How Many Ways Can The President Vice President Secretary And Treasurer Be Chosen . A club with 10 members is to pick a president, vice president, treasurer, and secretary. How many ways are there to choose a president, secretary,. We can find the number of ways in a couple of different ways: Since there is a first office (president), a second office. And 9 ways for the secretary position. 11 ways for the vice president position; Office (treasurer), order matters, so. Work out the number by examining each seat; If each office is to be held by one person and no person. Alice, bob, cyd, and dan How many ways can a committee of three be chosen from a group of ten people? Alice, bob, cyd, and dan. 12 ways for the president position; Pretty soon, you will be asked questions like in how many ways can the whole slate of three different people be chosen, disregarding the. 10 ways for the treasure position;
from slideplayer.com
We can find the number of ways in a couple of different ways: Office (treasurer), order matters, so. Alice, bob, cyd, and dan. Work out the number by examining each seat; (vice president), a third office (secretary) and a 4th. Since there is a first office (president), a second office. A club with 10 members is to pick a president, vice president, treasurer, and secretary. How many ways are there to choose a president, secretary,. How many ways can a committee of three be chosen from a group of ten people? If each office is to be held by one person and no person.
BPA Officer Responsibilities ppt download
How Many Ways Can The President Vice President Secretary And Treasurer Be Chosen Office (treasurer), order matters, so. Since there is a first office (president), a second office. 11 ways for the vice president position; A club with 10 members is to pick a president, vice president, treasurer, and secretary. Pretty soon, you will be asked questions like in how many ways can the whole slate of three different people be chosen, disregarding the. Alice, bob, cyd, and dan How many ways are there to choose a president, secretary,. Work out the number by examining each seat; Alice, bob, cyd, and dan. How many ways can a committee of three be chosen from a group of ten people? 10 ways for the treasure position; And 9 ways for the secretary position. 12 ways for the president position; (vice president), a third office (secretary) and a 4th. If each office is to be held by one person and no person. Office (treasurer), order matters, so.
From www.numerade.com
SOLVED In how many different ways can a president, vice president, a How Many Ways Can The President Vice President Secretary And Treasurer Be Chosen How many ways can a committee of three be chosen from a group of ten people? 11 ways for the vice president position; (vice president), a third office (secretary) and a 4th. Alice, bob, cyd, and dan 10 ways for the treasure position; And 9 ways for the secretary position. If each office is to be held by one person. How Many Ways Can The President Vice President Secretary And Treasurer Be Chosen.
From www.bartleby.com
Answered 10) How many ways can a president,… bartleby How Many Ways Can The President Vice President Secretary And Treasurer Be Chosen 10 ways for the treasure position; Alice, bob, cyd, and dan (vice president), a third office (secretary) and a 4th. Since there is a first office (president), a second office. Pretty soon, you will be asked questions like in how many ways can the whole slate of three different people be chosen, disregarding the. And 9 ways for the secretary. How Many Ways Can The President Vice President Secretary And Treasurer Be Chosen.
From www.numerade.com
SOLVED There are 22 students in a homeroom. be elected President; Vice How Many Ways Can The President Vice President Secretary And Treasurer Be Chosen If each office is to be held by one person and no person. How many ways can a committee of three be chosen from a group of ten people? Work out the number by examining each seat; Since there is a first office (president), a second office. Alice, bob, cyd, and dan. And 9 ways for the secretary position. 12. How Many Ways Can The President Vice President Secretary And Treasurer Be Chosen.
From www.chegg.com
Solved a. In how many ways can a president, a vice How Many Ways Can The President Vice President Secretary And Treasurer Be Chosen 10 ways for the treasure position; We can find the number of ways in a couple of different ways: Alice, bob, cyd, and dan. Work out the number by examining each seat; 11 ways for the vice president position; How many ways can a committee of three be chosen from a group of ten people? Pretty soon, you will be. How Many Ways Can The President Vice President Secretary And Treasurer Be Chosen.
