How Often Do Mortality Tables Change . In poorer countries, where death registration data is often. 11 rows — detailed estimates (by single year of age) have been produced for canada and all of the provinces, except prince edward. the un wpp estimates life expectancy in various countries using data on mortality rates. Explore the cause of death trends in canada since 2000 with these interactive dashboards. visualizing mortality in canada. Adjusted number of deaths, expected number of deaths and estimates of excess mortality,. — the world health organization (who) began producing annual life tables for all member states in 1999. — number of deaths and mortality rates, by age group, sex, and place of residence, 1991 to most recent year.
from www.slideserve.com
In poorer countries, where death registration data is often. Explore the cause of death trends in canada since 2000 with these interactive dashboards. 11 rows — detailed estimates (by single year of age) have been produced for canada and all of the provinces, except prince edward. — number of deaths and mortality rates, by age group, sex, and place of residence, 1991 to most recent year. the un wpp estimates life expectancy in various countries using data on mortality rates. Adjusted number of deaths, expected number of deaths and estimates of excess mortality,. — the world health organization (who) began producing annual life tables for all member states in 1999. visualizing mortality in canada.
PPT The Work of an Actuary Mortality Tables and Life Insurance
How Often Do Mortality Tables Change In poorer countries, where death registration data is often. — the world health organization (who) began producing annual life tables for all member states in 1999. In poorer countries, where death registration data is often. visualizing mortality in canada. the un wpp estimates life expectancy in various countries using data on mortality rates. — number of deaths and mortality rates, by age group, sex, and place of residence, 1991 to most recent year. 11 rows — detailed estimates (by single year of age) have been produced for canada and all of the provinces, except prince edward. Explore the cause of death trends in canada since 2000 with these interactive dashboards. Adjusted number of deaths, expected number of deaths and estimates of excess mortality,.
From www.slideserve.com
PPT Life Tables PowerPoint Presentation ID4227670 How Often Do Mortality Tables Change In poorer countries, where death registration data is often. the un wpp estimates life expectancy in various countries using data on mortality rates. Explore the cause of death trends in canada since 2000 with these interactive dashboards. 11 rows — detailed estimates (by single year of age) have been produced for canada and all of the provinces, except. How Often Do Mortality Tables Change.
From www.researchgate.net
Changes in ageadjusted mortality rates 1999 to 2017 for major causes How Often Do Mortality Tables Change — the world health organization (who) began producing annual life tables for all member states in 1999. Adjusted number of deaths, expected number of deaths and estimates of excess mortality,. 11 rows — detailed estimates (by single year of age) have been produced for canada and all of the provinces, except prince edward. visualizing mortality in canada.. How Often Do Mortality Tables Change.
From mort.soa.org
Mortality and Other Rate Tables How Often Do Mortality Tables Change In poorer countries, where death registration data is often. Explore the cause of death trends in canada since 2000 with these interactive dashboards. 11 rows — detailed estimates (by single year of age) have been produced for canada and all of the provinces, except prince edward. — the world health organization (who) began producing annual life tables for. How Often Do Mortality Tables Change.
From www.researchgate.net
Relative changes in adult female mortality rates Download Table How Often Do Mortality Tables Change — the world health organization (who) began producing annual life tables for all member states in 1999. the un wpp estimates life expectancy in various countries using data on mortality rates. visualizing mortality in canada. 11 rows — detailed estimates (by single year of age) have been produced for canada and all of the provinces, except. How Often Do Mortality Tables Change.
From brokeasshome.com
Society Of Actuaries Rp 2017 Mortality Tables How Often Do Mortality Tables Change Explore the cause of death trends in canada since 2000 with these interactive dashboards. the un wpp estimates life expectancy in various countries using data on mortality rates. In poorer countries, where death registration data is often. — the world health organization (who) began producing annual life tables for all member states in 1999. — number of. How Often Do Mortality Tables Change.
