The Length Of The Curve . Determine the length of a curve, \ (x=g (y)\),. Imagine we want to find the length of a curve between two points. And the curve is smooth (the derivative is continuous ). Determine the length of a curve, \ (y=f (x)\), between two points. We’ll do this by dividing the interval up into \(n\) equal subintervals each of. First we break the curve into small lengths and use the. The length of a curve can be determined by integrating the infinitesimal lengths of the curve over the given interval. The length of the graph of $y=f(x)$ from $x=a$ to $x=b$ is $$\hbox{. Example 1 determine the length of the curve \ (\vec r\left ( t \right) = \left\langle {2t,3\sin \left ( {2t} \right),3\cos \left ( {2t}. Initially we’ll need to estimate the length of the curve. The basic point here is a formula obtained by using the ideas of calculus: For a function f(x), the.
        
         
         
        from www.slideserve.com 
     
        
        And the curve is smooth (the derivative is continuous ). First we break the curve into small lengths and use the. Imagine we want to find the length of a curve between two points. Determine the length of a curve, \ (y=f (x)\), between two points. Example 1 determine the length of the curve \ (\vec r\left ( t \right) = \left\langle {2t,3\sin \left ( {2t} \right),3\cos \left ( {2t}. Determine the length of a curve, \ (x=g (y)\),. The basic point here is a formula obtained by using the ideas of calculus: The length of the graph of $y=f(x)$ from $x=a$ to $x=b$ is $$\hbox{. Initially we’ll need to estimate the length of the curve. We’ll do this by dividing the interval up into \(n\) equal subintervals each of.
    
    	
            
	
		 
	 
         
    PPT Mass Properties PowerPoint Presentation, free download ID6736221 
    The Length Of The Curve  We’ll do this by dividing the interval up into \(n\) equal subintervals each of. Determine the length of a curve, \ (y=f (x)\), between two points. Initially we’ll need to estimate the length of the curve. The length of a curve can be determined by integrating the infinitesimal lengths of the curve over the given interval. The basic point here is a formula obtained by using the ideas of calculus: Example 1 determine the length of the curve \ (\vec r\left ( t \right) = \left\langle {2t,3\sin \left ( {2t} \right),3\cos \left ( {2t}. Imagine we want to find the length of a curve between two points. First we break the curve into small lengths and use the. We’ll do this by dividing the interval up into \(n\) equal subintervals each of. Determine the length of a curve, \ (x=g (y)\),. And the curve is smooth (the derivative is continuous ). The length of the graph of $y=f(x)$ from $x=a$ to $x=b$ is $$\hbox{. For a function f(x), the.
            
	
		 
	 
         
 
    
         
        From www.chegg.com 
                    Solved Find the exact length of the portion of the curve The Length Of The Curve  Initially we’ll need to estimate the length of the curve. Example 1 determine the length of the curve \ (\vec r\left ( t \right) = \left\langle {2t,3\sin \left ( {2t} \right),3\cos \left ( {2t}. The length of a curve can be determined by integrating the infinitesimal lengths of the curve over the given interval. For a function f(x), the. The. The Length Of The Curve.
     
    
         
        From www.youtube.com 
                    Find Length of Curve Calculation of Arc Length YouTube The Length Of The Curve  And the curve is smooth (the derivative is continuous ). Determine the length of a curve, \ (y=f (x)\), between two points. The length of a curve can be determined by integrating the infinitesimal lengths of the curve over the given interval. For a function f(x), the. The basic point here is a formula obtained by using the ideas of. The Length Of The Curve.
     
    
         
        From www.geogebra.org 
                    Estimating The Length of a Curve GeoGebra The Length Of The Curve  Determine the length of a curve, \ (x=g (y)\),. For a function f(x), the. The length of a curve can be determined by integrating the infinitesimal lengths of the curve over the given interval. The basic point here is a formula obtained by using the ideas of calculus: Imagine we want to find the length of a curve between two. The Length Of The Curve.
     