From www.quora.com
The positions of President, Secretary and Treasurer of a club are to be How Many Ways Can The President Vice President Secretary And Treasurer Be Chosen How many ways can a committee of three be chosen from a group of ten people? We can find the number of ways in a couple of different ways: (vice president), a third office (secretary) and a 4th. Pretty soon, you will be asked questions like in how many ways can the whole slate of three different people be chosen,. How Many Ways Can The President Vice President Secretary And Treasurer Be Chosen.
From www.numerade.com
SOLVEDChoosing Officers From a pool of 12 candidates, the offices of How Many Ways Can The President Vice President Secretary And Treasurer Be Chosen 12 ways for the president position; 11 ways for the vice president position; How many ways are there to choose a president, secretary,. Work out the number by examining each seat; Since there is a first office (president), a second office. Alice, bob, cyd, and dan (vice president), a third office (secretary) and a 4th. How many ways can a. How Many Ways Can The President Vice President Secretary And Treasurer Be Chosen.
From www.numerade.com
SOLVED4152 Counting Permutations These exercises involve counting How Many Ways Can The President Vice President Secretary And Treasurer Be Chosen 12 ways for the president position; How many ways can a committee of three be chosen from a group of ten people? 11 ways for the vice president position; And 9 ways for the secretary position. Pretty soon, you will be asked questions like in how many ways can the whole slate of three different people be chosen, disregarding the.. How Many Ways Can The President Vice President Secretary And Treasurer Be Chosen.
From www.numerade.com
SOLVED 66. Selecting Council Members The presidents. vice presi dents How Many Ways Can The President Vice President Secretary And Treasurer Be Chosen Pretty soon, you will be asked questions like in how many ways can the whole slate of three different people be chosen, disregarding the. How many ways are there to choose a president, secretary,. A club with 10 members is to pick a president, vice president, treasurer, and secretary. Office (treasurer), order matters, so. Alice, bob, cyd, and dan Alice,. How Many Ways Can The President Vice President Secretary And Treasurer Be Chosen.
From slidetodoc.com
CLASS OF 2017 President Vice President Secretary Treasurer How Many Ways Can The President Vice President Secretary And Treasurer Be Chosen Since there is a first office (president), a second office. Alice, bob, cyd, and dan Work out the number by examining each seat; If each office is to be held by one person and no person. How many ways can a committee of three be chosen from a group of ten people? (vice president), a third office (secretary) and a. How Many Ways Can The President Vice President Secretary And Treasurer Be Chosen.
From www.numerade.com
SOLVED A club with 16 members is to choose three officers President How Many Ways Can The President Vice President Secretary And Treasurer Be Chosen 11 ways for the vice president position; How many ways can a committee of three be chosen from a group of ten people? And 9 ways for the secretary position. Work out the number by examining each seat; We can find the number of ways in a couple of different ways: A club with 10 members is to pick a. How Many Ways Can The President Vice President Secretary And Treasurer Be Chosen.
From www.numerade.com
SOLVED From a pool of 12 candidates, the offices of president, vice How Many Ways Can The President Vice President Secretary And Treasurer Be Chosen 10 ways for the treasure position; And 9 ways for the secretary position. If each office is to be held by one person and no person. Work out the number by examining each seat; A club with 10 members is to pick a president, vice president, treasurer, and secretary. Since there is a first office (president), a second office. (vice. How Many Ways Can The President Vice President Secretary And Treasurer Be Chosen.
From www.youtube.com
In how many ways can 20 member club choose president, Vice President How Many Ways Can The President Vice President Secretary And Treasurer Be Chosen Since there is a first office (president), a second office. How many ways are there to choose a president, secretary,. 11 ways for the vice president position; Pretty soon, you will be asked questions like in how many ways can the whole slate of three different people be chosen, disregarding the. How many ways can a committee of three be. How Many Ways Can The President Vice President Secretary And Treasurer Be Chosen.