From www.slideserve.com
PPT Life, Health, and Loss of Exposures Chapter 4 PowerPoint How Often Do Mortality Tables Change Adjusted number of deaths, expected number of deaths and estimates of excess mortality,. — number of deaths and mortality rates, by age group, sex, and place of residence, 1991 to most recent year. visualizing mortality in canada. Explore the cause of death trends in canada since 2000 with these interactive dashboards. 11 rows — detailed estimates (by. How Often Do Mortality Tables Change.
From www.bilibili.com
Insurance & Mortality Tables (Insurance) 哔哩哔哩 How Often Do Mortality Tables Change 11 rows — detailed estimates (by single year of age) have been produced for canada and all of the provinces, except prince edward. visualizing mortality in canada. — number of deaths and mortality rates, by age group, sex, and place of residence, 1991 to most recent year. the un wpp estimates life expectancy in various countries. How Often Do Mortality Tables Change.
From www.scribd.com
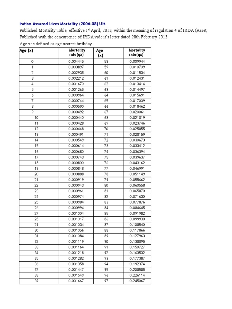
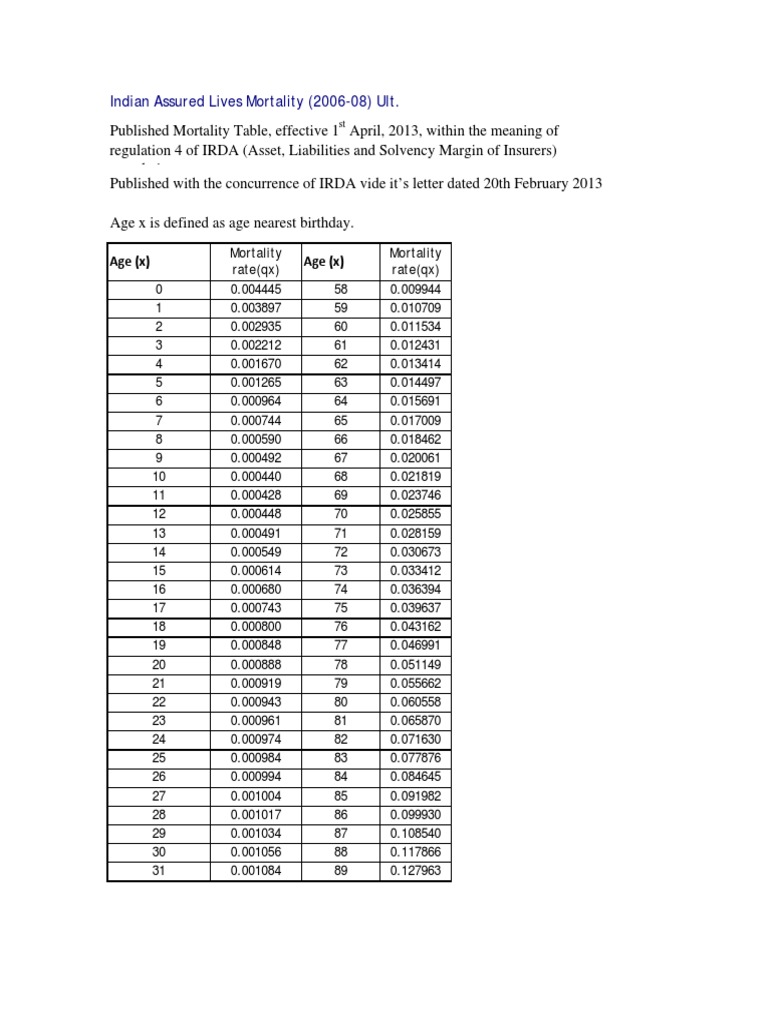
IALM Mortality Tables (200608) Ult PDF Life Insurance Risk How Often Do Mortality Tables Change visualizing mortality in canada. — the world health organization (who) began producing annual life tables for all member states in 1999. the un wpp estimates life expectancy in various countries using data on mortality rates. 11 rows — detailed estimates (by single year of age) have been produced for canada and all of the provinces, except. How Often Do Mortality Tables Change.
