Residential Lease Agreement Rhode Island . At the end of the. This agreement will be for a term beginning on __________, 20___ and ending on __________, 20___ (the “term”). It usually lasts one year, but the. A rhode island lease agreement is a document used by a landlord seeking a tenant to occupy and pay rent for residential or commercial space. This residential lease agreement (“agreement”) is made on the undersigned date by. Rhode island standard lease agreement. A rhode island standard residential lease agreement is a legally binding rental arrangement between a landlord and tenant typically covering a one. Download forms as a pdf or word doc file. The lease covers terms, conditions, rent, security deposit, use of property,. A rhode island standard residential lease agreement is a legally enforceable contract to rent property. Official rental agreement templates for all lease types in rhode island (residential and commercial). Download a standard lease agreement for renting property in rhode island.
from www.templateroller.com
A rhode island lease agreement is a document used by a landlord seeking a tenant to occupy and pay rent for residential or commercial space. This agreement will be for a term beginning on __________, 20___ and ending on __________, 20___ (the “term”). Rhode island standard lease agreement. Download forms as a pdf or word doc file. Official rental agreement templates for all lease types in rhode island (residential and commercial). At the end of the. This residential lease agreement (“agreement”) is made on the undersigned date by. A rhode island standard residential lease agreement is a legally enforceable contract to rent property. The lease covers terms, conditions, rent, security deposit, use of property,. It usually lasts one year, but the.
Rhode Island Residential Lease Agreement Template Fill Out, Sign Online and Download PDF
Residential Lease Agreement Rhode Island At the end of the. Download a standard lease agreement for renting property in rhode island. It usually lasts one year, but the. A rhode island standard residential lease agreement is a legally binding rental arrangement between a landlord and tenant typically covering a one. Official rental agreement templates for all lease types in rhode island (residential and commercial). Download forms as a pdf or word doc file. This agreement will be for a term beginning on __________, 20___ and ending on __________, 20___ (the “term”). The lease covers terms, conditions, rent, security deposit, use of property,. A rhode island lease agreement is a document used by a landlord seeking a tenant to occupy and pay rent for residential or commercial space. This residential lease agreement (“agreement”) is made on the undersigned date by. At the end of the. A rhode island standard residential lease agreement is a legally enforceable contract to rent property. Rhode island standard lease agreement.
From opendocs.com
Free Rhode Island Rental Lease Agreement Templates PDF WORD Residential Lease Agreement Rhode Island A rhode island standard residential lease agreement is a legally binding rental arrangement between a landlord and tenant typically covering a one. Download a standard lease agreement for renting property in rhode island. Official rental agreement templates for all lease types in rhode island (residential and commercial). A rhode island lease agreement is a document used by a landlord seeking. Residential Lease Agreement Rhode Island.
From www.dexform.com
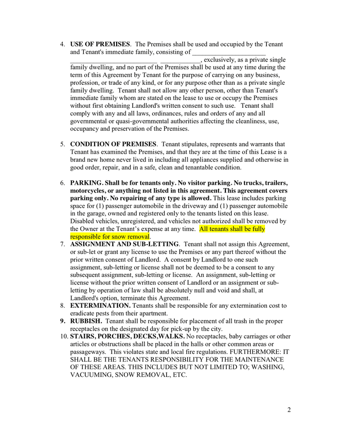
Rhode Island Residential Lease Agreement in Word and Pdf formats page 2 of 9 Residential Lease Agreement Rhode Island Official rental agreement templates for all lease types in rhode island (residential and commercial). This residential lease agreement (“agreement”) is made on the undersigned date by. At the end of the. Download forms as a pdf or word doc file. Rhode island standard lease agreement. It usually lasts one year, but the. Download a standard lease agreement for renting property. Residential Lease Agreement Rhode Island.