    
         
        From www.youtube.com 
                    Arc Length How To Find The Length Of A Curve YouTube The Length Of The Curve  Example 1 determine the length of the curve \ (\vec r\left ( t \right) = \left\langle {2t,3\sin \left ( {2t} \right),3\cos \left ( {2t}. The basic point here is a formula obtained by using the ideas of calculus: Initially we’ll need to estimate the length of the curve. Determine the length of a curve, \ (x=g (y)\),. The length of. The Length Of The Curve.
     
    
         
        From www.solutionspile.com 
                    [Solved] 16 Find the length of the curve defined by r= The Length Of The Curve  The length of a curve can be determined by integrating the infinitesimal lengths of the curve over the given interval. We’ll do this by dividing the interval up into \(n\) equal subintervals each of. Determine the length of a curve, \ (x=g (y)\),. Imagine we want to find the length of a curve between two points. Determine the length of. The Length Of The Curve.
     
    
         
        From www.chegg.com 
                    Solved Find the length of the parametric curve x=2t2, The Length Of The Curve  The length of a curve can be determined by integrating the infinitesimal lengths of the curve over the given interval. Initially we’ll need to estimate the length of the curve. Determine the length of a curve, \ (y=f (x)\), between two points. We’ll do this by dividing the interval up into \(n\) equal subintervals each of. The length of the. The Length Of The Curve.
     
    
         
        From www.youtube.com 
                    Find the length of the curve x= squrt36−y^2,−6≤y≤6 YouTube The Length Of The Curve  Initially we’ll need to estimate the length of the curve. The length of a curve can be determined by integrating the infinitesimal lengths of the curve over the given interval. We’ll do this by dividing the interval up into \(n\) equal subintervals each of. Determine the length of a curve, \ (x=g (y)\),. The length of the graph of $y=f(x)$. The Length Of The Curve.
     
    
         
        From engineeringdiscoveries.com 
                    What Is A Vertical curve? Types And Formulas Engineering Discoveries The Length Of The Curve  Determine the length of a curve, \ (y=f (x)\), between two points. The basic point here is a formula obtained by using the ideas of calculus: First we break the curve into small lengths and use the. Determine the length of a curve, \ (x=g (y)\),. Example 1 determine the length of the curve \ (\vec r\left ( t \right). The Length Of The Curve.
     
    
         
        From www.chegg.com 
                    Solved Approximating the Length of a Curve Consider the The Length Of The Curve  The basic point here is a formula obtained by using the ideas of calculus: Imagine we want to find the length of a curve between two points. For a function f(x), the. We’ll do this by dividing the interval up into \(n\) equal subintervals each of. First we break the curve into small lengths and use the. Determine the length. The Length Of The Curve.
     
    
         
        From www.chegg.com 
                    Graph the curve. Find the exact length of the curve. The Length Of The Curve  Determine the length of a curve, \ (x=g (y)\),. The length of a curve can be determined by integrating the infinitesimal lengths of the curve over the given interval. First we break the curve into small lengths and use the. The length of the graph of $y=f(x)$ from $x=a$ to $x=b$ is $$\hbox{. For a function f(x), the. Imagine we. The Length Of The Curve.
     
    
         
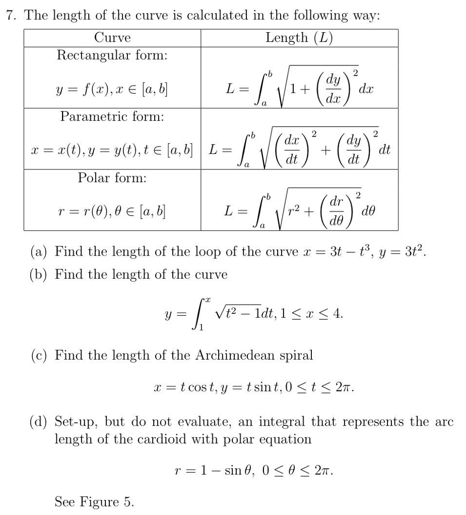
        From www.chegg.com 
                    Solved 7. The length of the curve is calculated in the The Length Of The Curve  And the curve is smooth (the derivative is continuous ). For a function f(x), the. Determine the length of a curve, \ (y=f (x)\), between two points. Determine the length of a curve, \ (x=g (y)\),. First we break the curve into small lengths and use the. The length of the graph of $y=f(x)$ from $x=a$ to $x=b$ is $$\hbox{.. The Length Of The Curve.
     
