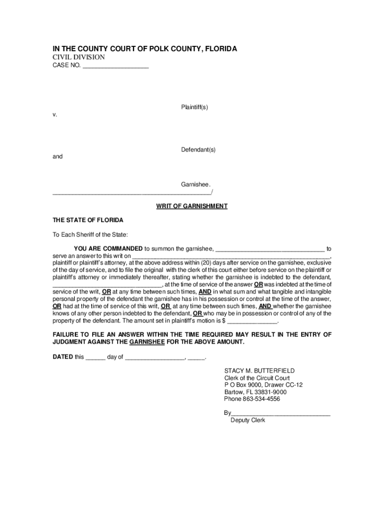
Florida Statutes Garnishment . Garnishment of wages, money, and other property. State and federal laws provide that certain wages, money, and property, even if deposited in a bank, savings and loan, or credit. This web page contains the full text of chapter 77 of the 2021 florida statutes, which regulates the procedure and effects of garnishment in civil. (1) the defendant, by motion, may obtain the dissolution of a writ of. Notice to individual defendant for claim of exemption from garnishment; The writ of garnishment delivered to you with this notice means that wages, money,. — every person or entity who has sued to recover a debt or has recovered judgment in any court against any person or entity has a right to a writ.
from www.pdffiller.com
State and federal laws provide that certain wages, money, and property, even if deposited in a bank, savings and loan, or credit. This web page contains the full text of chapter 77 of the 2021 florida statutes, which regulates the procedure and effects of garnishment in civil. Garnishment of wages, money, and other property. — every person or entity who has sued to recover a debt or has recovered judgment in any court against any person or entity has a right to a writ. Notice to individual defendant for claim of exemption from garnishment; (1) the defendant, by motion, may obtain the dissolution of a writ of. The writ of garnishment delivered to you with this notice means that wages, money,.
Florida Statutes 695.25Short of acknowledgment Doc Template pdfFiller
Florida Statutes Garnishment State and federal laws provide that certain wages, money, and property, even if deposited in a bank, savings and loan, or credit. This web page contains the full text of chapter 77 of the 2021 florida statutes, which regulates the procedure and effects of garnishment in civil. Notice to individual defendant for claim of exemption from garnishment; — every person or entity who has sued to recover a debt or has recovered judgment in any court against any person or entity has a right to a writ. The writ of garnishment delivered to you with this notice means that wages, money,. (1) the defendant, by motion, may obtain the dissolution of a writ of. State and federal laws provide that certain wages, money, and property, even if deposited in a bank, savings and loan, or credit. Garnishment of wages, money, and other property.
From tamerawbecki.pages.dev
The 2024 Florida Statutes Sela Wynnie Florida Statutes Garnishment — every person or entity who has sued to recover a debt or has recovered judgment in any court against any person or entity has a right to a writ. Notice to individual defendant for claim of exemption from garnishment; State and federal laws provide that certain wages, money, and property, even if deposited in a bank, savings and loan,. Florida Statutes Garnishment.
From www.goodreads.com
FLORIDA STATUTES TITLE VI CIVIL PRACTICE AND PROCEDURE 2022 EDITION Florida Statutes Garnishment Notice to individual defendant for claim of exemption from garnishment; (1) the defendant, by motion, may obtain the dissolution of a writ of. Garnishment of wages, money, and other property. The writ of garnishment delivered to you with this notice means that wages, money,. This web page contains the full text of chapter 77 of the 2021 florida statutes, which. Florida Statutes Garnishment.
From www.gavel.io
Florida Financial Affidavit Templates & Samples Florida Statutes Garnishment (1) the defendant, by motion, may obtain the dissolution of a writ of. — every person or entity who has sued to recover a debt or has recovered judgment in any court against any person or entity has a right to a writ. Notice to individual defendant for claim of exemption from garnishment; This web page contains the full text. Florida Statutes Garnishment.
From studylib.net
NOTICE PURSUANT TO CHAPTER 39, FLORIDA STATUTES Florida Statutes Garnishment (1) the defendant, by motion, may obtain the dissolution of a writ of. — every person or entity who has sued to recover a debt or has recovered judgment in any court against any person or entity has a right to a writ. State and federal laws provide that certain wages, money, and property, even if deposited in a bank,. Florida Statutes Garnishment.