From opendocs.com
Free Rhode Island Rental Lease Agreement Templates PDF WORD Residential Lease Agreement Rhode Island This agreement will be for a term beginning on __________, 20___ and ending on __________, 20___ (the “term”). At the end of the. Download forms as a pdf or word doc file. A rhode island standard residential lease agreement is a legally binding rental arrangement between a landlord and tenant typically covering a one. Official rental agreement templates for all. Residential Lease Agreement Rhode Island.
From esign.com
Free Rhode Island Standard Residential Lease Agreement PDF Word Residential Lease Agreement Rhode Island Rhode island standard lease agreement. Official rental agreement templates for all lease types in rhode island (residential and commercial). This agreement will be for a term beginning on __________, 20___ and ending on __________, 20___ (the “term”). This residential lease agreement (“agreement”) is made on the undersigned date by. It usually lasts one year, but the. A rhode island standard. Residential Lease Agreement Rhode Island.
From eforms.com
Free Rhode Island Standard Residential Lease Agreement PDF Word eForms Residential Lease Agreement Rhode Island Official rental agreement templates for all lease types in rhode island (residential and commercial). At the end of the. A rhode island standard residential lease agreement is a legally binding rental arrangement between a landlord and tenant typically covering a one. This agreement will be for a term beginning on __________, 20___ and ending on __________, 20___ (the “term”). Rhode. Residential Lease Agreement Rhode Island.
From www.formsbirds.com
Rhode Island Standard Residential Lease Agreement Free Download Residential Lease Agreement Rhode Island Download forms as a pdf or word doc file. A rhode island lease agreement is a document used by a landlord seeking a tenant to occupy and pay rent for residential or commercial space. Download a standard lease agreement for renting property in rhode island. It usually lasts one year, but the. A rhode island standard residential lease agreement is. Residential Lease Agreement Rhode Island.
From freeforms.com
Free Rhode Island Standard Residential Lease Agreement Template PDF WORD Residential Lease Agreement Rhode Island This residential lease agreement (“agreement”) is made on the undersigned date by. It usually lasts one year, but the. The lease covers terms, conditions, rent, security deposit, use of property,. Official rental agreement templates for all lease types in rhode island (residential and commercial). Rhode island standard lease agreement. A rhode island lease agreement is a document used by a. Residential Lease Agreement Rhode Island.
From freeforms.com
Free Rhode Island Rental Lease Agreement Templates PDF Residential Lease Agreement Rhode Island This residential lease agreement (“agreement”) is made on the undersigned date by. A rhode island standard residential lease agreement is a legally enforceable contract to rent property. A rhode island lease agreement is a document used by a landlord seeking a tenant to occupy and pay rent for residential or commercial space. Official rental agreement templates for all lease types. Residential Lease Agreement Rhode Island.
From www.pinterest.com
Free Rhode Island Residential Lease Agreement Form PDF 283KB 7 Page(s) Residential Lease Agreement Rhode Island A rhode island standard residential lease agreement is a legally binding rental arrangement between a landlord and tenant typically covering a one. A rhode island standard residential lease agreement is a legally enforceable contract to rent property. Download forms as a pdf or word doc file. The lease covers terms, conditions, rent, security deposit, use of property,. Official rental agreement. Residential Lease Agreement Rhode Island.
From www.signnow.com
Residential Lease or Rental Agreement for Month to Month Rhode Island Form Fill Out and Sign Residential Lease Agreement Rhode Island It usually lasts one year, but the. This residential lease agreement (“agreement”) is made on the undersigned date by. Download forms as a pdf or word doc file. Rhode island standard lease agreement. A rhode island standard residential lease agreement is a legally enforceable contract to rent property. The lease covers terms, conditions, rent, security deposit, use of property,. Download. Residential Lease Agreement Rhode Island.
