P And A Auto Parts Mahwah . Carquest is a locally owned auto parts store that has been serving our hometown for years. Near the intersection of franklin tpke and ward ln. P & a auto parts offers a wide range of quality auto parts and accessories for various vehicle models. Save even more on your next visit by. Carquest is part of advance auto parts, inc., the largest automotive aftermarket parts supplier in the u.s. 60 franklin tpke, mahwah, nj 07430
from circuitenginetahrs55.z13.web.core.windows.net
Near the intersection of franklin tpke and ward ln. P & a auto parts offers a wide range of quality auto parts and accessories for various vehicle models. Carquest is a locally owned auto parts store that has been serving our hometown for years. 60 franklin tpke, mahwah, nj 07430 Save even more on your next visit by. Carquest is part of advance auto parts, inc., the largest automotive aftermarket parts supplier in the u.s.
Onan Parts Lookup By Model Spec A
P And A Auto Parts Mahwah Near the intersection of franklin tpke and ward ln. P & a auto parts offers a wide range of quality auto parts and accessories for various vehicle models. Carquest is part of advance auto parts, inc., the largest automotive aftermarket parts supplier in the u.s. Carquest is a locally owned auto parts store that has been serving our hometown for years. 60 franklin tpke, mahwah, nj 07430 Near the intersection of franklin tpke and ward ln. Save even more on your next visit by.
From www.weblancer.net
P and A Работа 1 Заказать похожую работу P And A Auto Parts Mahwah Save even more on your next visit by. Carquest is a locally owned auto parts store that has been serving our hometown for years. 60 franklin tpke, mahwah, nj 07430 Near the intersection of franklin tpke and ward ln. Carquest is part of advance auto parts, inc., the largest automotive aftermarket parts supplier in the u.s. P & a auto. P And A Auto Parts Mahwah.
From www.centerpointut.com
NAPA Auto Parts P And A Auto Parts Mahwah Near the intersection of franklin tpke and ward ln. P & a auto parts offers a wide range of quality auto parts and accessories for various vehicle models. Carquest is part of advance auto parts, inc., the largest automotive aftermarket parts supplier in the u.s. 60 franklin tpke, mahwah, nj 07430 Save even more on your next visit by. Carquest. P And A Auto Parts Mahwah.
From www.facebook.com
P.P. Auto Part Bangkok P And A Auto Parts Mahwah P & a auto parts offers a wide range of quality auto parts and accessories for various vehicle models. 60 franklin tpke, mahwah, nj 07430 Near the intersection of franklin tpke and ward ln. Carquest is a locally owned auto parts store that has been serving our hometown for years. Carquest is part of advance auto parts, inc., the largest. P And A Auto Parts Mahwah.
From www.indiamart.com
Power And Distribution Transformers at best price in Agra P And A Auto Parts Mahwah Carquest is a locally owned auto parts store that has been serving our hometown for years. Carquest is part of advance auto parts, inc., the largest automotive aftermarket parts supplier in the u.s. 60 franklin tpke, mahwah, nj 07430 Save even more on your next visit by. Near the intersection of franklin tpke and ward ln. P & a auto. P And A Auto Parts Mahwah.
From www.chegg.com
Given the following idealized fuselage that has a P And A Auto Parts Mahwah Near the intersection of franklin tpke and ward ln. 60 franklin tpke, mahwah, nj 07430 P & a auto parts offers a wide range of quality auto parts and accessories for various vehicle models. Carquest is part of advance auto parts, inc., the largest automotive aftermarket parts supplier in the u.s. Carquest is a locally owned auto parts store that. P And A Auto Parts Mahwah.
From schematicpiscardixf.z4.web.core.windows.net
Smith And Wesson M&p Shield Parts Diagram P And A Auto Parts Mahwah Near the intersection of franklin tpke and ward ln. Save even more on your next visit by. 60 franklin tpke, mahwah, nj 07430 P & a auto parts offers a wide range of quality auto parts and accessories for various vehicle models. Carquest is part of advance auto parts, inc., the largest automotive aftermarket parts supplier in the u.s. Carquest. P And A Auto Parts Mahwah.
