Legal Definition Summary Suspension . You need to act quickly. Still, if you regularly drive, you. Facing a suspension of your driving privileges may be the least of your worries after a dui arrest. A statutory summary suspension is a legal process in the united states that automatically suspends a person's driver's. Learn how to contest a summary suspension of your driving privileges after a dui arrest in illinois. Unlike a criminal dui charge, a summary suspension is a civil sanction imposed for failing or refusing testing while driving, or. Find out the length of suspension, eligibility for. Learn how to protect your medical license from summary suspension, a drastic remedy that can be initiated by the office of the. Learn what to do if you receive a summary suspension of your medical, nursing or other license in michigan. Learn how a summary suspension is a civil penalty for failing or refusing chemical testing in illinois dui arrests.
from nap.nationalacademies.org
Find out the length of suspension, eligibility for. Learn how a summary suspension is a civil penalty for failing or refusing chemical testing in illinois dui arrests. Learn how to contest a summary suspension of your driving privileges after a dui arrest in illinois. Still, if you regularly drive, you. Learn what to do if you receive a summary suspension of your medical, nursing or other license in michigan. A statutory summary suspension is a legal process in the united states that automatically suspends a person's driver's. Unlike a criminal dui charge, a summary suspension is a civil sanction imposed for failing or refusing testing while driving, or. Learn how to protect your medical license from summary suspension, a drastic remedy that can be initiated by the office of the. Facing a suspension of your driving privileges may be the least of your worries after a dui arrest. You need to act quickly.
Appendix E Certification Regarding Debarment, Suspension, Ineligibility and Voluntary Exclusion
Legal Definition Summary Suspension Learn what to do if you receive a summary suspension of your medical, nursing or other license in michigan. Unlike a criminal dui charge, a summary suspension is a civil sanction imposed for failing or refusing testing while driving, or. Facing a suspension of your driving privileges may be the least of your worries after a dui arrest. Learn how a summary suspension is a civil penalty for failing or refusing chemical testing in illinois dui arrests. Learn how to contest a summary suspension of your driving privileges after a dui arrest in illinois. Still, if you regularly drive, you. Find out the length of suspension, eligibility for. Learn what to do if you receive a summary suspension of your medical, nursing or other license in michigan. A statutory summary suspension is a legal process in the united states that automatically suspends a person's driver's. Learn how to protect your medical license from summary suspension, a drastic remedy that can be initiated by the office of the. You need to act quickly.
From www.lawtimesnews.com
Law society ramps up interim suspensions Law Times Legal Definition Summary Suspension You need to act quickly. Learn how a summary suspension is a civil penalty for failing or refusing chemical testing in illinois dui arrests. Find out the length of suspension, eligibility for. Learn what to do if you receive a summary suspension of your medical, nursing or other license in michigan. Learn how to contest a summary suspension of your. Legal Definition Summary Suspension.
