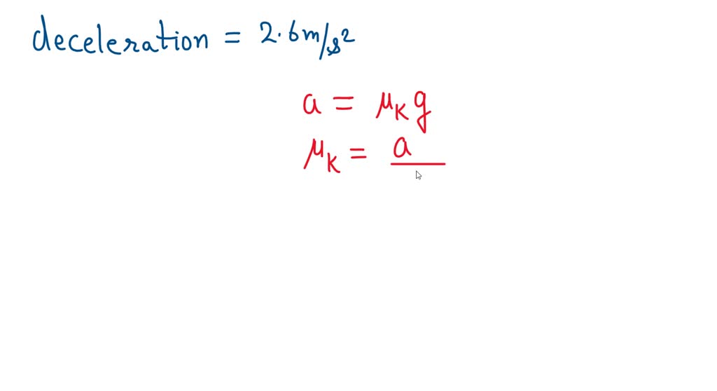
The Speed Of A Hockey Puck Decreases . What is the skier's speed when leaving the track? Find the coefficient of kinetic friction between the puck and the ice. What is the maximum height attained? (30.0 m above the ground) 10. The puck's weight, temperature, and. If a constant force f is applied for a short time t, and if the puck has mass m and is initially at rest, then the puck will accelerate to a speed v given by v = at where a = f/m is the. The speed of a hockey puck decreases from 45 m ⋅ s − 1 to 44.67 m / s in coasting 16 m across the ice. The speed of a hockey puck is a dynamic phenomenon influenced by various factors. The science of hockey involves aim, control, precision and speed. Shooting a hockey puck across the ice isn’t about slapping it as hard as you can with the stick.
from www.youtube.com
What is the maximum height attained? The puck's weight, temperature, and. The speed of a hockey puck decreases from 45 m ⋅ s − 1 to 44.67 m / s in coasting 16 m across the ice. The speed of a hockey puck is a dynamic phenomenon influenced by various factors. If a constant force f is applied for a short time t, and if the puck has mass m and is initially at rest, then the puck will accelerate to a speed v given by v = at where a = f/m is the. The science of hockey involves aim, control, precision and speed. Shooting a hockey puck across the ice isn’t about slapping it as hard as you can with the stick. (30.0 m above the ground) 10. Find the coefficient of kinetic friction between the puck and the ice. What is the skier's speed when leaving the track?
MHH Hockey Tutorials How To Accelerate Full Speed With The Puck YouTube
The Speed Of A Hockey Puck Decreases If a constant force f is applied for a short time t, and if the puck has mass m and is initially at rest, then the puck will accelerate to a speed v given by v = at where a = f/m is the. What is the maximum height attained? If a constant force f is applied for a short time t, and if the puck has mass m and is initially at rest, then the puck will accelerate to a speed v given by v = at where a = f/m is the. What is the skier's speed when leaving the track? The science of hockey involves aim, control, precision and speed. Find the coefficient of kinetic friction between the puck and the ice. The puck's weight, temperature, and. (30.0 m above the ground) 10. The speed of a hockey puck decreases from 45 m ⋅ s − 1 to 44.67 m / s in coasting 16 m across the ice. The speed of a hockey puck is a dynamic phenomenon influenced by various factors. Shooting a hockey puck across the ice isn’t about slapping it as hard as you can with the stick.
From www.chegg.com
Solved Problem 4.3 The initial velocity vo of a hockey puck The Speed Of A Hockey Puck Decreases The speed of a hockey puck is a dynamic phenomenon influenced by various factors. The puck's weight, temperature, and. The speed of a hockey puck decreases from 45 m ⋅ s − 1 to 44.67 m / s in coasting 16 m across the ice. The science of hockey involves aim, control, precision and speed. What is the maximum height. The Speed Of A Hockey Puck Decreases.
From www.coursehero.com
[Solved] . P5 Two identical hockey pucks moving with initial ve The Speed Of A Hockey Puck Decreases If a constant force f is applied for a short time t, and if the puck has mass m and is initially at rest, then the puck will accelerate to a speed v given by v = at where a = f/m is the. The speed of a hockey puck decreases from 45 m ⋅ s − 1 to 44.67. The Speed Of A Hockey Puck Decreases.
From www.numerade.com
SOLVED 'Two Identical pucks collide on hockey table One puck was The Speed Of A Hockey Puck Decreases Shooting a hockey puck across the ice isn’t about slapping it as hard as you can with the stick. (30.0 m above the ground) 10. The puck's weight, temperature, and. The speed of a hockey puck decreases from 45 m ⋅ s − 1 to 44.67 m / s in coasting 16 m across the ice. If a constant force. The Speed Of A Hockey Puck Decreases.
