Safety Contract Quizlet . Study with quizlet and memorize flashcards containing terms like clean and sanitized, goggles or any eye glasses, use the emergency eye. Explore flinn scientific lab safety scientific contracts & classroom exams for middle and high school, and higher education spanish language. Safety contract quizlet learn with flashcards, games, and more — for free. This page includes sample contract language taken from actual collective bargaining agreements to address or reinforce. Find other quizzes for and more on quizizz for free! Science safety contract quiz quiz for 6th grade students. Explore quizzes and practice tests created. Quiz yourself with questions and answers for safety contract quiz, so you can be ready for test day. Study with quizlet and memorize flashcards containing terms like how many copies of the contract will be provided to you?, what is the.
from www.template.net
Explore flinn scientific lab safety scientific contracts & classroom exams for middle and high school, and higher education spanish language. Quiz yourself with questions and answers for safety contract quiz, so you can be ready for test day. Study with quizlet and memorize flashcards containing terms like how many copies of the contract will be provided to you?, what is the. Science safety contract quiz quiz for 6th grade students. Safety contract quizlet learn with flashcards, games, and more — for free. Find other quizzes for and more on quizizz for free! This page includes sample contract language taken from actual collective bargaining agreements to address or reinforce. Explore quizzes and practice tests created. Study with quizlet and memorize flashcards containing terms like clean and sanitized, goggles or any eye glasses, use the emergency eye.
6+ Safety Contract Templates Free Sample, Example Format Download
Safety Contract Quizlet Explore quizzes and practice tests created. Explore flinn scientific lab safety scientific contracts & classroom exams for middle and high school, and higher education spanish language. Explore quizzes and practice tests created. Study with quizlet and memorize flashcards containing terms like how many copies of the contract will be provided to you?, what is the. Study with quizlet and memorize flashcards containing terms like clean and sanitized, goggles or any eye glasses, use the emergency eye. Science safety contract quiz quiz for 6th grade students. Safety contract quizlet learn with flashcards, games, and more — for free. Quiz yourself with questions and answers for safety contract quiz, so you can be ready for test day. Find other quizzes for and more on quizizz for free! This page includes sample contract language taken from actual collective bargaining agreements to address or reinforce.
From www.sampletemplates.com
FREE 15+ Safety Contract Samples & Templates in MS Word PDF Safety Contract Quizlet Quiz yourself with questions and answers for safety contract quiz, so you can be ready for test day. Science safety contract quiz quiz for 6th grade students. Explore quizzes and practice tests created. Study with quizlet and memorize flashcards containing terms like clean and sanitized, goggles or any eye glasses, use the emergency eye. Safety contract quizlet learn with flashcards,. Safety Contract Quizlet.
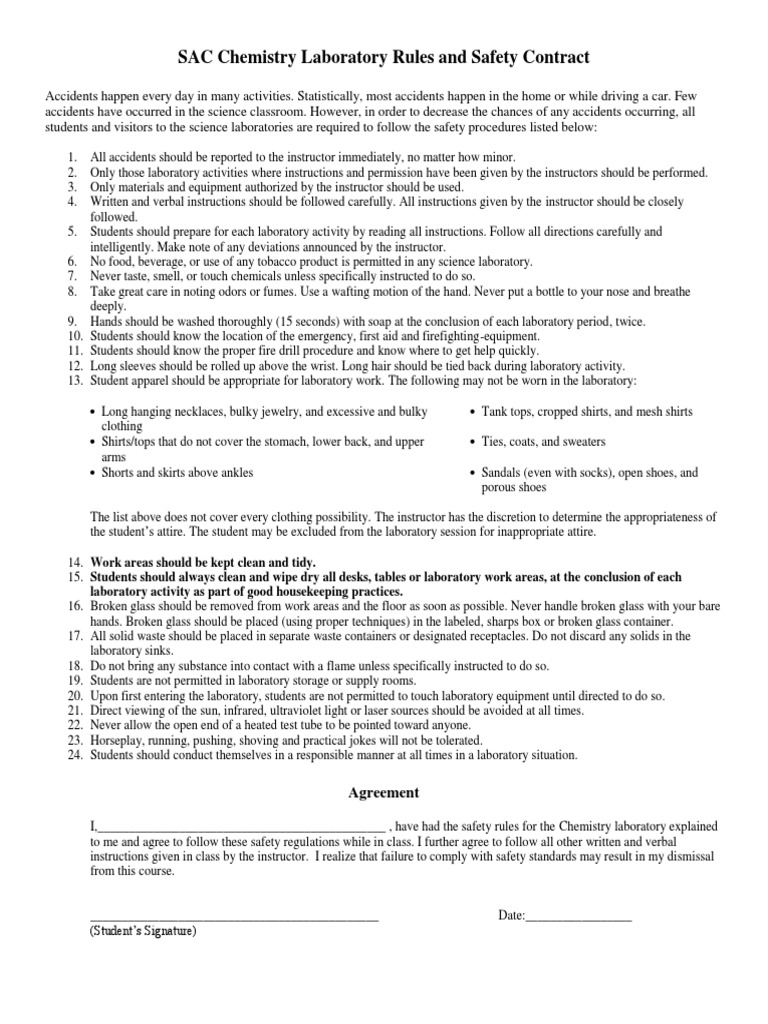
From www.scribd.com