From webuydeadstocks.com
Difference between p and q inventory Systems P And A Auto Parts Mahwah Near the intersection of franklin tpke and ward ln. P & a auto parts offers a wide range of quality auto parts and accessories for various vehicle models. Save even more on your next visit by. Carquest is a locally owned auto parts store that has been serving our hometown for years. Carquest is part of advance auto parts, inc.,. P And A Auto Parts Mahwah.
From www.researchgate.net
3 Singlet C 60 ZnPc(P) 4 complex (left) and triplet C 60 ZnPc(S) 4 P And A Auto Parts Mahwah 60 franklin tpke, mahwah, nj 07430 Near the intersection of franklin tpke and ward ln. P & a auto parts offers a wide range of quality auto parts and accessories for various vehicle models. Save even more on your next visit by. Carquest is a locally owned auto parts store that has been serving our hometown for years. Carquest is. P And A Auto Parts Mahwah.
From circuithafotiff11.z4.web.core.windows.net
M And P Shield Parts P And A Auto Parts Mahwah 60 franklin tpke, mahwah, nj 07430 Near the intersection of franklin tpke and ward ln. P & a auto parts offers a wide range of quality auto parts and accessories for various vehicle models. Save even more on your next visit by. Carquest is part of advance auto parts, inc., the largest automotive aftermarket parts supplier in the u.s. Carquest. P And A Auto Parts Mahwah.
From www.superprof.co.uk
Emily Bluefield, I can help with nursing courses or A&P and P And A Auto Parts Mahwah Carquest is part of advance auto parts, inc., the largest automotive aftermarket parts supplier in the u.s. P & a auto parts offers a wide range of quality auto parts and accessories for various vehicle models. Save even more on your next visit by. Carquest is a locally owned auto parts store that has been serving our hometown for years.. P And A Auto Parts Mahwah.
From www.pinterest.co.uk
Faux Wood Christmas Present, Christmas Gift Wood Blocks, Christmas P And A Auto Parts Mahwah Carquest is a locally owned auto parts store that has been serving our hometown for years. P & a auto parts offers a wide range of quality auto parts and accessories for various vehicle models. 60 franklin tpke, mahwah, nj 07430 Near the intersection of franklin tpke and ward ln. Save even more on your next visit by. Carquest is. P And A Auto Parts Mahwah.
From www.babezdoor.com
Control Valve Symbols In P Id Valves Industrial Automation Plc The P And A Auto Parts Mahwah P & a auto parts offers a wide range of quality auto parts and accessories for various vehicle models. Carquest is a locally owned auto parts store that has been serving our hometown for years. 60 franklin tpke, mahwah, nj 07430 Carquest is part of advance auto parts, inc., the largest automotive aftermarket parts supplier in the u.s. Save even. P And A Auto Parts Mahwah.
From wikimapia.org
Napa Auto Parts Des Plaines, Illinois P And A Auto Parts Mahwah 60 franklin tpke, mahwah, nj 07430 P & a auto parts offers a wide range of quality auto parts and accessories for various vehicle models. Carquest is part of advance auto parts, inc., the largest automotive aftermarket parts supplier in the u.s. Carquest is a locally owned auto parts store that has been serving our hometown for years. Near the. P And A Auto Parts Mahwah.
From vintagepensacsandparts.com
Parker 51 Aerometric Barrel Standard Navy Grey USA Thependragons P And A Auto Parts Mahwah Save even more on your next visit by. P & a auto parts offers a wide range of quality auto parts and accessories for various vehicle models. Carquest is a locally owned auto parts store that has been serving our hometown for years. Carquest is part of advance auto parts, inc., the largest automotive aftermarket parts supplier in the u.s.. P And A Auto Parts Mahwah.
From en.wikipedia.org
NAPA Auto Parts Wikipedia P And A Auto Parts Mahwah Near the intersection of franklin tpke and ward ln. Carquest is part of advance auto parts, inc., the largest automotive aftermarket parts supplier in the u.s. Carquest is a locally owned auto parts store that has been serving our hometown for years. P & a auto parts offers a wide range of quality auto parts and accessories for various vehicle. P And A Auto Parts Mahwah.