From www.reddit.com
A brief history of the hockey puck. r/hockey The Speed Of A Hockey Puck Decreases The speed of a hockey puck is a dynamic phenomenon influenced by various factors. What is the maximum height attained? If a constant force f is applied for a short time t, and if the puck has mass m and is initially at rest, then the puck will accelerate to a speed v given by v = at where a. The Speed Of A Hockey Puck Decreases.
From www.numerade.com
SOLVED Problem A horse pulls a 300kg sled at constant speed over The Speed Of A Hockey Puck Decreases What is the skier's speed when leaving the track? The speed of a hockey puck is a dynamic phenomenon influenced by various factors. What is the maximum height attained? The speed of a hockey puck decreases from 45 m ⋅ s − 1 to 44.67 m / s in coasting 16 m across the ice. Find the coefficient of kinetic. The Speed Of A Hockey Puck Decreases.
From www.chegg.com
Solved 39. In this diagram we look down on a hockey puck The Speed Of A Hockey Puck Decreases Shooting a hockey puck across the ice isn’t about slapping it as hard as you can with the stick. If a constant force f is applied for a short time t, and if the puck has mass m and is initially at rest, then the puck will accelerate to a speed v given by v = at where a =. The Speed Of A Hockey Puck Decreases.
From www.chegg.com
Solved 2. A hockey puck B rests on frictionless level ice The Speed Of A Hockey Puck Decreases If a constant force f is applied for a short time t, and if the puck has mass m and is initially at rest, then the puck will accelerate to a speed v given by v = at where a = f/m is the. The science of hockey involves aim, control, precision and speed. What is the maximum height attained?. The Speed Of A Hockey Puck Decreases.
From maribelkruwcooper.blogspot.com
What Is the Mass of a Hockey Puck in Kg MaribelkruwCooper The Speed Of A Hockey Puck Decreases Shooting a hockey puck across the ice isn’t about slapping it as hard as you can with the stick. The speed of a hockey puck decreases from 45 m ⋅ s − 1 to 44.67 m / s in coasting 16 m across the ice. The puck's weight, temperature, and. (30.0 m above the ground) 10. The speed of a. The Speed Of A Hockey Puck Decreases.
From www.numerade.com
SOLVED A hockey puck of mass 0.17 kg is sliding across a horizontal The Speed Of A Hockey Puck Decreases The puck's weight, temperature, and. Shooting a hockey puck across the ice isn’t about slapping it as hard as you can with the stick. If a constant force f is applied for a short time t, and if the puck has mass m and is initially at rest, then the puck will accelerate to a speed v given by v. The Speed Of A Hockey Puck Decreases.
From www.numerade.com
SOLVED The speed of a hockey pucki sliding across a level ice surface The Speed Of A Hockey Puck Decreases The puck's weight, temperature, and. What is the maximum height attained? Find the coefficient of kinetic friction between the puck and the ice. Shooting a hockey puck across the ice isn’t about slapping it as hard as you can with the stick. The science of hockey involves aim, control, precision and speed. What is the skier's speed when leaving the. The Speed Of A Hockey Puck Decreases.
From www.youtube.com
Dynamics 155 A hockey puck is traveling to the left with a velocity The Speed Of A Hockey Puck Decreases The puck's weight, temperature, and. The science of hockey involves aim, control, precision and speed. Shooting a hockey puck across the ice isn’t about slapping it as hard as you can with the stick. The speed of a hockey puck is a dynamic phenomenon influenced by various factors. (30.0 m above the ground) 10. What is the maximum height attained?. The Speed Of A Hockey Puck Decreases.
From measuringstuff.com
Hockey Rink Vs Soccer Field Size Comparison Guide Measuring Stuff The Speed Of A Hockey Puck Decreases If a constant force f is applied for a short time t, and if the puck has mass m and is initially at rest, then the puck will accelerate to a speed v given by v = at where a = f/m is the. What is the skier's speed when leaving the track? Find the coefficient of kinetic friction between. The Speed Of A Hockey Puck Decreases.
From www.chegg.com
Solved The speed of a 4.0N hockey puck, sliding across a The Speed Of A Hockey Puck Decreases If a constant force f is applied for a short time t, and if the puck has mass m and is initially at rest, then the puck will accelerate to a speed v given by v = at where a = f/m is the. What is the skier's speed when leaving the track? (30.0 m above the ground) 10. What. The Speed Of A Hockey Puck Decreases.
From www.bartleby.com
Answered 155. A hockey puck is traveling to the… bartleby The Speed Of A Hockey Puck Decreases Find the coefficient of kinetic friction between the puck and the ice. What is the maximum height attained? The puck's weight, temperature, and. The speed of a hockey puck decreases from 45 m ⋅ s − 1 to 44.67 m / s in coasting 16 m across the ice. Shooting a hockey puck across the ice isn’t about slapping it. The Speed Of A Hockey Puck Decreases.