From ipropertymanagement.com
Rhode Island Rental Lease Agreement Template [2024 ] PDF & DOC Residential Lease Agreement Rhode Island The lease covers terms, conditions, rent, security deposit, use of property,. This agreement will be for a term beginning on __________, 20___ and ending on __________, 20___ (the “term”). Download forms as a pdf or word doc file. At the end of the. This residential lease agreement (“agreement”) is made on the undersigned date by. Download a standard lease agreement. Residential Lease Agreement Rhode Island.
From www.formsbirds.com
Rhode Island Standard Residential Lease Agreement Free Download Residential Lease Agreement Rhode Island Official rental agreement templates for all lease types in rhode island (residential and commercial). A rhode island standard residential lease agreement is a legally binding rental arrangement between a landlord and tenant typically covering a one. A rhode island standard residential lease agreement is a legally enforceable contract to rent property. Rhode island standard lease agreement. Download a standard lease. Residential Lease Agreement Rhode Island.
From freeforms.com
Free Rhode Island Rental Lease Agreement Templates PDF Residential Lease Agreement Rhode Island Official rental agreement templates for all lease types in rhode island (residential and commercial). Download forms as a pdf or word doc file. A rhode island lease agreement is a document used by a landlord seeking a tenant to occupy and pay rent for residential or commercial space. Download a standard lease agreement for renting property in rhode island. This. Residential Lease Agreement Rhode Island.
From www.pinterest.com
Free Rhode Island Residential Lease Agreement Form PDF 283KB 7 Page(s) Page 2 Being a Residential Lease Agreement Rhode Island Rhode island standard lease agreement. Official rental agreement templates for all lease types in rhode island (residential and commercial). This agreement will be for a term beginning on __________, 20___ and ending on __________, 20___ (the “term”). Download forms as a pdf or word doc file. A rhode island lease agreement is a document used by a landlord seeking a. Residential Lease Agreement Rhode Island.
From www.formsbirds.com
Rhode Island Standard Residential Lease Agreement Free Download Residential Lease Agreement Rhode Island Download a standard lease agreement for renting property in rhode island. The lease covers terms, conditions, rent, security deposit, use of property,. A rhode island standard residential lease agreement is a legally binding rental arrangement between a landlord and tenant typically covering a one. A rhode island standard residential lease agreement is a legally enforceable contract to rent property. At. Residential Lease Agreement Rhode Island.
From eforms.com
Free Rhode Island MonthtoMonth Rental Agreement Word PDF eForms Residential Lease Agreement Rhode Island The lease covers terms, conditions, rent, security deposit, use of property,. Rhode island standard lease agreement. It usually lasts one year, but the. A rhode island standard residential lease agreement is a legally enforceable contract to rent property. A rhode island standard residential lease agreement is a legally binding rental arrangement between a landlord and tenant typically covering a one.. Residential Lease Agreement Rhode Island.
From www.uslegalforms.com
Rhode Island Residential Lease or Rental Agreement for Month to Month Lease Agreement Month To Residential Lease Agreement Rhode Island The lease covers terms, conditions, rent, security deposit, use of property,. At the end of the. Download forms as a pdf or word doc file. A rhode island standard residential lease agreement is a legally binding rental arrangement between a landlord and tenant typically covering a one. A rhode island lease agreement is a document used by a landlord seeking. Residential Lease Agreement Rhode Island.
From www.dexform.com
Rhode Island Residential Lease Agreement in Word and Pdf formats page 4 of 9 Residential Lease Agreement Rhode Island Official rental agreement templates for all lease types in rhode island (residential and commercial). A rhode island standard residential lease agreement is a legally binding rental arrangement between a landlord and tenant typically covering a one. It usually lasts one year, but the. A rhode island standard residential lease agreement is a legally enforceable contract to rent property. The lease. Residential Lease Agreement Rhode Island.