    
         
        From www.coursehero.com 
                    [Solved] Find the length of the curve. x = 2 t 2 , y = 3 ( 2 t + 1 The Length Of The Curve  Determine the length of a curve, \ (x=g (y)\),. The length of a curve can be determined by integrating the infinitesimal lengths of the curve over the given interval. First we break the curve into small lengths and use the. For a function f(x), the. Imagine we want to find the length of a curve between two points. Determine the. The Length Of The Curve.
     
    
         
        From www.coursehero.com 
                    [Solved] Find the length of the curve. Find the length of the curve. X The Length Of The Curve  And the curve is smooth (the derivative is continuous ). The length of a curve can be determined by integrating the infinitesimal lengths of the curve over the given interval. The length of the graph of $y=f(x)$ from $x=a$ to $x=b$ is $$\hbox{. Initially we’ll need to estimate the length of the curve. The basic point here is a formula. The Length Of The Curve.
     
    
         
        From www.youtube.com 
                    Arc length for a parametric curve Integral Calculus YouTube The Length Of The Curve  For a function f(x), the. And the curve is smooth (the derivative is continuous ). The length of the graph of $y=f(x)$ from $x=a$ to $x=b$ is $$\hbox{. Imagine we want to find the length of a curve between two points. First we break the curve into small lengths and use the. We’ll do this by dividing the interval up. The Length Of The Curve.
     
    
         
        From simplecalc.blogspot.com 
                    Calculus Help Calculus Finding the Arc Length of a Curve The Length Of The Curve  The length of a curve can be determined by integrating the infinitesimal lengths of the curve over the given interval. Determine the length of a curve, \ (y=f (x)\), between two points. Imagine we want to find the length of a curve between two points. Determine the length of a curve, \ (x=g (y)\),. The basic point here is a. The Length Of The Curve.
     
    
         
        From www.chegg.com 
                    Solved Find the length of the curve r(t) = 2t,t2, 1 / 3t3, The Length Of The Curve  Determine the length of a curve, \ (y=f (x)\), between two points. For a function f(x), the. We’ll do this by dividing the interval up into \(n\) equal subintervals each of. Example 1 determine the length of the curve \ (\vec r\left ( t \right) = \left\langle {2t,3\sin \left ( {2t} \right),3\cos \left ( {2t}. The length of a curve. The Length Of The Curve.
     
    
         
        From www.chegg.com 
                    Solved a. Set up an integral for the length of the curve. b. The Length Of The Curve  Example 1 determine the length of the curve \ (\vec r\left ( t \right) = \left\langle {2t,3\sin \left ( {2t} \right),3\cos \left ( {2t}. Determine the length of a curve, \ (x=g (y)\),. Initially we’ll need to estimate the length of the curve. Determine the length of a curve, \ (y=f (x)\), between two points. Imagine we want to find. The Length Of The Curve.
     
    
         
        From www.coursehero.com 
                    [Solved] Find the exact arc length of the curve over the interval. 6. y The Length Of The Curve  Determine the length of a curve, \ (x=g (y)\),. Example 1 determine the length of the curve \ (\vec r\left ( t \right) = \left\langle {2t,3\sin \left ( {2t} \right),3\cos \left ( {2t}. First we break the curve into small lengths and use the. Determine the length of a curve, \ (y=f (x)\), between two points. The length of the. The Length Of The Curve.
     