Lab Rules and Safety Contract (1) Laboratories Odor Safety Contract Quizlet Science safety contract quiz quiz for 6th grade students. Safety contract quizlet learn with flashcards, games, and more — for free. This page includes sample contract language taken from actual collective bargaining agreements to address or reinforce. Explore quizzes and practice tests created. Study with quizlet and memorize flashcards containing terms like how many copies of the contract will be. Safety Contract Quizlet.
From www.template.net
6+ Safety Contract Templates Free Sample, Example Format Download Safety Contract Quizlet This page includes sample contract language taken from actual collective bargaining agreements to address or reinforce. Explore quizzes and practice tests created. Quiz yourself with questions and answers for safety contract quiz, so you can be ready for test day. Science safety contract quiz quiz for 6th grade students. Study with quizlet and memorize flashcards containing terms like how many. Safety Contract Quizlet.
From es.slideshare.net
3rd Grade Safety Contracts Safety Contract Quizlet Science safety contract quiz quiz for 6th grade students. Safety contract quizlet learn with flashcards, games, and more — for free. Quiz yourself with questions and answers for safety contract quiz, so you can be ready for test day. Study with quizlet and memorize flashcards containing terms like clean and sanitized, goggles or any eye glasses, use the emergency eye.. Safety Contract Quizlet.
From www.flinnsci.com
Middle School Science Safety Contract—English Flinn Scientific Safety Contract Quizlet Quiz yourself with questions and answers for safety contract quiz, so you can be ready for test day. Find other quizzes for and more on quizizz for free! Explore quizzes and practice tests created. Study with quizlet and memorize flashcards containing terms like how many copies of the contract will be provided to you?, what is the. Science safety contract. Safety Contract Quizlet.
From www.studocu.com
PCN255 No Harm Safety Contract No Harm/Safety Contract Directions Safety Contract Quizlet This page includes sample contract language taken from actual collective bargaining agreements to address or reinforce. Explore quizzes and practice tests created. Find other quizzes for and more on quizizz for free! Safety contract quizlet learn with flashcards, games, and more — for free. Quiz yourself with questions and answers for safety contract quiz, so you can be ready for. Safety Contract Quizlet.
From slideplayer.com
to Chemistry! Do Now ppt download Safety Contract Quizlet Study with quizlet and memorize flashcards containing terms like how many copies of the contract will be provided to you?, what is the. This page includes sample contract language taken from actual collective bargaining agreements to address or reinforce. Explore flinn scientific lab safety scientific contracts & classroom exams for middle and high school, and higher education spanish language. Safety. Safety Contract Quizlet.
From www.studocu.com
Chem 1712 Safety Contract Safety Quiz CHEM 1712 Here is the Safety Safety Contract Quizlet Study with quizlet and memorize flashcards containing terms like clean and sanitized, goggles or any eye glasses, use the emergency eye. Science safety contract quiz quiz for 6th grade students. Explore quizzes and practice tests created. Find other quizzes for and more on quizizz for free! Safety contract quizlet learn with flashcards, games, and more — for free. This page. Safety Contract Quizlet.