From forms.legal
Free Rental Lease Agreement Rohde Island (RI) Forms.Legal Residential Lease Agreement Rhode Island Download forms as a pdf or word doc file. A rhode island standard residential lease agreement is a legally enforceable contract to rent property. A rhode island lease agreement is a document used by a landlord seeking a tenant to occupy and pay rent for residential or commercial space. This residential lease agreement (“agreement”) is made on the undersigned date. Residential Lease Agreement Rhode Island.
From legaltemplates.net
Free Rhode Island Residential Lease Agreement Template PDF & Word Residential Lease Agreement Rhode Island Download a standard lease agreement for renting property in rhode island. A rhode island standard residential lease agreement is a legally binding rental arrangement between a landlord and tenant typically covering a one. A rhode island standard residential lease agreement is a legally enforceable contract to rent property. Official rental agreement templates for all lease types in rhode island (residential. Residential Lease Agreement Rhode Island.
From freeforms.com
Free Rhode Island Rental Lease Agreement Templates PDF Residential Lease Agreement Rhode Island A rhode island standard residential lease agreement is a legally binding rental arrangement between a landlord and tenant typically covering a one. Official rental agreement templates for all lease types in rhode island (residential and commercial). This residential lease agreement (“agreement”) is made on the undersigned date by. The lease covers terms, conditions, rent, security deposit, use of property,. Download. Residential Lease Agreement Rhode Island.
From freeforms.com
Free Rhode Island Standard Residential Lease Agreement Template PDF WORD Residential Lease Agreement Rhode Island Official rental agreement templates for all lease types in rhode island (residential and commercial). At the end of the. It usually lasts one year, but the. Download forms as a pdf or word doc file. A rhode island lease agreement is a document used by a landlord seeking a tenant to occupy and pay rent for residential or commercial space.. Residential Lease Agreement Rhode Island.
From eforms.com
Free Rhode Island Standard Residential Lease Agreement PDF Word eForms Residential Lease Agreement Rhode Island Download forms as a pdf or word doc file. A rhode island standard residential lease agreement is a legally enforceable contract to rent property. Rhode island standard lease agreement. The lease covers terms, conditions, rent, security deposit, use of property,. Download a standard lease agreement for renting property in rhode island. A rhode island standard residential lease agreement is a. Residential Lease Agreement Rhode Island.
From freeforms.com
Free Rhode Island Rental Lease Agreement Templates PDF Residential Lease Agreement Rhode Island Download a standard lease agreement for renting property in rhode island. The lease covers terms, conditions, rent, security deposit, use of property,. At the end of the. Official rental agreement templates for all lease types in rhode island (residential and commercial). A rhode island standard residential lease agreement is a legally binding rental arrangement between a landlord and tenant typically. Residential Lease Agreement Rhode Island.
From freeforms.com
Free Rhode Island Rental Lease Agreement Templates PDF Residential Lease Agreement Rhode Island Download a standard lease agreement for renting property in rhode island. A rhode island standard residential lease agreement is a legally binding rental arrangement between a landlord and tenant typically covering a one. The lease covers terms, conditions, rent, security deposit, use of property,. Official rental agreement templates for all lease types in rhode island (residential and commercial). A rhode. Residential Lease Agreement Rhode Island.
From ipropertymanagement.com
Rhode Island Rental Lease Agreement Template [2024 ] PDF & DOC Residential Lease Agreement Rhode Island It usually lasts one year, but the. The lease covers terms, conditions, rent, security deposit, use of property,. A rhode island standard residential lease agreement is a legally binding rental arrangement between a landlord and tenant typically covering a one. Official rental agreement templates for all lease types in rhode island (residential and commercial). Download forms as a pdf or. Residential Lease Agreement Rhode Island.
From usefulpdf.com
Free Rhode Island Rental and Lease Agreement Templates Residential Lease Agreement Rhode Island This agreement will be for a term beginning on __________, 20___ and ending on __________, 20___ (the “term”). Official rental agreement templates for all lease types in rhode island (residential and commercial). Download forms as a pdf or word doc file. A rhode island standard residential lease agreement is a legally enforceable contract to rent property. At the end of. Residential Lease Agreement Rhode Island.