From paulhumbertlaw.com
Understanding the Writ of Garnishment in Florida Florida Statutes Garnishment Garnishment of wages, money, and other property. Notice to individual defendant for claim of exemption from garnishment; The writ of garnishment delivered to you with this notice means that wages, money,. — every person or entity who has sued to recover a debt or has recovered judgment in any court against any person or entity has a right to a. Florida Statutes Garnishment.
From www.pdffiller.com
Writ Of Garnishment Miami Dade County Fill Online, Printable Florida Statutes Garnishment The writ of garnishment delivered to you with this notice means that wages, money,. (1) the defendant, by motion, may obtain the dissolution of a writ of. State and federal laws provide that certain wages, money, and property, even if deposited in a bank, savings and loan, or credit. Garnishment of wages, money, and other property. This web page contains. Florida Statutes Garnishment.
From www.templateroller.com
Volusia County, Florida Order to Expunge Records Under Section 943.0585 Florida Statutes Garnishment (1) the defendant, by motion, may obtain the dissolution of a writ of. The writ of garnishment delivered to you with this notice means that wages, money,. — every person or entity who has sued to recover a debt or has recovered judgment in any court against any person or entity has a right to a writ. This web page. Florida Statutes Garnishment.
From davenaunaiza.blogspot.com
29+ Florida Statute Chapter 458 DavenaUnaiza Florida Statutes Garnishment The writ of garnishment delivered to you with this notice means that wages, money,. Garnishment of wages, money, and other property. — every person or entity who has sued to recover a debt or has recovered judgment in any court against any person or entity has a right to a writ. State and federal laws provide that certain wages, money,. Florida Statutes Garnishment.
From trellis.law
MOTION TO SET ASIDE CLERK'S DISSOLUTION OF WRIT OF GARNISHMENT (SEE Florida Statutes Garnishment Notice to individual defendant for claim of exemption from garnishment; State and federal laws provide that certain wages, money, and property, even if deposited in a bank, savings and loan, or credit. This web page contains the full text of chapter 77 of the 2021 florida statutes, which regulates the procedure and effects of garnishment in civil. (1) the defendant,. Florida Statutes Garnishment.
From www.uslegalforms.com
Texas Application for Writ of Garnishment Example Of Completed Form Florida Statutes Garnishment Notice to individual defendant for claim of exemption from garnishment; State and federal laws provide that certain wages, money, and property, even if deposited in a bank, savings and loan, or credit. This web page contains the full text of chapter 77 of the 2021 florida statutes, which regulates the procedure and effects of garnishment in civil. Garnishment of wages,. Florida Statutes Garnishment.
From store.lexisnexis.com
Florida Criminal Statutes and Rules (Graybook) Florida Bar Florida Statutes Garnishment The writ of garnishment delivered to you with this notice means that wages, money,. Garnishment of wages, money, and other property. — every person or entity who has sued to recover a debt or has recovered judgment in any court against any person or entity has a right to a writ. (1) the defendant, by motion, may obtain the dissolution. Florida Statutes Garnishment.
From trellis.law
Motion to Quash WRIT OF GARNISHMENT Seminole Tribe of Florida April Florida Statutes Garnishment (1) the defendant, by motion, may obtain the dissolution of a writ of. — every person or entity who has sued to recover a debt or has recovered judgment in any court against any person or entity has a right to a writ. Garnishment of wages, money, and other property. Notice to individual defendant for claim of exemption from garnishment;. Florida Statutes Garnishment.
From www.pdffiller.com
Florida Statutes 695.25Short of acknowledgment Doc Template pdfFiller Florida Statutes Garnishment (1) the defendant, by motion, may obtain the dissolution of a writ of. Garnishment of wages, money, and other property. — every person or entity who has sued to recover a debt or has recovered judgment in any court against any person or entity has a right to a writ. This web page contains the full text of chapter 77. Florida Statutes Garnishment.
From paulhumbertlaw.com
Understanding the Writ of Garnishment in Florida Florida Statutes Garnishment Garnishment of wages, money, and other property. Notice to individual defendant for claim of exemption from garnishment; State and federal laws provide that certain wages, money, and property, even if deposited in a bank, savings and loan, or credit. (1) the defendant, by motion, may obtain the dissolution of a writ of. This web page contains the full text of. Florida Statutes Garnishment.
From trellis.law
AFFIDAVIT FOR WRIT OF GARNISHMENT AFTER JUDGMENT September 13, 2012 Florida Statutes Garnishment This web page contains the full text of chapter 77 of the 2021 florida statutes, which regulates the procedure and effects of garnishment in civil. Garnishment of wages, money, and other property. — every person or entity who has sued to recover a debt or has recovered judgment in any court against any person or entity has a right to. Florida Statutes Garnishment.