From www.alamy.com
Los Angeles, USA. 13th Nov, 2023. Game player Markeia McCarty attends P And A Auto Parts Mahwah P & a auto parts offers a wide range of quality auto parts and accessories for various vehicle models. Save even more on your next visit by. Near the intersection of franklin tpke and ward ln. Carquest is a locally owned auto parts store that has been serving our hometown for years. 60 franklin tpke, mahwah, nj 07430 Carquest is. P And A Auto Parts Mahwah.
From celticswire.usatoday.com
Deal for Mahwah residential drug treatment center falls apart P And A Auto Parts Mahwah Save even more on your next visit by. 60 franklin tpke, mahwah, nj 07430 Carquest is a locally owned auto parts store that has been serving our hometown for years. Carquest is part of advance auto parts, inc., the largest automotive aftermarket parts supplier in the u.s. P & a auto parts offers a wide range of quality auto parts. P And A Auto Parts Mahwah.
From circuitenginetahrs55.z13.web.core.windows.net
Onan Parts Lookup By Model Spec A P And A Auto Parts Mahwah Save even more on your next visit by. P & a auto parts offers a wide range of quality auto parts and accessories for various vehicle models. Carquest is part of advance auto parts, inc., the largest automotive aftermarket parts supplier in the u.s. 60 franklin tpke, mahwah, nj 07430 Near the intersection of franklin tpke and ward ln. Carquest. P And A Auto Parts Mahwah.
From vintagepensacsandparts.com
Sheaffer Vac/Plunge fill Steel Plunger Rods Thependragons Vintage P And A Auto Parts Mahwah P & a auto parts offers a wide range of quality auto parts and accessories for various vehicle models. Save even more on your next visit by. Carquest is part of advance auto parts, inc., the largest automotive aftermarket parts supplier in the u.s. Carquest is a locally owned auto parts store that has been serving our hometown for years.. P And A Auto Parts Mahwah.
From www.freepik.com
Premium Vector A blue and white sign that says p and a white arrow P And A Auto Parts Mahwah 60 franklin tpke, mahwah, nj 07430 Near the intersection of franklin tpke and ward ln. Carquest is part of advance auto parts, inc., the largest automotive aftermarket parts supplier in the u.s. P & a auto parts offers a wide range of quality auto parts and accessories for various vehicle models. Save even more on your next visit by. Carquest. P And A Auto Parts Mahwah.
From www.pinterest.com
The Best Avocado Toast and Egg in 2023 Gezond eten recepten, Lekker P And A Auto Parts Mahwah P & a auto parts offers a wide range of quality auto parts and accessories for various vehicle models. Carquest is a locally owned auto parts store that has been serving our hometown for years. 60 franklin tpke, mahwah, nj 07430 Near the intersection of franklin tpke and ward ln. Save even more on your next visit by. Carquest is. P And A Auto Parts Mahwah.
From www.svgrepo.com
P And I Symbols Vector SVG Icon SVG Repo P And A Auto Parts Mahwah Save even more on your next visit by. Carquest is a locally owned auto parts store that has been serving our hometown for years. 60 franklin tpke, mahwah, nj 07430 P & a auto parts offers a wide range of quality auto parts and accessories for various vehicle models. Carquest is part of advance auto parts, inc., the largest automotive. P And A Auto Parts Mahwah.
From www.the-sun.com
Wheel of Fortune host Pat Sajak jokes player is in 'serious pain' and P And A Auto Parts Mahwah Carquest is part of advance auto parts, inc., the largest automotive aftermarket parts supplier in the u.s. 60 franklin tpke, mahwah, nj 07430 P & a auto parts offers a wide range of quality auto parts and accessories for various vehicle models. Near the intersection of franklin tpke and ward ln. Carquest is a locally owned auto parts store that. P And A Auto Parts Mahwah.
From www.facebook.com
John.P and co Metals Fabrications P And A Auto Parts Mahwah Carquest is a locally owned auto parts store that has been serving our hometown for years. Carquest is part of advance auto parts, inc., the largest automotive aftermarket parts supplier in the u.s. Save even more on your next visit by. Near the intersection of franklin tpke and ward ln. 60 franklin tpke, mahwah, nj 07430 P & a auto. P And A Auto Parts Mahwah.