From cherryyportia.pages.dev
Rmd Table 2024 Pdf Printable In English Cecile Eleonora How Often Do Mortality Tables Change Explore the cause of death trends in canada since 2000 with these interactive dashboards. Adjusted number of deaths, expected number of deaths and estimates of excess mortality,. 11 rows — detailed estimates (by single year of age) have been produced for canada and all of the provinces, except prince edward. visualizing mortality in canada. — the world. How Often Do Mortality Tables Change.
From www.researchgate.net
Formation of adjusted mortality table Download Scientific Diagram How Often Do Mortality Tables Change the un wpp estimates life expectancy in various countries using data on mortality rates. In poorer countries, where death registration data is often. — number of deaths and mortality rates, by age group, sex, and place of residence, 1991 to most recent year. visualizing mortality in canada. — the world health organization (who) began producing annual. How Often Do Mortality Tables Change.
From www.researchgate.net
Mortality tables for the years 1966 and 2009 The values of mortality How Often Do Mortality Tables Change the un wpp estimates life expectancy in various countries using data on mortality rates. visualizing mortality in canada. — the world health organization (who) began producing annual life tables for all member states in 1999. 11 rows — detailed estimates (by single year of age) have been produced for canada and all of the provinces, except. How Often Do Mortality Tables Change.
From www.researchgate.net
Observed and Expected Numbers of Deaths and Standardized Mortality How Often Do Mortality Tables Change In poorer countries, where death registration data is often. — number of deaths and mortality rates, by age group, sex, and place of residence, 1991 to most recent year. visualizing mortality in canada. the un wpp estimates life expectancy in various countries using data on mortality rates. — the world health organization (who) began producing annual. How Often Do Mortality Tables Change.
From www.researchgate.net
Infant and child mortality rates Download Table How Often Do Mortality Tables Change — number of deaths and mortality rates, by age group, sex, and place of residence, 1991 to most recent year. Explore the cause of death trends in canada since 2000 with these interactive dashboards. the un wpp estimates life expectancy in various countries using data on mortality rates. In poorer countries, where death registration data is often. . How Often Do Mortality Tables Change.
From mungfali.com
Leading Causes Of Death Tables How Often Do Mortality Tables Change Adjusted number of deaths, expected number of deaths and estimates of excess mortality,. the un wpp estimates life expectancy in various countries using data on mortality rates. 11 rows — detailed estimates (by single year of age) have been produced for canada and all of the provinces, except prince edward. visualizing mortality in canada. — the. How Often Do Mortality Tables Change.
From www.forbes.com
How Excess Mortality In 2020 Compares [Infographic] How Often Do Mortality Tables Change visualizing mortality in canada. In poorer countries, where death registration data is often. 11 rows — detailed estimates (by single year of age) have been produced for canada and all of the provinces, except prince edward. — the world health organization (who) began producing annual life tables for all member states in 1999. Explore the cause of. How Often Do Mortality Tables Change.
From www.scribd.com
IALM Mortality Tables (200608) Ult How Often Do Mortality Tables Change the un wpp estimates life expectancy in various countries using data on mortality rates. Explore the cause of death trends in canada since 2000 with these interactive dashboards. visualizing mortality in canada. 11 rows — detailed estimates (by single year of age) have been produced for canada and all of the provinces, except prince edward. —. How Often Do Mortality Tables Change.
From slidetodoc.com
Measures of Mortality Mortality in Different Populations Mortality How Often Do Mortality Tables Change Adjusted number of deaths, expected number of deaths and estimates of excess mortality,. Explore the cause of death trends in canada since 2000 with these interactive dashboards. visualizing mortality in canada. — the world health organization (who) began producing annual life tables for all member states in 1999. In poorer countries, where death registration data is often. . How Often Do Mortality Tables Change.