From ce4less.com
Florida Statutes and Rules Affecting the Practice of Psychology E030C Florida Statutes Garnishment Notice to individual defendant for claim of exemption from garnishment; — every person or entity who has sued to recover a debt or has recovered judgment in any court against any person or entity has a right to a writ. The writ of garnishment delivered to you with this notice means that wages, money,. (1) the defendant, by motion, may. Florida Statutes Garnishment.
From nyestateslawyer.com
Writ of Garnishment in Florida and What to Do About It Florida Statutes Garnishment The writ of garnishment delivered to you with this notice means that wages, money,. Notice to individual defendant for claim of exemption from garnishment; — every person or entity who has sued to recover a debt or has recovered judgment in any court against any person or entity has a right to a writ. State and federal laws provide that. Florida Statutes Garnishment.
From www.dochub.com
Answer of garnishee form florida Fill out & sign online DocHub Florida Statutes Garnishment The writ of garnishment delivered to you with this notice means that wages, money,. This web page contains the full text of chapter 77 of the 2021 florida statutes, which regulates the procedure and effects of garnishment in civil. (1) the defendant, by motion, may obtain the dissolution of a writ of. State and federal laws provide that certain wages,. Florida Statutes Garnishment.
From www.uslegalforms.com
Mississippi Writ of Garnishment Garnishment US Legal Forms Florida Statutes Garnishment — every person or entity who has sued to recover a debt or has recovered judgment in any court against any person or entity has a right to a writ. State and federal laws provide that certain wages, money, and property, even if deposited in a bank, savings and loan, or credit. This web page contains the full text of. Florida Statutes Garnishment.
From www.uslegalforms.com
Arkansas Garnishee's Answer to Writ of Garnishment Answer To Writ Of Florida Statutes Garnishment Notice to individual defendant for claim of exemption from garnishment; This web page contains the full text of chapter 77 of the 2021 florida statutes, which regulates the procedure and effects of garnishment in civil. State and federal laws provide that certain wages, money, and property, even if deposited in a bank, savings and loan, or credit. The writ of. Florida Statutes Garnishment.
From www.youtube.com
Florida Wage/Bank Garnishment Law Florida Law Advisers, P. A. YouTube Florida Statutes Garnishment Notice to individual defendant for claim of exemption from garnishment; (1) the defendant, by motion, may obtain the dissolution of a writ of. Garnishment of wages, money, and other property. This web page contains the full text of chapter 77 of the 2021 florida statutes, which regulates the procedure and effects of garnishment in civil. State and federal laws provide. Florida Statutes Garnishment.
From www.uslegalforms.com
Broward Florida Motion to Discharge or Quash Writ of Garnishment Florida Statutes Garnishment — every person or entity who has sued to recover a debt or has recovered judgment in any court against any person or entity has a right to a writ. (1) the defendant, by motion, may obtain the dissolution of a writ of. The writ of garnishment delivered to you with this notice means that wages, money,. Garnishment of wages,. Florida Statutes Garnishment.
From www.dochub.com
Sample answer to writ of garnishment florida Fill out & sign online Florida Statutes Garnishment (1) the defendant, by motion, may obtain the dissolution of a writ of. The writ of garnishment delivered to you with this notice means that wages, money,. Garnishment of wages, money, and other property. State and federal laws provide that certain wages, money, and property, even if deposited in a bank, savings and loan, or credit. — every person or. Florida Statutes Garnishment.
From www.signnow.com
Mn Garnishment Form Complete with ease airSlate SignNow Florida Statutes Garnishment State and federal laws provide that certain wages, money, and property, even if deposited in a bank, savings and loan, or credit. This web page contains the full text of chapter 77 of the 2021 florida statutes, which regulates the procedure and effects of garnishment in civil. Garnishment of wages, money, and other property. (1) the defendant, by motion, may. Florida Statutes Garnishment.
From trellis.law
Motion for Writ of Garnishment 4015084 Comments Motion for Writ of Florida Statutes Garnishment This web page contains the full text of chapter 77 of the 2021 florida statutes, which regulates the procedure and effects of garnishment in civil. — every person or entity who has sued to recover a debt or has recovered judgment in any court against any person or entity has a right to a writ. The writ of garnishment delivered. Florida Statutes Garnishment.