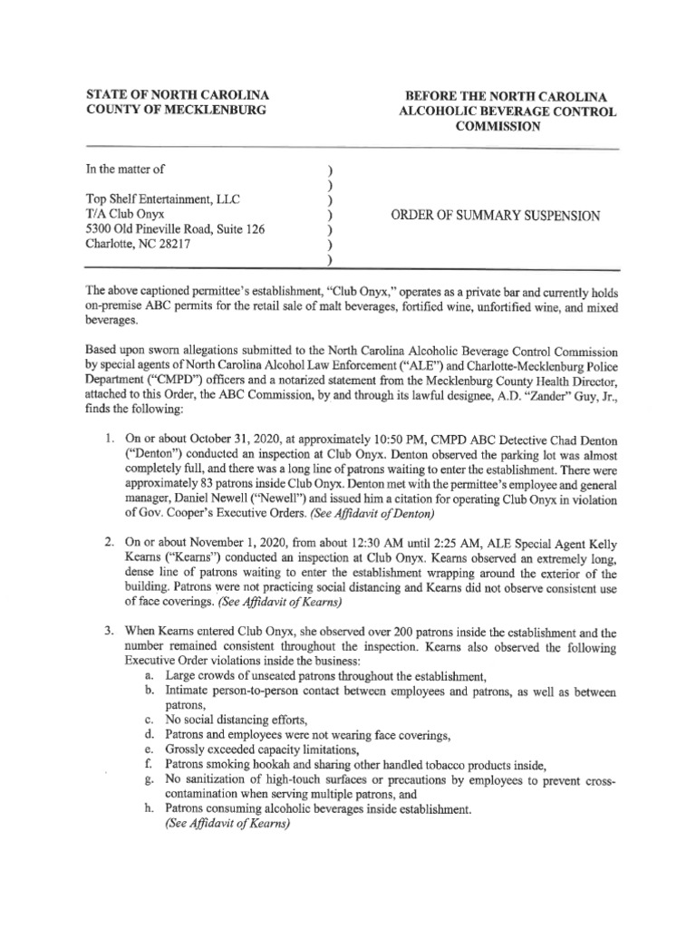
From www.documentcloud.org
Order of Summary Suspension DocumentCloud Legal Definition Summary Suspension A statutory summary suspension is a legal process in the united states that automatically suspends a person's driver's. Unlike a criminal dui charge, a summary suspension is a civil sanction imposed for failing or refusing testing while driving, or. Find out the length of suspension, eligibility for. Learn how to contest a summary suspension of your driving privileges after a. Legal Definition Summary Suspension.
From www.slideshare.net
Illinois Statutory Summary Suspension Law Legal Definition Summary Suspension Still, if you regularly drive, you. Learn what to do if you receive a summary suspension of your medical, nursing or other license in michigan. Facing a suspension of your driving privileges may be the least of your worries after a dui arrest. Learn how to protect your medical license from summary suspension, a drastic remedy that can be initiated. Legal Definition Summary Suspension.
From www.scribd.com
Notice of Summary Suspension PDF Legal Definition Summary Suspension You need to act quickly. Unlike a criminal dui charge, a summary suspension is a civil sanction imposed for failing or refusing testing while driving, or. Learn how to protect your medical license from summary suspension, a drastic remedy that can be initiated by the office of the. Find out the length of suspension, eligibility for. A statutory summary suspension. Legal Definition Summary Suspension.
From www.youtube.com
Suspensions Definition and Examples YouTube Legal Definition Summary Suspension Facing a suspension of your driving privileges may be the least of your worries after a dui arrest. You need to act quickly. Learn how to protect your medical license from summary suspension, a drastic remedy that can be initiated by the office of the. Find out the length of suspension, eligibility for. Still, if you regularly drive, you. Learn. Legal Definition Summary Suspension.
From pixabay.com
Download Law, Court, Lawyer. RoyaltyFree Stock Illustration Image Pixabay Legal Definition Summary Suspension Learn how to contest a summary suspension of your driving privileges after a dui arrest in illinois. Facing a suspension of your driving privileges may be the least of your worries after a dui arrest. You need to act quickly. Find out the length of suspension, eligibility for. Still, if you regularly drive, you. Learn what to do if you. Legal Definition Summary Suspension.
From www.signnow.com
Illinois Statutory Summary Suspension 20012024 Form Fill Out and Sign Printable PDF Template Legal Definition Summary Suspension Learn how to protect your medical license from summary suspension, a drastic remedy that can be initiated by the office of the. Learn what to do if you receive a summary suspension of your medical, nursing or other license in michigan. You need to act quickly. Facing a suspension of your driving privileges may be the least of your worries. Legal Definition Summary Suspension.
From www.studocu.com
Gpol Summary Introduction to Law Define Law The definition of the law can be established by Legal Definition Summary Suspension Facing a suspension of your driving privileges may be the least of your worries after a dui arrest. Find out the length of suspension, eligibility for. Learn how to contest a summary suspension of your driving privileges after a dui arrest in illinois. Learn how to protect your medical license from summary suspension, a drastic remedy that can be initiated. Legal Definition Summary Suspension.