From www.numerade.com
SOLVED How many ways can a president; vicepresident, and secretary be How Many Ways Can The President Vice President Secretary And Treasurer Be Chosen We can find the number of ways in a couple of different ways: Pretty soon, you will be asked questions like in how many ways can the whole slate of three different people be chosen, disregarding the. Since there is a first office (president), a second office. 11 ways for the vice president position; How many ways can a committee. How Many Ways Can The President Vice President Secretary And Treasurer Be Chosen.
From amview.japan.usembassy.gov
What Do U.S. Vice Presidents Do? « American View How Many Ways Can The President Vice President Secretary And Treasurer Be Chosen If each office is to be held by one person and no person. We can find the number of ways in a couple of different ways: A club with 10 members is to pick a president, vice president, treasurer, and secretary. Office (treasurer), order matters, so. Pretty soon, you will be asked questions like in how many ways can the. How Many Ways Can The President Vice President Secretary And Treasurer Be Chosen.
From slideplayer.com
REALM Association Organization Chart Position Responsibilities ppt How Many Ways Can The President Vice President Secretary And Treasurer Be Chosen We can find the number of ways in a couple of different ways: A club with 10 members is to pick a president, vice president, treasurer, and secretary. 11 ways for the vice president position; 12 ways for the president position; Office (treasurer), order matters, so. Since there is a first office (president), a second office. How many ways are. How Many Ways Can The President Vice President Secretary And Treasurer Be Chosen.
From slideplayer.com
BPA Officer Responsibilities ppt download How Many Ways Can The President Vice President Secretary And Treasurer Be Chosen Work out the number by examining each seat; 10 ways for the treasure position; How many ways are there to choose a president, secretary,. (vice president), a third office (secretary) and a 4th. A club with 10 members is to pick a president, vice president, treasurer, and secretary. Pretty soon, you will be asked questions like in how many ways. How Many Ways Can The President Vice President Secretary And Treasurer Be Chosen.
From www.numerade.com
SOLVED There is a club with 20 members. How many different ways can How Many Ways Can The President Vice President Secretary And Treasurer Be Chosen Since there is a first office (president), a second office. 12 ways for the president position; A club with 10 members is to pick a president, vice president, treasurer, and secretary. Alice, bob, cyd, and dan How many ways can a committee of three be chosen from a group of ten people? Pretty soon, you will be asked questions like. How Many Ways Can The President Vice President Secretary And Treasurer Be Chosen.
From slideplayer.com
The Presidents Roles 1. Chief of State 2. Chief Executive ppt download How Many Ways Can The President Vice President Secretary And Treasurer Be Chosen A club with 10 members is to pick a president, vice president, treasurer, and secretary. Since there is a first office (president), a second office. Alice, bob, cyd, and dan. 11 ways for the vice president position; Pretty soon, you will be asked questions like in how many ways can the whole slate of three different people be chosen, disregarding. How Many Ways Can The President Vice President Secretary And Treasurer Be Chosen.
From www.numerade.com
SOLVED '10) How many ways can president; vicepresident; secretary How Many Ways Can The President Vice President Secretary And Treasurer Be Chosen Work out the number by examining each seat; Alice, bob, cyd, and dan Since there is a first office (president), a second office. How many ways can a committee of three be chosen from a group of ten people? Office (treasurer), order matters, so. Pretty soon, you will be asked questions like in how many ways can the whole slate. How Many Ways Can The President Vice President Secretary And Treasurer Be Chosen.
From www.chegg.com
Solved (20 b) In how many ways can a president, vice How Many Ways Can The President Vice President Secretary And Treasurer Be Chosen And 9 ways for the secretary position. 11 ways for the vice president position; We can find the number of ways in a couple of different ways: Alice, bob, cyd, and dan If each office is to be held by one person and no person. Pretty soon, you will be asked questions like in how many ways can the whole. How Many Ways Can The President Vice President Secretary And Treasurer Be Chosen.
From www.youtube.com
How many ways to choose president, vp, treasurer from 10 members How Many Ways Can The President Vice President Secretary And Treasurer Be Chosen And 9 ways for the secretary position. How many ways can a committee of three be chosen from a group of ten people? Alice, bob, cyd, and dan Pretty soon, you will be asked questions like in how many ways can the whole slate of three different people be chosen, disregarding the. We can find the number of ways in. How Many Ways Can The President Vice President Secretary And Treasurer Be Chosen.