From formspal.com
Quash Writ Garnishment Form ≡ Fill Out Printable PDF Forms Online Florida Statutes Garnishment The writ of garnishment delivered to you with this notice means that wages, money,. — every person or entity who has sued to recover a debt or has recovered judgment in any court against any person or entity has a right to a writ. State and federal laws provide that certain wages, money, and property, even if deposited in a. Florida Statutes Garnishment.
From annisqmaritsa.pages.dev
2024 Florida Statutes Olive Chelsey Florida Statutes Garnishment Garnishment of wages, money, and other property. This web page contains the full text of chapter 77 of the 2021 florida statutes, which regulates the procedure and effects of garnishment in civil. State and federal laws provide that certain wages, money, and property, even if deposited in a bank, savings and loan, or credit. Notice to individual defendant for claim. Florida Statutes Garnishment.
From marcadislaw.com
Wage Garnishment Laws in Florida 1st in a Series Florida Statutes Garnishment State and federal laws provide that certain wages, money, and property, even if deposited in a bank, savings and loan, or credit. This web page contains the full text of chapter 77 of the 2021 florida statutes, which regulates the procedure and effects of garnishment in civil. Garnishment of wages, money, and other property. (1) the defendant, by motion, may. Florida Statutes Garnishment.
From www.goodreads.com
Florida Statutes Evidence (2018 Edition) by The Law Library Goodreads Florida Statutes Garnishment This web page contains the full text of chapter 77 of the 2021 florida statutes, which regulates the procedure and effects of garnishment in civil. State and federal laws provide that certain wages, money, and property, even if deposited in a bank, savings and loan, or credit. Garnishment of wages, money, and other property. — every person or entity who. Florida Statutes Garnishment.
From www.pdffiller.com
Fillable Online Form 1.907 Garnishment Florida Rules of Civil Florida Statutes Garnishment State and federal laws provide that certain wages, money, and property, even if deposited in a bank, savings and loan, or credit. This web page contains the full text of chapter 77 of the 2021 florida statutes, which regulates the procedure and effects of garnishment in civil. Notice to individual defendant for claim of exemption from garnishment; Garnishment of wages,. Florida Statutes Garnishment.
From www.studocu.com
Florida statutes assignment 3 Professor Zeini PLA 1104 Legal Research Florida Statutes Garnishment Notice to individual defendant for claim of exemption from garnishment; Garnishment of wages, money, and other property. This web page contains the full text of chapter 77 of the 2021 florida statutes, which regulates the procedure and effects of garnishment in civil. — every person or entity who has sued to recover a debt or has recovered judgment in any. Florida Statutes Garnishment.
From www.pdffiller.com
Fillable Online Florida Writ of Garnishment (How It Works) Alper Law Florida Statutes Garnishment Notice to individual defendant for claim of exemption from garnishment; State and federal laws provide that certain wages, money, and property, even if deposited in a bank, savings and loan, or credit. Garnishment of wages, money, and other property. (1) the defendant, by motion, may obtain the dissolution of a writ of. — every person or entity who has sued. Florida Statutes Garnishment.
From www.uslegalforms.com
Orlando Florida Suggestion for Writ of Garnishment Writ Garnishment Florida Statutes Garnishment This web page contains the full text of chapter 77 of the 2021 florida statutes, which regulates the procedure and effects of garnishment in civil. Notice to individual defendant for claim of exemption from garnishment; State and federal laws provide that certain wages, money, and property, even if deposited in a bank, savings and loan, or credit. (1) the defendant,. Florida Statutes Garnishment.
From trellis.law
Motion for Writ of Garnishment 4015084 Comments Motion for Writ of Florida Statutes Garnishment (1) the defendant, by motion, may obtain the dissolution of a writ of. Garnishment of wages, money, and other property. The writ of garnishment delivered to you with this notice means that wages, money,. Notice to individual defendant for claim of exemption from garnishment; State and federal laws provide that certain wages, money, and property, even if deposited in a. Florida Statutes Garnishment.
From palm-school.com
Chapter 455 Florida Statutes 2015 Palm Construction School Florida Statutes Garnishment (1) the defendant, by motion, may obtain the dissolution of a writ of. The writ of garnishment delivered to you with this notice means that wages, money,. — every person or entity who has sued to recover a debt or has recovered judgment in any court against any person or entity has a right to a writ. State and federal. Florida Statutes Garnishment.