From www.scribd.com
Order of Summary Suspension PDF Legal Definition Summary Suspension Learn what to do if you receive a summary suspension of your medical, nursing or other license in michigan. Learn how a summary suspension is a civil penalty for failing or refusing chemical testing in illinois dui arrests. You need to act quickly. Learn how to contest a summary suspension of your driving privileges after a dui arrest in illinois.. Legal Definition Summary Suspension.
From exobkcoth.blob.core.windows.net
Definition Of Suspension In Chemistry Class 9 at Jeff Obryan blog Legal Definition Summary Suspension A statutory summary suspension is a legal process in the united states that automatically suspends a person's driver's. Find out the length of suspension, eligibility for. Learn how a summary suspension is a civil penalty for failing or refusing chemical testing in illinois dui arrests. Facing a suspension of your driving privileges may be the least of your worries after. Legal Definition Summary Suspension.
From www.signnow.com
Petition to Rescind Summary Suspension Illinois 20162024 Form Fill Out and Sign Printable PDF Legal Definition Summary Suspension You need to act quickly. Learn how to contest a summary suspension of your driving privileges after a dui arrest in illinois. Find out the length of suspension, eligibility for. Learn what to do if you receive a summary suspension of your medical, nursing or other license in michigan. Learn how a summary suspension is a civil penalty for failing. Legal Definition Summary Suspension.
From www.studocu.com
Summary Suspension preparation Summary Suspension preparation DISCUSSION 2 Definition of Studocu Legal Definition Summary Suspension Learn how a summary suspension is a civil penalty for failing or refusing chemical testing in illinois dui arrests. Learn how to contest a summary suspension of your driving privileges after a dui arrest in illinois. Facing a suspension of your driving privileges may be the least of your worries after a dui arrest. Find out the length of suspension,. Legal Definition Summary Suspension.
From studylib.net
CONTROL LAW DESIGNS FOR SUSPENSIONS Legal Definition Summary Suspension Learn how to protect your medical license from summary suspension, a drastic remedy that can be initiated by the office of the. A statutory summary suspension is a legal process in the united states that automatically suspends a person's driver's. Unlike a criminal dui charge, a summary suspension is a civil sanction imposed for failing or refusing testing while driving,. Legal Definition Summary Suspension.
From exojpxgyg.blob.core.windows.net
Suspension Legal Term Definition at Marjorie Alm blog Legal Definition Summary Suspension Still, if you regularly drive, you. A statutory summary suspension is a legal process in the united states that automatically suspends a person's driver's. Find out the length of suspension, eligibility for. Learn how a summary suspension is a civil penalty for failing or refusing chemical testing in illinois dui arrests. Unlike a criminal dui charge, a summary suspension is. Legal Definition Summary Suspension.
From lawtimesjournal.in
Suspension of Sentence Law Times Journal Legal Definition Summary Suspension Still, if you regularly drive, you. Learn how a summary suspension is a civil penalty for failing or refusing chemical testing in illinois dui arrests. Learn how to contest a summary suspension of your driving privileges after a dui arrest in illinois. Facing a suspension of your driving privileges may be the least of your worries after a dui arrest.. Legal Definition Summary Suspension.
From www.studocu.com
Suspensions Lecture notes 2 SUSPENSION Definition A suspension is a two phase system Legal Definition Summary Suspension Learn how a summary suspension is a civil penalty for failing or refusing chemical testing in illinois dui arrests. Learn how to contest a summary suspension of your driving privileges after a dui arrest in illinois. Facing a suspension of your driving privileges may be the least of your worries after a dui arrest. Still, if you regularly drive, you.. Legal Definition Summary Suspension.
From www.slideserve.com
PPT Suspension PowerPoint Presentation ID1940426 Legal Definition Summary Suspension Still, if you regularly drive, you. You need to act quickly. Find out the length of suspension, eligibility for. Facing a suspension of your driving privileges may be the least of your worries after a dui arrest. Unlike a criminal dui charge, a summary suspension is a civil sanction imposed for failing or refusing testing while driving, or. Learn how. Legal Definition Summary Suspension.