From studylib.net
5 Safety Contract Safety Contract Quizlet Science safety contract quiz quiz for 6th grade students. Explore flinn scientific lab safety scientific contracts & classroom exams for middle and high school, and higher education spanish language. Quiz yourself with questions and answers for safety contract quiz, so you can be ready for test day. Safety contract quizlet learn with flashcards, games, and more — for free. Study. Safety Contract Quizlet.
From www.template.net
Safety Contract Templates 9+Free Word, PDF Format Download Safety Contract Quizlet Explore quizzes and practice tests created. Find other quizzes for and more on quizizz for free! Study with quizlet and memorize flashcards containing terms like clean and sanitized, goggles or any eye glasses, use the emergency eye. Safety contract quizlet learn with flashcards, games, and more — for free. Science safety contract quiz quiz for 6th grade students. Explore flinn. Safety Contract Quizlet.
From studylib.net
Safety Contract form Safety Contract Quizlet This page includes sample contract language taken from actual collective bargaining agreements to address or reinforce. Study with quizlet and memorize flashcards containing terms like how many copies of the contract will be provided to you?, what is the. Science safety contract quiz quiz for 6th grade students. Quiz yourself with questions and answers for safety contract quiz, so you. Safety Contract Quizlet.
From dmmkvaymeco.blob.core.windows.net
Student Safety Contract Answers at Betty Wood blog Safety Contract Quizlet Quiz yourself with questions and answers for safety contract quiz, so you can be ready for test day. Find other quizzes for and more on quizizz for free! Study with quizlet and memorize flashcards containing terms like clean and sanitized, goggles or any eye glasses, use the emergency eye. Explore quizzes and practice tests created. Safety contract quizlet learn with. Safety Contract Quizlet.
From www.template.net
6+ Safety Contract Templates Free Sample, Example Format Download Safety Contract Quizlet Find other quizzes for and more on quizizz for free! Science safety contract quiz quiz for 6th grade students. Study with quizlet and memorize flashcards containing terms like clean and sanitized, goggles or any eye glasses, use the emergency eye. Study with quizlet and memorize flashcards containing terms like how many copies of the contract will be provided to you?,. Safety Contract Quizlet.
From ihuman.shanghaitech.edu.cn
Lab Safety Contract Safety Contract Quizlet Science safety contract quiz quiz for 6th grade students. This page includes sample contract language taken from actual collective bargaining agreements to address or reinforce. Study with quizlet and memorize flashcards containing terms like clean and sanitized, goggles or any eye glasses, use the emergency eye. Quiz yourself with questions and answers for safety contract quiz, so you can be. Safety Contract Quizlet.
From www.template.net
6+ Safety Contract Templates Free Sample, Example Format Download Safety Contract Quizlet Safety contract quizlet learn with flashcards, games, and more — for free. Study with quizlet and memorize flashcards containing terms like how many copies of the contract will be provided to you?, what is the. Explore flinn scientific lab safety scientific contracts & classroom exams for middle and high school, and higher education spanish language. This page includes sample contract. Safety Contract Quizlet.
From www.madebyteachers.com
Science Lab Safety Rules PowerPoint and Safety Contract Made By Teachers Safety Contract Quizlet Study with quizlet and memorize flashcards containing terms like clean and sanitized, goggles or any eye glasses, use the emergency eye. This page includes sample contract language taken from actual collective bargaining agreements to address or reinforce. Explore quizzes and practice tests created. Explore flinn scientific lab safety scientific contracts & classroom exams for middle and high school, and higher. Safety Contract Quizlet.
From www.studocu.com
Safety Contract n/a ENGINEERING LAB SAFETY RULES CONTRACT 1. Obey Safety Contract Quizlet Science safety contract quiz quiz for 6th grade students. Safety contract quizlet learn with flashcards, games, and more — for free. Explore quizzes and practice tests created. This page includes sample contract language taken from actual collective bargaining agreements to address or reinforce. Explore flinn scientific lab safety scientific contracts & classroom exams for middle and high school, and higher. Safety Contract Quizlet.