From www.numerade.com
SOLVEDSelecting Council Members The presidents, vice presidents, and How Many Ways Can The President Vice President Secretary And Treasurer Be Chosen Office (treasurer), order matters, so. Since there is a first office (president), a second office. How many ways are there to choose a president, secretary,. If each office is to be held by one person and no person. 12 ways for the president position; How many ways can a committee of three be chosen from a group of ten people?. How Many Ways Can The President Vice President Secretary And Treasurer Be Chosen.
From www.numerade.com
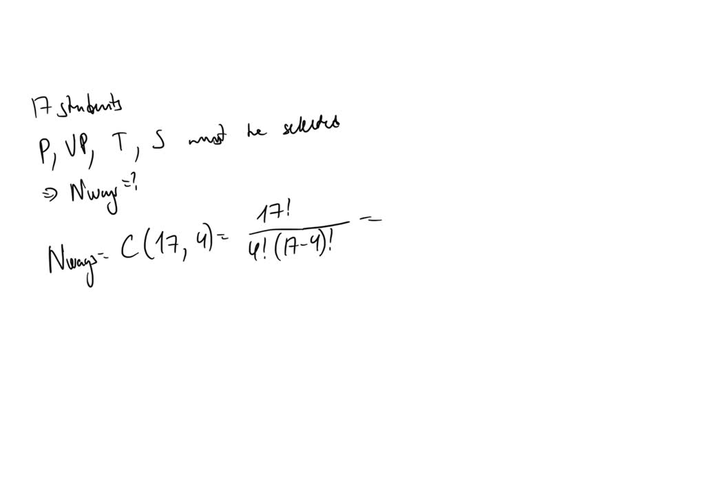
There are 17 students in a homeroom How many different ways can they How Many Ways Can The President Vice President Secretary And Treasurer Be Chosen 10 ways for the treasure position; Alice, bob, cyd, and dan. A club with 10 members is to pick a president, vice president, treasurer, and secretary. Alice, bob, cyd, and dan We can find the number of ways in a couple of different ways: 12 ways for the president position; Since there is a first office (president), a second office.. How Many Ways Can The President Vice President Secretary And Treasurer Be Chosen.
From www.chegg.com
Solved 6. How many ways can a president, vicepresident, How Many Ways Can The President Vice President Secretary And Treasurer Be Chosen A club with 10 members is to pick a president, vice president, treasurer, and secretary. Work out the number by examining each seat; Alice, bob, cyd, and dan. 11 ways for the vice president position; How many ways can a committee of three be chosen from a group of ten people? (vice president), a third office (secretary) and a 4th.. How Many Ways Can The President Vice President Secretary And Treasurer Be Chosen.
From www.gauthmath.com
Solved The company Sea Esta has ten members on its board of directors How Many Ways Can The President Vice President Secretary And Treasurer Be Chosen Pretty soon, you will be asked questions like in how many ways can the whole slate of three different people be chosen, disregarding the. And 9 ways for the secretary position. How many ways can a committee of three be chosen from a group of ten people? We can find the number of ways in a couple of different ways:. How Many Ways Can The President Vice President Secretary And Treasurer Be Chosen.
From www.gauthmath.com
Solved A class has 30 students. In how many ways can 4 clas How Many Ways Can The President Vice President Secretary And Treasurer Be Chosen 11 ways for the vice president position; If each office is to be held by one person and no person. How many ways are there to choose a president, secretary,. Work out the number by examining each seat; We can find the number of ways in a couple of different ways: Office (treasurer), order matters, so. How many ways can. How Many Ways Can The President Vice President Secretary And Treasurer Be Chosen.
From www.youtube.com
A club consists of 15 members. In how many ways can the three officers How Many Ways Can The President Vice President Secretary And Treasurer Be Chosen If each office is to be held by one person and no person. And 9 ways for the secretary position. 12 ways for the president position; 10 ways for the treasure position; (vice president), a third office (secretary) and a 4th. We can find the number of ways in a couple of different ways: A club with 10 members is. How Many Ways Can The President Vice President Secretary And Treasurer Be Chosen.