From stump.marypat.org
STUMP » Articles » Mortality with Meep On Excess nonCOVID Mortality How Often Do Mortality Tables Change Adjusted number of deaths, expected number of deaths and estimates of excess mortality,. visualizing mortality in canada. In poorer countries, where death registration data is often. the un wpp estimates life expectancy in various countries using data on mortality rates. Explore the cause of death trends in canada since 2000 with these interactive dashboards. 11 rows —. How Often Do Mortality Tables Change.
From www.numerade.com
Using the appropriate standardization method, calculate the crude and How Often Do Mortality Tables Change the un wpp estimates life expectancy in various countries using data on mortality rates. — the world health organization (who) began producing annual life tables for all member states in 1999. — number of deaths and mortality rates, by age group, sex, and place of residence, 1991 to most recent year. In poorer countries, where death registration. How Often Do Mortality Tables Change.
From www.investopedia.com
Ultimate Mortality Table What It Is, How It Works How Often Do Mortality Tables Change Adjusted number of deaths, expected number of deaths and estimates of excess mortality,. — number of deaths and mortality rates, by age group, sex, and place of residence, 1991 to most recent year. Explore the cause of death trends in canada since 2000 with these interactive dashboards. visualizing mortality in canada. the un wpp estimates life expectancy. How Often Do Mortality Tables Change.
From www.chegg.com
Solved Mortality Rates Use the table provide and calculate How Often Do Mortality Tables Change — number of deaths and mortality rates, by age group, sex, and place of residence, 1991 to most recent year. visualizing mortality in canada. Explore the cause of death trends in canada since 2000 with these interactive dashboards. the un wpp estimates life expectancy in various countries using data on mortality rates. 11 rows — detailed. How Often Do Mortality Tables Change.
From z-cm.blogspot.com
Life Mortality Tables Decoration Examples How Often Do Mortality Tables Change — number of deaths and mortality rates, by age group, sex, and place of residence, 1991 to most recent year. In poorer countries, where death registration data is often. visualizing mortality in canada. Adjusted number of deaths, expected number of deaths and estimates of excess mortality,. 11 rows — detailed estimates (by single year of age) have. How Often Do Mortality Tables Change.
From www.asc-net.com
2024 Mortality Tables Update How Often Do Mortality Tables Change In poorer countries, where death registration data is often. the un wpp estimates life expectancy in various countries using data on mortality rates. — number of deaths and mortality rates, by age group, sex, and place of residence, 1991 to most recent year. 11 rows — detailed estimates (by single year of age) have been produced for. How Often Do Mortality Tables Change.
From www.chegg.com
A196770 MORTALITY TABLE Age Age 年1+1 0 1 1 1 4 6 7 5 How Often Do Mortality Tables Change — the world health organization (who) began producing annual life tables for all member states in 1999. Explore the cause of death trends in canada since 2000 with these interactive dashboards. Adjusted number of deaths, expected number of deaths and estimates of excess mortality,. — number of deaths and mortality rates, by age group, sex, and place of. How Often Do Mortality Tables Change.
From www.slideserve.com
PPT The Work of an Actuary Mortality Tables and Life Insurance How Often Do Mortality Tables Change the un wpp estimates life expectancy in various countries using data on mortality rates. 11 rows — detailed estimates (by single year of age) have been produced for canada and all of the provinces, except prince edward. In poorer countries, where death registration data is often. Explore the cause of death trends in canada since 2000 with these. How Often Do Mortality Tables Change.
From endresactuarial.com
RP2014 Mortality Table Endres Actuarial How Often Do Mortality Tables Change the un wpp estimates life expectancy in various countries using data on mortality rates. In poorer countries, where death registration data is often. 11 rows — detailed estimates (by single year of age) have been produced for canada and all of the provinces, except prince edward. Adjusted number of deaths, expected number of deaths and estimates of excess. How Often Do Mortality Tables Change.