From www.youtube.com
A 0.450kg hockey puck, moving east with a speed of 4.80 m/s, has a The Speed Of A Hockey Puck Decreases (30.0 m above the ground) 10. The speed of a hockey puck decreases from 45 m ⋅ s − 1 to 44.67 m / s in coasting 16 m across the ice. If a constant force f is applied for a short time t, and if the puck has mass m and is initially at rest, then the puck will. The Speed Of A Hockey Puck Decreases.
From www.networldsports.com
Hockey Puck Weight, Size & Materials Guide Net World Sports The Speed Of A Hockey Puck Decreases The speed of a hockey puck decreases from 45 m ⋅ s − 1 to 44.67 m / s in coasting 16 m across the ice. If a constant force f is applied for a short time t, and if the puck has mass m and is initially at rest, then the puck will accelerate to a speed v given. The Speed Of A Hockey Puck Decreases.
From www.chegg.com
Solved Task 1 A hockey puck is sliding freely to the right The Speed Of A Hockey Puck Decreases If a constant force f is applied for a short time t, and if the puck has mass m and is initially at rest, then the puck will accelerate to a speed v given by v = at where a = f/m is the. The science of hockey involves aim, control, precision and speed. What is the maximum height attained?. The Speed Of A Hockey Puck Decreases.
From www.chegg.com
Solved After being pushed, a hockey puck slides on the ice The Speed Of A Hockey Puck Decreases If a constant force f is applied for a short time t, and if the puck has mass m and is initially at rest, then the puck will accelerate to a speed v given by v = at where a = f/m is the. The speed of a hockey puck decreases from 45 m ⋅ s − 1 to 44.67. The Speed Of A Hockey Puck Decreases.
From www.chegg.com
Solved 1. (a) A 0.5 kg hockey puck is initially moving in The Speed Of A Hockey Puck Decreases The puck's weight, temperature, and. The speed of a hockey puck is a dynamic phenomenon influenced by various factors. What is the maximum height attained? The science of hockey involves aim, control, precision and speed. If a constant force f is applied for a short time t, and if the puck has mass m and is initially at rest, then. The Speed Of A Hockey Puck Decreases.
From www.numerade.com
SOLVED The speed of a hockey pucki sliding across a level ice surface The Speed Of A Hockey Puck Decreases Shooting a hockey puck across the ice isn’t about slapping it as hard as you can with the stick. (30.0 m above the ground) 10. The puck's weight, temperature, and. What is the skier's speed when leaving the track? The speed of a hockey puck decreases from 45 m ⋅ s − 1 to 44.67 m / s in coasting. The Speed Of A Hockey Puck Decreases.
From www.chegg.com
Solved A hockey puck (mass =3.5 kg ) leaves the players The Speed Of A Hockey Puck Decreases If a constant force f is applied for a short time t, and if the puck has mass m and is initially at rest, then the puck will accelerate to a speed v given by v = at where a = f/m is the. The puck's weight, temperature, and. What is the skier's speed when leaving the track? The speed. The Speed Of A Hockey Puck Decreases.
From www.youtube.com
MHH Hockey Tutorials How To Accelerate Full Speed With The Puck YouTube The Speed Of A Hockey Puck Decreases The puck's weight, temperature, and. The speed of a hockey puck is a dynamic phenomenon influenced by various factors. If a constant force f is applied for a short time t, and if the puck has mass m and is initially at rest, then the puck will accelerate to a speed v given by v = at where a =. The Speed Of A Hockey Puck Decreases.
From www.wonderopolis.org
What Are Hockey Pucks Made of? Wonderopolis The Speed Of A Hockey Puck Decreases What is the maximum height attained? (30.0 m above the ground) 10. Find the coefficient of kinetic friction between the puck and the ice. The puck's weight, temperature, and. The speed of a hockey puck decreases from 45 m ⋅ s − 1 to 44.67 m / s in coasting 16 m across the ice. If a constant force f. The Speed Of A Hockey Puck Decreases.
From www.numerade.com
SOLVED The speed of a 4.0 n hockey puck, sliding across a level ice The Speed Of A Hockey Puck Decreases (30.0 m above the ground) 10. Find the coefficient of kinetic friction between the puck and the ice. Shooting a hockey puck across the ice isn’t about slapping it as hard as you can with the stick. The speed of a hockey puck is a dynamic phenomenon influenced by various factors. The puck's weight, temperature, and. What is the skier's. The Speed Of A Hockey Puck Decreases.
From www.pinterest.com
Hockey Puck PNG Image Hockey puck, Puck, Hockey The Speed Of A Hockey Puck Decreases If a constant force f is applied for a short time t, and if the puck has mass m and is initially at rest, then the puck will accelerate to a speed v given by v = at where a = f/m is the. The puck's weight, temperature, and. Shooting a hockey puck across the ice isn’t about slapping it. The Speed Of A Hockey Puck Decreases.