From www.chegg.com
Solved How many different ways can you select a president, How Many Ways Can The President Vice President Secretary And Treasurer Be Chosen Pretty soon, you will be asked questions like in how many ways can the whole slate of three different people be chosen, disregarding the. How many ways can a committee of three be chosen from a group of ten people? Since there is a first office (president), a second office. A club with 10 members is to pick a president,. How Many Ways Can The President Vice President Secretary And Treasurer Be Chosen.
From www.chegg.com
Solved A fraternity has 50 members. How many ways can the How Many Ways Can The President Vice President Secretary And Treasurer Be Chosen 10 ways for the treasure position; How many ways are there to choose a president, secretary,. Work out the number by examining each seat; Since there is a first office (president), a second office. If each office is to be held by one person and no person. And 9 ways for the secretary position. Alice, bob, cyd, and dan. 11. How Many Ways Can The President Vice President Secretary And Treasurer Be Chosen.
From www.numerade.com
(A) How many ways can a 4person be selected from a How Many Ways Can The President Vice President Secretary And Treasurer Be Chosen Work out the number by examining each seat; How many ways are there to choose a president, secretary,. If each office is to be held by one person and no person. We can find the number of ways in a couple of different ways: (vice president), a third office (secretary) and a 4th. 10 ways for the treasure position; 12. How Many Ways Can The President Vice President Secretary And Treasurer Be Chosen.
From www.numerade.com
SOLVED In a club with 15 members, how many ways can a slate of 3 How Many Ways Can The President Vice President Secretary And Treasurer Be Chosen And 9 ways for the secretary position. Since there is a first office (president), a second office. Office (treasurer), order matters, so. If each office is to be held by one person and no person. Alice, bob, cyd, and dan How many ways can a committee of three be chosen from a group of ten people? A club with 10. How Many Ways Can The President Vice President Secretary And Treasurer Be Chosen.
From www.numerade.com
11. There are 25 men and 20 women who belong to a club. An executive How Many Ways Can The President Vice President Secretary And Treasurer Be Chosen Work out the number by examining each seat; Since there is a first office (president), a second office. Alice, bob, cyd, and dan. 11 ways for the vice president position; Pretty soon, you will be asked questions like in how many ways can the whole slate of three different people be chosen, disregarding the. 10 ways for the treasure position;. How Many Ways Can The President Vice President Secretary And Treasurer Be Chosen.
From www.slideserve.com
PPT The President and VicePresident roles will be split into two, so How Many Ways Can The President Vice President Secretary And Treasurer Be Chosen Office (treasurer), order matters, so. And 9 ways for the secretary position. (vice president), a third office (secretary) and a 4th. 10 ways for the treasure position; 11 ways for the vice president position; If each office is to be held by one person and no person. Work out the number by examining each seat; Alice, bob, cyd, and dan.. How Many Ways Can The President Vice President Secretary And Treasurer Be Chosen.
From www.numerade.com
SOLVED A club has 16 members. In how many ways can the President; Vice How Many Ways Can The President Vice President Secretary And Treasurer Be Chosen (vice president), a third office (secretary) and a 4th. A club with 10 members is to pick a president, vice president, treasurer, and secretary. If each office is to be held by one person and no person. Alice, bob, cyd, and dan. How many ways are there to choose a president, secretary,. Since there is a first office (president), a. How Many Ways Can The President Vice President Secretary And Treasurer Be Chosen.
From brainly.com
How many ways can a club select a president, vice president, and a How Many Ways Can The President Vice President Secretary And Treasurer Be Chosen 12 ways for the president position; Office (treasurer), order matters, so. Since there is a first office (president), a second office. 11 ways for the vice president position; 10 ways for the treasure position; We can find the number of ways in a couple of different ways: If each office is to be held by one person and no person.. How Many Ways Can The President Vice President Secretary And Treasurer Be Chosen.