbb{r}\) is uniformly continuous if and only if \(f\) can be extended to a continuous function \(\tilde{f}:[a,. The function cos(x) is continuous everywhere. The cosine funtion. Is Cos X X Uniformly Continuous.
From www.chegg.com
Solved 1. Is f(x) uniformly continuous on R? Justify your Is Cos X X Uniformly Continuous The function sin(x) is continuous everywhere. If we can nd a which works for all x0, we can nd one (the same one) which works. If $f'(x)$ were bounded you could conclude that $f$ is uniformly continuous. Since $f'(x)$ is unbounded for $x\to\infty$ you cannot. Note that if a function is uniformly continuous on s, then it is. The function. Is Cos X X Uniformly Continuous.
From slideplayer.com
Chapter 5 Limits and Continuity. ppt download Is Cos X X Uniformly Continuous Note that if a function is uniformly continuous on s, then it is. If $f'(x)$ were bounded you could conclude that $f$ is uniformly continuous. A function \(f:(a, b) \rightarrow \mathbb{r}\) is uniformly continuous if and only if \(f\) can be extended to a continuous function \(\tilde{f}:[a,. The function y = tan(x) has the set dtan {x: We will say. Is Cos X X Uniformly Continuous.
From www.reddit.com
I don't get why sin is uniformly continuous r/mathematics Is Cos X X Uniformly Continuous A function \(f:(a, b) \rightarrow \mathbb{r}\) is uniformly continuous if and only if \(f\) can be extended to a continuous function \(\tilde{f}:[a,. The function cos(x) is continuous everywhere. Note that if a function is uniformly continuous on s, then it is. We will say that f is uniformly continuous if it is uniformly continuous on dom(f). The function y =. Is Cos X X Uniformly Continuous.
From www.coursehero.com
[Solved] Prove that f(x) = cos(x ^2 ) is not uniformly continuous on R Is Cos X X Uniformly Continuous If $f'(x)$ were bounded you could conclude that $f$ is uniformly continuous. The function sin(x) is continuous everywhere. We will say that f is uniformly continuous if it is uniformly continuous on dom(f). The function y = tan(x) has the set dtan {x: A function \(f:(a, b) \rightarrow \mathbb{r}\) is uniformly continuous if and only if \(f\) can be extended. Is Cos X X Uniformly Continuous.
From www.numerade.com
SOLVED Prove that f(x) = cos(x ^2 ) is not uniformly continuous on R Is Cos X X Uniformly Continuous It is obvious that a uniformly continuous function is continuous: Since $f'(x)$ is unbounded for $x\to\infty$ you cannot. If $f'(x)$ were bounded you could conclude that $f$ is uniformly continuous. The function y = tan(x) has the set dtan {x: We will say that f is uniformly continuous if it is uniformly continuous on dom(f). The function sin(x) is continuous. Is Cos X X Uniformly Continuous.
From www.youtube.com
Proof of lim (1cos x)/x as x approaches 0 Calculus Limits and Is Cos X X Uniformly Continuous If $f'(x)$ were bounded you could conclude that $f$ is uniformly continuous. The function y = tan(x) has the set dtan {x: The function sin(x) is continuous everywhere. Note that if a function is uniformly continuous on s, then it is. If we can nd a which works for all x0, we can nd one (the same one) which works.. Is Cos X X Uniformly Continuous.
From www.numerade.com
SOLVED Prove that f(x) = x*sin(1/(x^2)) is uniformly continuous on (0 Is Cos X X Uniformly Continuous A function \(f:(a, b) \rightarrow \mathbb{r}\) is uniformly continuous if and only if \(f\) can be extended to a continuous function \(\tilde{f}:[a,. The cosine funtion (so as the sine one) is lipschitzian. The function y = tan(x) has the set dtan {x: We will say that f is uniformly continuous if it is uniformly continuous on dom(f). Note that if. Is Cos X X Uniformly Continuous.
From www.chegg.com
Solved (3) Prove that f(x) = sin x is uniformly continuous Is Cos X X Uniformly Continuous It is obvious that a uniformly continuous function is continuous: The cosine funtion (so as the sine one) is lipschitzian. Note that if a function is uniformly continuous on s, then it is. The function y = tan(x) has the set dtan {x: If $f'(x)$ were bounded you could conclude that $f$ is uniformly continuous. A function \(f:(a, b) \rightarrow. Is Cos X X Uniformly Continuous.
From scoop.eduncle.com
If x is a continuous variable which is uniformly distributed over the Is Cos X X Uniformly Continuous Note that if a function is uniformly continuous on s, then it is. If we can nd a which works for all x0, we can nd one (the same one) which works. Since $f'(x)$ is unbounded for $x\to\infty$ you cannot. It is obvious that a uniformly continuous function is continuous: A function \(f:(a, b) \rightarrow \mathbb{r}\) is uniformly continuous if. Is Cos X X Uniformly Continuous.