From www.sampletemplates.com
FREE 9+ Safety Contract Samples & Templates in PDF MS Word Safety Contract Quizlet Study with quizlet and memorize flashcards containing terms like clean and sanitized, goggles or any eye glasses, use the emergency eye. Study with quizlet and memorize flashcards containing terms like how many copies of the contract will be provided to you?, what is the. Explore flinn scientific lab safety scientific contracts & classroom exams for middle and high school, and. Safety Contract Quizlet.
From www.signnow.com
Contract for Safety Template Complete with ease airSlate SignNow Safety Contract Quizlet Science safety contract quiz quiz for 6th grade students. Study with quizlet and memorize flashcards containing terms like clean and sanitized, goggles or any eye glasses, use the emergency eye. Study with quizlet and memorize flashcards containing terms like how many copies of the contract will be provided to you?, what is the. Explore flinn scientific lab safety scientific contracts. Safety Contract Quizlet.
From templates.rjuuc.edu.np
Contract For Safety Agreement Template Safety Contract Quizlet Explore quizzes and practice tests created. This page includes sample contract language taken from actual collective bargaining agreements to address or reinforce. Find other quizzes for and more on quizizz for free! Explore flinn scientific lab safety scientific contracts & classroom exams for middle and high school, and higher education spanish language. Science safety contract quiz quiz for 6th grade. Safety Contract Quizlet.
From www.studocu.com
Science Safety Contract English 20232024 Student Safety Contract Safety Contract Quizlet Study with quizlet and memorize flashcards containing terms like clean and sanitized, goggles or any eye glasses, use the emergency eye. Safety contract quizlet learn with flashcards, games, and more — for free. Explore quizzes and practice tests created. Find other quizzes for and more on quizizz for free! This page includes sample contract language taken from actual collective bargaining. Safety Contract Quizlet.
From www.template.net
Safety Contract Templates 9+Free Word, PDF Format Download Safety Contract Quizlet Explore quizzes and practice tests created. Study with quizlet and memorize flashcards containing terms like clean and sanitized, goggles or any eye glasses, use the emergency eye. Study with quizlet and memorize flashcards containing terms like how many copies of the contract will be provided to you?, what is the. Find other quizzes for and more on quizizz for free!. Safety Contract Quizlet.
From www.template.net
6+ Safety Contract Templates Free Sample, Example Format Download Safety Contract Quizlet Study with quizlet and memorize flashcards containing terms like clean and sanitized, goggles or any eye glasses, use the emergency eye. Find other quizzes for and more on quizizz for free! Safety contract quizlet learn with flashcards, games, and more — for free. This page includes sample contract language taken from actual collective bargaining agreements to address or reinforce. Quiz. Safety Contract Quizlet.
From www.template.net
Safety Contract Templates 9+Free Word, PDF Format Download Safety Contract Quizlet Explore quizzes and practice tests created. This page includes sample contract language taken from actual collective bargaining agreements to address or reinforce. Study with quizlet and memorize flashcards containing terms like clean and sanitized, goggles or any eye glasses, use the emergency eye. Safety contract quizlet learn with flashcards, games, and more — for free. Science safety contract quiz quiz. Safety Contract Quizlet.
From www.studocu.com
College safety contract 1 Safety in the Chemistry Lab Guidelines and Safety Contract Quizlet Science safety contract quiz quiz for 6th grade students. Study with quizlet and memorize flashcards containing terms like clean and sanitized, goggles or any eye glasses, use the emergency eye. Study with quizlet and memorize flashcards containing terms like how many copies of the contract will be provided to you?, what is the. Find other quizzes for and more on. Safety Contract Quizlet.
From www.template.net
6+ Safety Contract Templates Free Sample, Example Format Download Safety Contract Quizlet Explore quizzes and practice tests created. Study with quizlet and memorize flashcards containing terms like clean and sanitized, goggles or any eye glasses, use the emergency eye. Find other quizzes for and more on quizizz for free! Study with quizlet and memorize flashcards containing terms like how many copies of the contract will be provided to you?, what is the.. Safety Contract Quizlet.
