Titration Between Ki And Na2S2O3 . In order to find out how many moles of iodine have been produced, the solution is titrated with a solution of sodium thiosulfate (na₂s₂o₃) of known concentration. Add 4.0 g of ki to one of your samples and titrate immediately with the standard thiosulfate solution. The balanced equations for the standardization reactions are as follows: The standardization titration should be repeatable to within 5%.
from www.chegg.com
In order to find out how many moles of iodine have been produced, the solution is titrated with a solution of sodium thiosulfate (na₂s₂o₃) of known concentration. The balanced equations for the standardization reactions are as follows: Add 4.0 g of ki to one of your samples and titrate immediately with the standard thiosulfate solution. The standardization titration should be repeatable to within 5%.
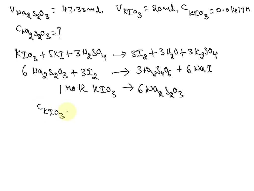
Solved gray A Standardization of Na 2S2 O3 Mass of KIO, in
Titration Between Ki And Na2S2O3 Add 4.0 g of ki to one of your samples and titrate immediately with the standard thiosulfate solution. The standardization titration should be repeatable to within 5%. Add 4.0 g of ki to one of your samples and titrate immediately with the standard thiosulfate solution. The balanced equations for the standardization reactions are as follows: In order to find out how many moles of iodine have been produced, the solution is titrated with a solution of sodium thiosulfate (na₂s₂o₃) of known concentration.
From www.slideserve.com
PPT Reduction Oxidation Reactions 5th lecture PowerPoint Titration Between Ki And Na2S2O3 In order to find out how many moles of iodine have been produced, the solution is titrated with a solution of sodium thiosulfate (na₂s₂o₃) of known concentration. Add 4.0 g of ki to one of your samples and titrate immediately with the standard thiosulfate solution. The standardization titration should be repeatable to within 5%. The balanced equations for the standardization. Titration Between Ki And Na2S2O3.
From www.numerade.com
SOLVED PLEASE LIST STEPS Suppose a student needs to standardize a Titration Between Ki And Na2S2O3 In order to find out how many moles of iodine have been produced, the solution is titrated with a solution of sodium thiosulfate (na₂s₂o₃) of known concentration. The balanced equations for the standardization reactions are as follows: Add 4.0 g of ki to one of your samples and titrate immediately with the standard thiosulfate solution. The standardization titration should be. Titration Between Ki And Na2S2O3.
From www.youtube.com
WAEC chemistry practical (Redox titration of Iodine solution, I2/KI and Titration Between Ki And Na2S2O3 Add 4.0 g of ki to one of your samples and titrate immediately with the standard thiosulfate solution. The balanced equations for the standardization reactions are as follows: In order to find out how many moles of iodine have been produced, the solution is titrated with a solution of sodium thiosulfate (na₂s₂o₃) of known concentration. The standardization titration should be. Titration Between Ki And Na2S2O3.
From www.numerade.com
SOLVED Case To standardize an unknown solution of sodium thiosulfate Titration Between Ki And Na2S2O3 The balanced equations for the standardization reactions are as follows: In order to find out how many moles of iodine have been produced, the solution is titrated with a solution of sodium thiosulfate (na₂s₂o₃) of known concentration. Add 4.0 g of ki to one of your samples and titrate immediately with the standard thiosulfate solution. The standardization titration should be. Titration Between Ki And Na2S2O3.
From byjus.com
Na2S2O3 has the molar mass M. In the reaction Na2S2O3 + H2O + Cl2 → Titration Between Ki And Na2S2O3 The balanced equations for the standardization reactions are as follows: The standardization titration should be repeatable to within 5%. Add 4.0 g of ki to one of your samples and titrate immediately with the standard thiosulfate solution. In order to find out how many moles of iodine have been produced, the solution is titrated with a solution of sodium thiosulfate. Titration Between Ki And Na2S2O3.
From dykjjiebeco.blob.core.windows.net
Reaction Between Kio3 And Na2S2O3 at Joseph Johnson blog Titration Between Ki And Na2S2O3 Add 4.0 g of ki to one of your samples and titrate immediately with the standard thiosulfate solution. The standardization titration should be repeatable to within 5%. In order to find out how many moles of iodine have been produced, the solution is titrated with a solution of sodium thiosulfate (na₂s₂o₃) of known concentration. The balanced equations for the standardization. Titration Between Ki And Na2S2O3.
From www.numerade.com
SOLVED The amount of copper in a sample can be determined by titration Titration Between Ki And Na2S2O3 The standardization titration should be repeatable to within 5%. Add 4.0 g of ki to one of your samples and titrate immediately with the standard thiosulfate solution. The balanced equations for the standardization reactions are as follows: In order to find out how many moles of iodine have been produced, the solution is titrated with a solution of sodium thiosulfate. Titration Between Ki And Na2S2O3.
From dykjjiebeco.blob.core.windows.net
Reaction Between Kio3 And Na2S2O3 at Joseph Johnson blog Titration Between Ki And Na2S2O3 The balanced equations for the standardization reactions are as follows: The standardization titration should be repeatable to within 5%. In order to find out how many moles of iodine have been produced, the solution is titrated with a solution of sodium thiosulfate (na₂s₂o₃) of known concentration. Add 4.0 g of ki to one of your samples and titrate immediately with. Titration Between Ki And Na2S2O3.