    
         
        From www.youtube.com 
                    Arc Length of a Polar Curve YouTube The Length Of The Curve  Imagine we want to find the length of a curve between two points. First we break the curve into small lengths and use the. Example 1 determine the length of the curve \ (\vec r\left ( t \right) = \left\langle {2t,3\sin \left ( {2t} \right),3\cos \left ( {2t}. Determine the length of a curve, \ (x=g (y)\),. Determine the length. The Length Of The Curve.
     
    
         
        From www.chegg.com 
                    Solved (1 point) To find the length of the curve defined by The Length Of The Curve  First we break the curve into small lengths and use the. We’ll do this by dividing the interval up into \(n\) equal subintervals each of. Imagine we want to find the length of a curve between two points. The basic point here is a formula obtained by using the ideas of calculus: For a function f(x), the. Determine the length. The Length Of The Curve.
     
    
         
        From www.numerade.com 
                    SOLVEDFind the exact length of the curve defined by the given The Length Of The Curve  We’ll do this by dividing the interval up into \(n\) equal subintervals each of. Example 1 determine the length of the curve \ (\vec r\left ( t \right) = \left\langle {2t,3\sin \left ( {2t} \right),3\cos \left ( {2t}. The length of a curve can be determined by integrating the infinitesimal lengths of the curve over the given interval. Determine the. The Length Of The Curve.
     
    
         
        From www.youtube.com 
                    Example of simple circular curve! Mid ordinate! Tengent length! Length The Length Of The Curve  Example 1 determine the length of the curve \ (\vec r\left ( t \right) = \left\langle {2t,3\sin \left ( {2t} \right),3\cos \left ( {2t}. And the curve is smooth (the derivative is continuous ). Determine the length of a curve, \ (y=f (x)\), between two points. First we break the curve into small lengths and use the. The length of. The Length Of The Curve.
     
    
         
        From www.numerade.com 
                    SOLVED 8. Find the arc length of the curve on the given interval with The Length Of The Curve  Example 1 determine the length of the curve \ (\vec r\left ( t \right) = \left\langle {2t,3\sin \left ( {2t} \right),3\cos \left ( {2t}. And the curve is smooth (the derivative is continuous ). We’ll do this by dividing the interval up into \(n\) equal subintervals each of. First we break the curve into small lengths and use the. For. The Length Of The Curve.
     
    
         
        From www.chegg.com 
                    Solved Find the length of the curve for the interval 1 * x * The Length Of The Curve  Determine the length of a curve, \ (y=f (x)\), between two points. Initially we’ll need to estimate the length of the curve. Example 1 determine the length of the curve \ (\vec r\left ( t \right) = \left\langle {2t,3\sin \left ( {2t} \right),3\cos \left ( {2t}. The length of the graph of $y=f(x)$ from $x=a$ to $x=b$ is $$\hbox{. For. The Length Of The Curve.
     
    
         
        From www.youtube.com 
                    Find exact value for length of curve on [0, 1] for x = 1 + 3t^2, y = 4 The Length Of The Curve  The length of the graph of $y=f(x)$ from $x=a$ to $x=b$ is $$\hbox{. Initially we’ll need to estimate the length of the curve. Imagine we want to find the length of a curve between two points. Determine the length of a curve, \ (y=f (x)\), between two points. The basic point here is a formula obtained by using the ideas. The Length Of The Curve.
     
    
         
        From www.numerade.com 
                    Find the length of the curve. r(t) = √(2) t i + e^t j + e^t k , 0 ≤t ≤ The Length Of The Curve  And the curve is smooth (the derivative is continuous ). Imagine we want to find the length of a curve between two points. The length of the graph of $y=f(x)$ from $x=a$ to $x=b$ is $$\hbox{. First we break the curve into small lengths and use the. The basic point here is a formula obtained by using the ideas of. The Length Of The Curve.
     
    
         
        From www.youtube.com 
                    How to calculate length of any curve? YouTube The Length Of The Curve  And the curve is smooth (the derivative is continuous ). The length of a curve can be determined by integrating the infinitesimal lengths of the curve over the given interval. The basic point here is a formula obtained by using the ideas of calculus: Imagine we want to find the length of a curve between two points. We’ll do this. The Length Of The Curve.
     