From www.dexform.com
Rhode Island Residential Lease Agreement in Word and Pdf formats page 8 of 9 Residential Lease Agreement Rhode Island It usually lasts one year, but the. This residential lease agreement (“agreement”) is made on the undersigned date by. At the end of the. A rhode island standard residential lease agreement is a legally enforceable contract to rent property. Official rental agreement templates for all lease types in rhode island (residential and commercial). A rhode island standard residential lease agreement. Residential Lease Agreement Rhode Island.
From rentallease.com
Free Rhode Island Rental Lease Agreement Templates PDF Word Residential Lease Agreement Rhode Island Official rental agreement templates for all lease types in rhode island (residential and commercial). A rhode island standard residential lease agreement is a legally binding rental arrangement between a landlord and tenant typically covering a one. This residential lease agreement (“agreement”) is made on the undersigned date by. This agreement will be for a term beginning on __________, 20___ and. Residential Lease Agreement Rhode Island.
From rentallease.com
Free Rhode Island MonthtoMonth Lease Agreement Template PDF Word Residential Lease Agreement Rhode Island Official rental agreement templates for all lease types in rhode island (residential and commercial). A rhode island standard residential lease agreement is a legally enforceable contract to rent property. Rhode island standard lease agreement. This residential lease agreement (“agreement”) is made on the undersigned date by. At the end of the. It usually lasts one year, but the. This agreement. Residential Lease Agreement Rhode Island.
From rentallease.com
Free Rhode Island Standard Residential Lease Agreement Template PDF Word Residential Lease Agreement Rhode Island A rhode island standard residential lease agreement is a legally binding rental arrangement between a landlord and tenant typically covering a one. Rhode island standard lease agreement. This agreement will be for a term beginning on __________, 20___ and ending on __________, 20___ (the “term”). Download a standard lease agreement for renting property in rhode island. A rhode island standard. Residential Lease Agreement Rhode Island.
From www.dexform.com
Rhode Island Residential Lease Agreement in Word and Pdf formats Residential Lease Agreement Rhode Island Official rental agreement templates for all lease types in rhode island (residential and commercial). The lease covers terms, conditions, rent, security deposit, use of property,. Download forms as a pdf or word doc file. A rhode island standard residential lease agreement is a legally binding rental arrangement between a landlord and tenant typically covering a one. Rhode island standard lease. Residential Lease Agreement Rhode Island.
From www.templateroller.com
Rhode Island Residential Lease Agreement Template Fill Out, Sign Online and Download PDF Residential Lease Agreement Rhode Island It usually lasts one year, but the. Official rental agreement templates for all lease types in rhode island (residential and commercial). Rhode island standard lease agreement. This agreement will be for a term beginning on __________, 20___ and ending on __________, 20___ (the “term”). This residential lease agreement (“agreement”) is made on the undersigned date by. Download a standard lease. Residential Lease Agreement Rhode Island.
From rentalleaseagreements.com
Free Rhode Island MonthtoMonth Rental Agreement PDF MS Word Residential Lease Agreement Rhode Island Download forms as a pdf or word doc file. At the end of the. Download a standard lease agreement for renting property in rhode island. Official rental agreement templates for all lease types in rhode island (residential and commercial). A rhode island lease agreement is a document used by a landlord seeking a tenant to occupy and pay rent for. Residential Lease Agreement Rhode Island.
From www.formsbirds.com
Rhode Island Standard Residential Lease Agreement Free Download Residential Lease Agreement Rhode Island Rhode island standard lease agreement. A rhode island standard residential lease agreement is a legally enforceable contract to rent property. Download a standard lease agreement for renting property in rhode island. At the end of the. Download forms as a pdf or word doc file. It usually lasts one year, but the. Official rental agreement templates for all lease types. Residential Lease Agreement Rhode Island.