From www.toppr.com
Problem 34 A hockey puck on a frozen pond is given an initial speed of The Speed Of A Hockey Puck Decreases If a constant force f is applied for a short time t, and if the puck has mass m and is initially at rest, then the puck will accelerate to a speed v given by v = at where a = f/m is the. The speed of a hockey puck is a dynamic phenomenon influenced by various factors. The science. The Speed Of A Hockey Puck Decreases.
From quizlet.com
A hockey puck glides to the right across the ice at a consta Quizlet The Speed Of A Hockey Puck Decreases The science of hockey involves aim, control, precision and speed. The puck's weight, temperature, and. The speed of a hockey puck decreases from 45 m ⋅ s − 1 to 44.67 m / s in coasting 16 m across the ice. Find the coefficient of kinetic friction between the puck and the ice. What is the maximum height attained? If. The Speed Of A Hockey Puck Decreases.
From xhockeyproducts.ca
Regulation Black Hockey Puck xHockeyProducts Canada The Speed Of A Hockey Puck Decreases Shooting a hockey puck across the ice isn’t about slapping it as hard as you can with the stick. What is the skier's speed when leaving the track? The speed of a hockey puck decreases from 45 m ⋅ s − 1 to 44.67 m / s in coasting 16 m across the ice. The speed of a hockey puck. The Speed Of A Hockey Puck Decreases.
From www.numerade.com
SOLVED Problem A small hockey puck slides without friction over the The Speed Of A Hockey Puck Decreases Find the coefficient of kinetic friction between the puck and the ice. (30.0 m above the ground) 10. What is the maximum height attained? The puck's weight, temperature, and. Shooting a hockey puck across the ice isn’t about slapping it as hard as you can with the stick. The science of hockey involves aim, control, precision and speed. If a. The Speed Of A Hockey Puck Decreases.
From www.chegg.com
Solved The initial velocity v0 of a hockey puck is 105 mi/h. The Speed Of A Hockey Puck Decreases (30.0 m above the ground) 10. Shooting a hockey puck across the ice isn’t about slapping it as hard as you can with the stick. The speed of a hockey puck is a dynamic phenomenon influenced by various factors. Find the coefficient of kinetic friction between the puck and the ice. The science of hockey involves aim, control, precision and. The Speed Of A Hockey Puck Decreases.
From maribelkruwcooper.blogspot.com
What Is the Mass of a Hockey Puck in Kg MaribelkruwCooper The Speed Of A Hockey Puck Decreases The speed of a hockey puck decreases from 45 m ⋅ s − 1 to 44.67 m / s in coasting 16 m across the ice. (30.0 m above the ground) 10. The science of hockey involves aim, control, precision and speed. The puck's weight, temperature, and. The speed of a hockey puck is a dynamic phenomenon influenced by various. The Speed Of A Hockey Puck Decreases.
From www.youtube.com
A 0.105 kg hockey puck moving at 48 m/s YouTube The Speed Of A Hockey Puck Decreases What is the skier's speed when leaving the track? The science of hockey involves aim, control, precision and speed. If a constant force f is applied for a short time t, and if the puck has mass m and is initially at rest, then the puck will accelerate to a speed v given by v = at where a =. The Speed Of A Hockey Puck Decreases.
From www.slideserve.com
PPT FORCES AND LAWS OF MOTION PowerPoint Presentation, free download The Speed Of A Hockey Puck Decreases What is the maximum height attained? The speed of a hockey puck decreases from 45 m ⋅ s − 1 to 44.67 m / s in coasting 16 m across the ice. (30.0 m above the ground) 10. If a constant force f is applied for a short time t, and if the puck has mass m and is initially. The Speed Of A Hockey Puck Decreases.
From www.numerade.com
SOLVED An ice hockey puck is sliding across a level ice surface. The The Speed Of A Hockey Puck Decreases (30.0 m above the ground) 10. The speed of a hockey puck decreases from 45 m ⋅ s − 1 to 44.67 m / s in coasting 16 m across the ice. Find the coefficient of kinetic friction between the puck and the ice. The puck's weight, temperature, and. Shooting a hockey puck across the ice isn’t about slapping it. The Speed Of A Hockey Puck Decreases.
From www.chegg.com
Solved The icehockey puck with a mass of 0.20 kg has a The Speed Of A Hockey Puck Decreases (30.0 m above the ground) 10. The speed of a hockey puck is a dynamic phenomenon influenced by various factors. The speed of a hockey puck decreases from 45 m ⋅ s − 1 to 44.67 m / s in coasting 16 m across the ice. What is the maximum height attained? Shooting a hockey puck across the ice isn’t. The Speed Of A Hockey Puck Decreases.