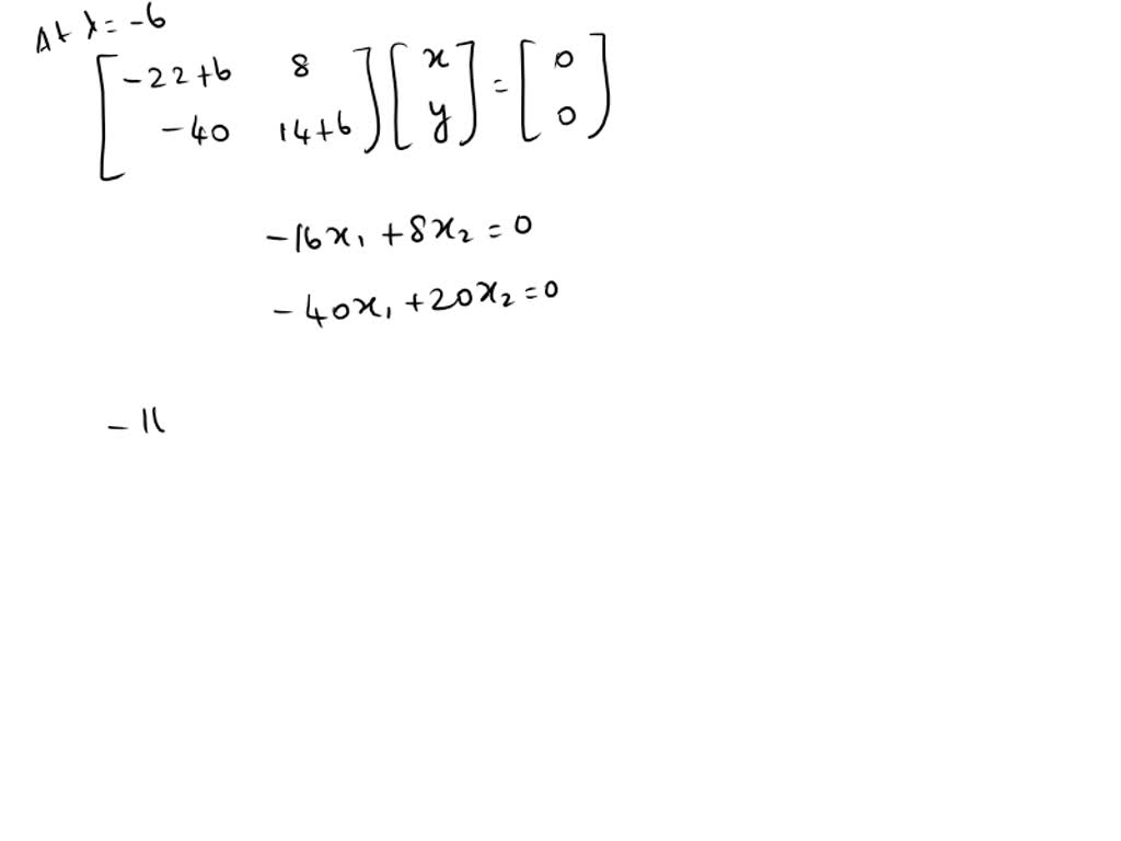
From www.numerade.com
SOLVED 5.2.DiagonalizationProblem 2 Previous Problem Problem List P And A Auto Parts Mahwah Carquest is a locally owned auto parts store that has been serving our hometown for years. P & a auto parts offers a wide range of quality auto parts and accessories for various vehicle models. Save even more on your next visit by. 60 franklin tpke, mahwah, nj 07430 Carquest is part of advance auto parts, inc., the largest automotive. P And A Auto Parts Mahwah.
From www.linkedin.com
Tammy A. Bagby on LinkedIn My LinkedIn Family! Cheyney is the 1st P And A Auto Parts Mahwah P & a auto parts offers a wide range of quality auto parts and accessories for various vehicle models. Carquest is a locally owned auto parts store that has been serving our hometown for years. Save even more on your next visit by. Carquest is part of advance auto parts, inc., the largest automotive aftermarket parts supplier in the u.s.. P And A Auto Parts Mahwah.