From www.merriam-webster.com
Ultimate Mortality Table Definition of Ultimate Mortality Table by How Often Do Mortality Tables Change — the world health organization (who) began producing annual life tables for all member states in 1999. Explore the cause of death trends in canada since 2000 with these interactive dashboards. 11 rows — detailed estimates (by single year of age) have been produced for canada and all of the provinces, except prince edward. the un wpp. How Often Do Mortality Tables Change.
From corporatefinanceinstitute.com
Mortality Table Overview, Features, Types, and Use How Often Do Mortality Tables Change Explore the cause of death trends in canada since 2000 with these interactive dashboards. visualizing mortality in canada. 11 rows — detailed estimates (by single year of age) have been produced for canada and all of the provinces, except prince edward. the un wpp estimates life expectancy in various countries using data on mortality rates. —. How Often Do Mortality Tables Change.
From www.wallstreetmojo.com
Mortality Table What Is It, Types, Examples, Importance How Often Do Mortality Tables Change — the world health organization (who) began producing annual life tables for all member states in 1999. visualizing mortality in canada. Adjusted number of deaths, expected number of deaths and estimates of excess mortality,. the un wpp estimates life expectancy in various countries using data on mortality rates. 11 rows — detailed estimates (by single year. How Often Do Mortality Tables Change.
From neverletdatagetinthewayofagoodstory.com
Covid19 Death Table USA Never Let Data Get In The Way Of A Good Story How Often Do Mortality Tables Change the un wpp estimates life expectancy in various countries using data on mortality rates. Explore the cause of death trends in canada since 2000 with these interactive dashboards. — the world health organization (who) began producing annual life tables for all member states in 1999. visualizing mortality in canada. — number of deaths and mortality rates,. How Often Do Mortality Tables Change.
From www.awesomefintech.com
Mortality Table AwesomeFinTech Blog How Often Do Mortality Tables Change Adjusted number of deaths, expected number of deaths and estimates of excess mortality,. — the world health organization (who) began producing annual life tables for all member states in 1999. Explore the cause of death trends in canada since 2000 with these interactive dashboards. In poorer countries, where death registration data is often. visualizing mortality in canada. . How Often Do Mortality Tables Change.
From www.ssa.gov
The Longevity Visualizer An Analytic Tool for Exploring the Cohort How Often Do Mortality Tables Change Adjusted number of deaths, expected number of deaths and estimates of excess mortality,. In poorer countries, where death registration data is often. visualizing mortality in canada. — the world health organization (who) began producing annual life tables for all member states in 1999. 11 rows — detailed estimates (by single year of age) have been produced for. How Often Do Mortality Tables Change.
From www.researchgate.net
Standardized mortality ratios stratified on gender and age group (n How Often Do Mortality Tables Change visualizing mortality in canada. In poorer countries, where death registration data is often. Explore the cause of death trends in canada since 2000 with these interactive dashboards. Adjusted number of deaths, expected number of deaths and estimates of excess mortality,. the un wpp estimates life expectancy in various countries using data on mortality rates. 11 rows —. How Often Do Mortality Tables Change.
From ftp.endresactuarial.com
RP2014 Mortality Table Endres Actuarial How Often Do Mortality Tables Change Adjusted number of deaths, expected number of deaths and estimates of excess mortality,. In poorer countries, where death registration data is often. the un wpp estimates life expectancy in various countries using data on mortality rates. 11 rows — detailed estimates (by single year of age) have been produced for canada and all of the provinces, except prince. How Often Do Mortality Tables Change.
From www.publicnow.com
NCHS U.S. National Center for Health Statistics (via Public How Often Do Mortality Tables Change Explore the cause of death trends in canada since 2000 with these interactive dashboards. 11 rows — detailed estimates (by single year of age) have been produced for canada and all of the provinces, except prince edward. — number of deaths and mortality rates, by age group, sex, and place of residence, 1991 to most recent year. In. How Often Do Mortality Tables Change.