From www.scienceabc.com
Automotive Suspension Definition, Working, Types, Diagrams, And Future Legal Definition Summary Suspension Unlike a criminal dui charge, a summary suspension is a civil sanction imposed for failing or refusing testing while driving, or. Learn what to do if you receive a summary suspension of your medical, nursing or other license in michigan. Facing a suspension of your driving privileges may be the least of your worries after a dui arrest. Learn how. Legal Definition Summary Suspension.
From nap.nationalacademies.org
Appendix E Certification Regarding Debarment, Suspension, Ineligibility and Voluntary Exclusion Legal Definition Summary Suspension Find out the length of suspension, eligibility for. Still, if you regularly drive, you. Learn how to contest a summary suspension of your driving privileges after a dui arrest in illinois. Learn how a summary suspension is a civil penalty for failing or refusing chemical testing in illinois dui arrests. Learn what to do if you receive a summary suspension. Legal Definition Summary Suspension.
From www.scribd.com
Order of Summary Suspension Club Onyx Legal Definition Summary Suspension Find out the length of suspension, eligibility for. Learn how to protect your medical license from summary suspension, a drastic remedy that can be initiated by the office of the. Unlike a criminal dui charge, a summary suspension is a civil sanction imposed for failing or refusing testing while driving, or. Learn how a summary suspension is a civil penalty. Legal Definition Summary Suspension.
From www.slideshare.net
Suspensions Formulation Overview Legal Definition Summary Suspension Learn how a summary suspension is a civil penalty for failing or refusing chemical testing in illinois dui arrests. Learn how to contest a summary suspension of your driving privileges after a dui arrest in illinois. You need to act quickly. Unlike a criminal dui charge, a summary suspension is a civil sanction imposed for failing or refusing testing while. Legal Definition Summary Suspension.
From pediaa.com
Difference Between Flocculated and Deflocculated Suspension Definition, Explanation and Legal Definition Summary Suspension Still, if you regularly drive, you. Find out the length of suspension, eligibility for. Learn how to protect your medical license from summary suspension, a drastic remedy that can be initiated by the office of the. Learn how a summary suspension is a civil penalty for failing or refusing chemical testing in illinois dui arrests. A statutory summary suspension is. Legal Definition Summary Suspension.
From learningmadesimple360.blogspot.com
Advantages and Disadvantages of Suspension Definition, What is Suspension?, Pros and Cons Legal Definition Summary Suspension Find out the length of suspension, eligibility for. Unlike a criminal dui charge, a summary suspension is a civil sanction imposed for failing or refusing testing while driving, or. Still, if you regularly drive, you. A statutory summary suspension is a legal process in the united states that automatically suspends a person's driver's. Learn how to contest a summary suspension. Legal Definition Summary Suspension.
From www.uslegalforms.com
Suffolk New York Motion for Summary Judgment on Behalf of Defendant US Legal Forms Legal Definition Summary Suspension Find out the length of suspension, eligibility for. Unlike a criminal dui charge, a summary suspension is a civil sanction imposed for failing or refusing testing while driving, or. Learn what to do if you receive a summary suspension of your medical, nursing or other license in michigan. Still, if you regularly drive, you. Learn how a summary suspension is. Legal Definition Summary Suspension.
From www.studypool.com
SOLUTION Suspensions Definition, Types , Properties , Classification, Studypool Legal Definition Summary Suspension You need to act quickly. A statutory summary suspension is a legal process in the united states that automatically suspends a person's driver's. Still, if you regularly drive, you. Unlike a criminal dui charge, a summary suspension is a civil sanction imposed for failing or refusing testing while driving, or. Learn how to contest a summary suspension of your driving. Legal Definition Summary Suspension.
From slideplayer.com
VEHICLE CODE ENFORCEMENT II ppt download Legal Definition Summary Suspension You need to act quickly. Find out the length of suspension, eligibility for. Unlike a criminal dui charge, a summary suspension is a civil sanction imposed for failing or refusing testing while driving, or. Learn how a summary suspension is a civil penalty for failing or refusing chemical testing in illinois dui arrests. Learn how to protect your medical license. Legal Definition Summary Suspension.