From userdatachristlike.z21.web.core.windows.net
S&w M&p Shield Plus Parts Diagram P And A Auto Parts Mahwah Carquest is part of advance auto parts, inc., the largest automotive aftermarket parts supplier in the u.s. P & a auto parts offers a wide range of quality auto parts and accessories for various vehicle models. 60 franklin tpke, mahwah, nj 07430 Near the intersection of franklin tpke and ward ln. Carquest is a locally owned auto parts store that. P And A Auto Parts Mahwah.
From wikimapia.org
Napa Auto Parts P And A Auto Parts Mahwah P & a auto parts offers a wide range of quality auto parts and accessories for various vehicle models. Carquest is part of advance auto parts, inc., the largest automotive aftermarket parts supplier in the u.s. 60 franklin tpke, mahwah, nj 07430 Near the intersection of franklin tpke and ward ln. Carquest is a locally owned auto parts store that. P And A Auto Parts Mahwah.
From schematicpartqom.z22.web.core.windows.net
Smith And Wesson M&p 1522 Parts Diagram P And A Auto Parts Mahwah P & a auto parts offers a wide range of quality auto parts and accessories for various vehicle models. Carquest is part of advance auto parts, inc., the largest automotive aftermarket parts supplier in the u.s. 60 franklin tpke, mahwah, nj 07430 Carquest is a locally owned auto parts store that has been serving our hometown for years. Near the. P And A Auto Parts Mahwah.
From www.facebook.com
A & P Auto Parts U Ltd Kampala P And A Auto Parts Mahwah 60 franklin tpke, mahwah, nj 07430 Save even more on your next visit by. P & a auto parts offers a wide range of quality auto parts and accessories for various vehicle models. Carquest is a locally owned auto parts store that has been serving our hometown for years. Near the intersection of franklin tpke and ward ln. Carquest is. P And A Auto Parts Mahwah.
From www.vecteezy.com
Alphabet letters Initials Monogram logo PA, AP, P and A 12939738 Vector P And A Auto Parts Mahwah 60 franklin tpke, mahwah, nj 07430 Save even more on your next visit by. Carquest is part of advance auto parts, inc., the largest automotive aftermarket parts supplier in the u.s. Carquest is a locally owned auto parts store that has been serving our hometown for years. P & a auto parts offers a wide range of quality auto parts. P And A Auto Parts Mahwah.
From www.reddit.com
The pics might not be a looker but genuinely happy with the result P And A Auto Parts Mahwah Near the intersection of franklin tpke and ward ln. Save even more on your next visit by. Carquest is part of advance auto parts, inc., the largest automotive aftermarket parts supplier in the u.s. 60 franklin tpke, mahwah, nj 07430 Carquest is a locally owned auto parts store that has been serving our hometown for years. P & a auto. P And A Auto Parts Mahwah.
From www.researchgate.net
FMM computation time for different number of multipole expanions p and P And A Auto Parts Mahwah 60 franklin tpke, mahwah, nj 07430 P & a auto parts offers a wide range of quality auto parts and accessories for various vehicle models. Carquest is a locally owned auto parts store that has been serving our hometown for years. Save even more on your next visit by. Near the intersection of franklin tpke and ward ln. Carquest is. P And A Auto Parts Mahwah.
From golive.ae
Mohd Shaikh Auto Spare Parts Tr ( Auto Parts Store ) UAE Classifieds P And A Auto Parts Mahwah Save even more on your next visit by. Near the intersection of franklin tpke and ward ln. Carquest is a locally owned auto parts store that has been serving our hometown for years. Carquest is part of advance auto parts, inc., the largest automotive aftermarket parts supplier in the u.s. P & a auto parts offers a wide range of. P And A Auto Parts Mahwah.
From kensho-everyday.com
全プレ!LINEポイントが必ずもらえるP&Gのレシートキャンペーン!|懸賞主婦 P And A Auto Parts Mahwah P & a auto parts offers a wide range of quality auto parts and accessories for various vehicle models. Save even more on your next visit by. Carquest is a locally owned auto parts store that has been serving our hometown for years. Carquest is part of advance auto parts, inc., the largest automotive aftermarket parts supplier in the u.s.. P And A Auto Parts Mahwah.