    
         
        From www.youtube.com 
                    Find the Length of a Loop of a Curve Given by Parametric Equations The Length Of The Curve  First we break the curve into small lengths and use the. The length of a curve can be determined by integrating the infinitesimal lengths of the curve over the given interval. Determine the length of a curve, \ (y=f (x)\), between two points. Determine the length of a curve, \ (x=g (y)\),. Imagine we want to find the length of. The Length Of The Curve.
     
    
         
        From www.slideserve.com 
                    PPT Mass Properties PowerPoint Presentation, free download ID6736221 The Length Of The Curve  First we break the curve into small lengths and use the. The length of the graph of $y=f(x)$ from $x=a$ to $x=b$ is $$\hbox{. For a function f(x), the. Imagine we want to find the length of a curve between two points. Example 1 determine the length of the curve \ (\vec r\left ( t \right) = \left\langle {2t,3\sin \left. The Length Of The Curve.
     
    
         
        From www.youtube.com 
                    Arc Length Calculus Problems, YouTube The Length Of The Curve  Determine the length of a curve, \ (x=g (y)\),. The length of a curve can be determined by integrating the infinitesimal lengths of the curve over the given interval. The basic point here is a formula obtained by using the ideas of calculus: The length of the graph of $y=f(x)$ from $x=a$ to $x=b$ is $$\hbox{. Initially we’ll need to. The Length Of The Curve.
     
    
         
        From www.youtube.com 
                    Arc Length of Parametric Curves YouTube The Length Of The Curve  We’ll do this by dividing the interval up into \(n\) equal subintervals each of. Example 1 determine the length of the curve \ (\vec r\left ( t \right) = \left\langle {2t,3\sin \left ( {2t} \right),3\cos \left ( {2t}. For a function f(x), the. Determine the length of a curve, \ (x=g (y)\),. The length of the graph of $y=f(x)$ from. The Length Of The Curve.
     
    
         
        From www.youtube.com 
                    Find the Length of the Curve SAT Math Problem YouTube The Length Of The Curve  The basic point here is a formula obtained by using the ideas of calculus: And the curve is smooth (the derivative is continuous ). We’ll do this by dividing the interval up into \(n\) equal subintervals each of. Initially we’ll need to estimate the length of the curve. The length of the graph of $y=f(x)$ from $x=a$ to $x=b$ is. The Length Of The Curve.
     
    
         
        From www.chegg.com 
                    Solved Find the length of the curve The Length Of The Curve  Example 1 determine the length of the curve \ (\vec r\left ( t \right) = \left\langle {2t,3\sin \left ( {2t} \right),3\cos \left ( {2t}. Initially we’ll need to estimate the length of the curve. The length of the graph of $y=f(x)$ from $x=a$ to $x=b$ is $$\hbox{. Imagine we want to find the length of a curve between two points.. The Length Of The Curve.
     
    
         
        From www.coursehero.com 
                    [Solved] Find the exact length of the curve described by the parametric The Length Of The Curve  For a function f(x), the. The length of the graph of $y=f(x)$ from $x=a$ to $x=b$ is $$\hbox{. We’ll do this by dividing the interval up into \(n\) equal subintervals each of. The length of a curve can be determined by integrating the infinitesimal lengths of the curve over the given interval. Determine the length of a curve, \ (y=f. The Length Of The Curve.
     
    
         
        From www.numerade.com 
                    SOLVEDFind the arc length function for the curve in Exercise 8, using The Length Of The Curve  Imagine we want to find the length of a curve between two points. Determine the length of a curve, \ (y=f (x)\), between two points. The length of the graph of $y=f(x)$ from $x=a$ to $x=b$ is $$\hbox{. Determine the length of a curve, \ (x=g (y)\),. And the curve is smooth (the derivative is continuous ). The length of. The Length Of The Curve.