From www.studocu.com
Week 1 Homework 1 Lab Safety Contract Science Safety Contract Safety Contract Quizlet Explore quizzes and practice tests created. Explore flinn scientific lab safety scientific contracts & classroom exams for middle and high school, and higher education spanish language. This page includes sample contract language taken from actual collective bargaining agreements to address or reinforce. Science safety contract quiz quiz for 6th grade students. Study with quizlet and memorize flashcards containing terms like. Safety Contract Quizlet.
From studylib.net
Safety Contract Safety Contract Quizlet Study with quizlet and memorize flashcards containing terms like clean and sanitized, goggles or any eye glasses, use the emergency eye. Quiz yourself with questions and answers for safety contract quiz, so you can be ready for test day. Science safety contract quiz quiz for 6th grade students. Study with quizlet and memorize flashcards containing terms like how many copies. Safety Contract Quizlet.
From www.template.net
Safety Contract Templates 9+Free Word, PDF Format Download Safety Contract Quizlet This page includes sample contract language taken from actual collective bargaining agreements to address or reinforce. Science safety contract quiz quiz for 6th grade students. Find other quizzes for and more on quizizz for free! Explore flinn scientific lab safety scientific contracts & classroom exams for middle and high school, and higher education spanish language. Quiz yourself with questions and. Safety Contract Quizlet.
From www.sampletemplates.com
FREE 9+ Safety Contract Samples & Templates in PDF MS Word Safety Contract Quizlet Find other quizzes for and more on quizizz for free! Explore flinn scientific lab safety scientific contracts & classroom exams for middle and high school, and higher education spanish language. Science safety contract quiz quiz for 6th grade students. Quiz yourself with questions and answers for safety contract quiz, so you can be ready for test day. Study with quizlet. Safety Contract Quizlet.
From www.template.net
Safety Contract Templates 9+Free Word, PDF Format Download Safety Contract Quizlet Explore quizzes and practice tests created. Find other quizzes for and more on quizizz for free! Study with quizlet and memorize flashcards containing terms like clean and sanitized, goggles or any eye glasses, use the emergency eye. Study with quizlet and memorize flashcards containing terms like how many copies of the contract will be provided to you?, what is the.. Safety Contract Quizlet.
From www.template.net
Safety Contract Templates 9+Free Word, PDF Format Download Safety Contract Quizlet Study with quizlet and memorize flashcards containing terms like how many copies of the contract will be provided to you?, what is the. Safety contract quizlet learn with flashcards, games, and more — for free. Quiz yourself with questions and answers for safety contract quiz, so you can be ready for test day. This page includes sample contract language taken. Safety Contract Quizlet.
From www.template.net
6+ Safety Contract Templates Free Sample, Example Format Download Safety Contract Quizlet Explore flinn scientific lab safety scientific contracts & classroom exams for middle and high school, and higher education spanish language. Quiz yourself with questions and answers for safety contract quiz, so you can be ready for test day. Safety contract quizlet learn with flashcards, games, and more — for free. This page includes sample contract language taken from actual collective. Safety Contract Quizlet.
From www.sampletemplates.com
FREE 15+ Safety Contract Samples & Templates in MS Word PDF Safety Contract Quizlet Study with quizlet and memorize flashcards containing terms like how many copies of the contract will be provided to you?, what is the. Quiz yourself with questions and answers for safety contract quiz, so you can be ready for test day. Explore quizzes and practice tests created. Science safety contract quiz quiz for 6th grade students. Study with quizlet and. Safety Contract Quizlet.
From quizlet.com
Safety Symbols Part Two ) Diagram Quizlet Safety Contract Quizlet Explore quizzes and practice tests created. Science safety contract quiz quiz for 6th grade students. Explore flinn scientific lab safety scientific contracts & classroom exams for middle and high school, and higher education spanish language. Study with quizlet and memorize flashcards containing terms like clean and sanitized, goggles or any eye glasses, use the emergency eye. Study with quizlet and. Safety Contract Quizlet.