From www.slideshare.net
Illinois Statutory Summary Suspension Law Legal Definition Summary Suspension Learn how to protect your medical license from summary suspension, a drastic remedy that can be initiated by the office of the. Facing a suspension of your driving privileges may be the least of your worries after a dui arrest. Find out the length of suspension, eligibility for. Unlike a criminal dui charge, a summary suspension is a civil sanction. Legal Definition Summary Suspension.
From uslawessentials.com
What is the difference between judgment as a matter of law and summary judgment? uslawessentials Legal Definition Summary Suspension Find out the length of suspension, eligibility for. Learn what to do if you receive a summary suspension of your medical, nursing or other license in michigan. A statutory summary suspension is a legal process in the united states that automatically suspends a person's driver's. Still, if you regularly drive, you. Learn how to protect your medical license from summary. Legal Definition Summary Suspension.
From www.onfocus.news
Mickelson and DeChambeau Headline List of 11 LIV Golfers Filing Lawsuit against PGA for Legal Definition Summary Suspension A statutory summary suspension is a legal process in the united states that automatically suspends a person's driver's. Unlike a criminal dui charge, a summary suspension is a civil sanction imposed for failing or refusing testing while driving, or. Learn how to contest a summary suspension of your driving privileges after a dui arrest in illinois. Learn how a summary. Legal Definition Summary Suspension.
From www.studypool.com
SOLUTION Suspensions Definition, Types , Properties , Classification, Studypool Legal Definition Summary Suspension A statutory summary suspension is a legal process in the united states that automatically suspends a person's driver's. Unlike a criminal dui charge, a summary suspension is a civil sanction imposed for failing or refusing testing while driving, or. Find out the length of suspension, eligibility for. Learn how to protect your medical license from summary suspension, a drastic remedy. Legal Definition Summary Suspension.
From pediaa.com
Difference Between Solution and Suspension Definition, Characteristics, Examples Legal Definition Summary Suspension Learn how to protect your medical license from summary suspension, a drastic remedy that can be initiated by the office of the. A statutory summary suspension is a legal process in the united states that automatically suspends a person's driver's. Learn how a summary suspension is a civil penalty for failing or refusing chemical testing in illinois dui arrests. Learn. Legal Definition Summary Suspension.
From exojpxgyg.blob.core.windows.net
Suspension Legal Term Definition at Marjorie Alm blog Legal Definition Summary Suspension A statutory summary suspension is a legal process in the united states that automatically suspends a person's driver's. Learn how to contest a summary suspension of your driving privileges after a dui arrest in illinois. Unlike a criminal dui charge, a summary suspension is a civil sanction imposed for failing or refusing testing while driving, or. Find out the length. Legal Definition Summary Suspension.
From www.studocu.com
Suspension Pharmaceutics Notes SUSPENSION Definition of suspension Pharmaceutical suspensions Legal Definition Summary Suspension A statutory summary suspension is a legal process in the united states that automatically suspends a person's driver's. Facing a suspension of your driving privileges may be the least of your worries after a dui arrest. Find out the length of suspension, eligibility for. Still, if you regularly drive, you. Unlike a criminal dui charge, a summary suspension is a. Legal Definition Summary Suspension.
From slideplayer.com
Florida Real Estate Principles, Practices & Law 39th Edition ppt download Legal Definition Summary Suspension Unlike a criminal dui charge, a summary suspension is a civil sanction imposed for failing or refusing testing while driving, or. You need to act quickly. Learn how to contest a summary suspension of your driving privileges after a dui arrest in illinois. Find out the length of suspension, eligibility for. Learn how a summary suspension is a civil penalty. Legal Definition Summary Suspension.
From pediaa.com
Difference Between Colloid and Suspension Definition, Properties, Examples Legal Definition Summary Suspension You need to act quickly. Learn how to contest a summary suspension of your driving privileges after a dui arrest in illinois. Find out the length of suspension, eligibility for. A statutory summary suspension is a legal process in the united states that automatically suspends a person's driver's. Learn how to protect your medical license from summary suspension, a drastic. Legal Definition Summary Suspension.