From www.youtube.com
KI and K2S2O8 / Na2S2O3.5H2O / iodometric titration /Chemical Titration Between Ki And Na2S2O3 The standardization titration should be repeatable to within 5%. Add 4.0 g of ki to one of your samples and titrate immediately with the standard thiosulfate solution. In order to find out how many moles of iodine have been produced, the solution is titrated with a solution of sodium thiosulfate (na₂s₂o₃) of known concentration. The balanced equations for the standardization. Titration Between Ki And Na2S2O3.
From www.numerade.com
Lab 8 Preparation and Standardization of Sodium Thiosulfate (Na2S2O3 Titration Between Ki And Na2S2O3 Add 4.0 g of ki to one of your samples and titrate immediately with the standard thiosulfate solution. The standardization titration should be repeatable to within 5%. The balanced equations for the standardization reactions are as follows: In order to find out how many moles of iodine have been produced, the solution is titrated with a solution of sodium thiosulfate. Titration Between Ki And Na2S2O3.
From slideplayer.com
Redox Reactions. ppt download Titration Between Ki And Na2S2O3 The standardization titration should be repeatable to within 5%. In order to find out how many moles of iodine have been produced, the solution is titrated with a solution of sodium thiosulfate (na₂s₂o₃) of known concentration. Add 4.0 g of ki to one of your samples and titrate immediately with the standard thiosulfate solution. The balanced equations for the standardization. Titration Between Ki And Na2S2O3.
From www.chegg.com
Solved gray A Standardization of Na 2S2 O3 Mass of KIO, in Titration Between Ki And Na2S2O3 The balanced equations for the standardization reactions are as follows: The standardization titration should be repeatable to within 5%. In order to find out how many moles of iodine have been produced, the solution is titrated with a solution of sodium thiosulfate (na₂s₂o₃) of known concentration. Add 4.0 g of ki to one of your samples and titrate immediately with. Titration Between Ki And Na2S2O3.
From www.toppr.com
Excess KI reacts with CuSO4 solution and the Na2S2O3 solution is added Titration Between Ki And Na2S2O3 Add 4.0 g of ki to one of your samples and titrate immediately with the standard thiosulfate solution. The balanced equations for the standardization reactions are as follows: The standardization titration should be repeatable to within 5%. In order to find out how many moles of iodine have been produced, the solution is titrated with a solution of sodium thiosulfate. Titration Between Ki And Na2S2O3.
From www.youtube.com
Eureka 2017 Iodometry Redox Titration KIO3 Vs Thiosulfate YouTube Titration Between Ki And Na2S2O3 Add 4.0 g of ki to one of your samples and titrate immediately with the standard thiosulfate solution. The balanced equations for the standardization reactions are as follows: The standardization titration should be repeatable to within 5%. In order to find out how many moles of iodine have been produced, the solution is titrated with a solution of sodium thiosulfate. Titration Between Ki And Na2S2O3.
From www.numerade.com
a solution of sodium thiosulfate was standardized by dissolving 01110 g Titration Between Ki And Na2S2O3 In order to find out how many moles of iodine have been produced, the solution is titrated with a solution of sodium thiosulfate (na₂s₂o₃) of known concentration. The standardization titration should be repeatable to within 5%. The balanced equations for the standardization reactions are as follows: Add 4.0 g of ki to one of your samples and titrate immediately with. Titration Between Ki And Na2S2O3.
From www.numerade.com
SOLVED A 0.140 sample of Na2S2O3 was determined by a coulometric Titration Between Ki And Na2S2O3 The standardization titration should be repeatable to within 5%. The balanced equations for the standardization reactions are as follows: In order to find out how many moles of iodine have been produced, the solution is titrated with a solution of sodium thiosulfate (na₂s₂o₃) of known concentration. Add 4.0 g of ki to one of your samples and titrate immediately with. Titration Between Ki And Na2S2O3.
From www.youtube.com
How to Write the Net Ionic Equation for Na2S2O3 + I2 = Na2S4O6 + NaI Titration Between Ki And Na2S2O3 In order to find out how many moles of iodine have been produced, the solution is titrated with a solution of sodium thiosulfate (na₂s₂o₃) of known concentration. The standardization titration should be repeatable to within 5%. The balanced equations for the standardization reactions are as follows: Add 4.0 g of ki to one of your samples and titrate immediately with. Titration Between Ki And Na2S2O3.
From slideplayer.com
IodoIodimetry SMK Negeri 13 Bandung. ppt download Titration Between Ki And Na2S2O3 Add 4.0 g of ki to one of your samples and titrate immediately with the standard thiosulfate solution. The standardization titration should be repeatable to within 5%. In order to find out how many moles of iodine have been produced, the solution is titrated with a solution of sodium thiosulfate (na₂s₂o₃) of known concentration. The balanced equations for the standardization. Titration Between Ki And Na2S2O3.
From dykjjiebeco.blob.core.windows.net
Reaction Between Kio3 And Na2S2O3 at Joseph Johnson blog Titration Between Ki And Na2S2O3 In order to find out how many moles of iodine have been produced, the solution is titrated with a solution of sodium thiosulfate (na₂s₂o₃) of known concentration. The balanced equations for the standardization reactions are as follows: Add 4.0 g of ki to one of your samples and titrate immediately with the standard thiosulfate solution. The standardization titration should be. Titration Between Ki And Na2S2O3.
From www.numerade.com
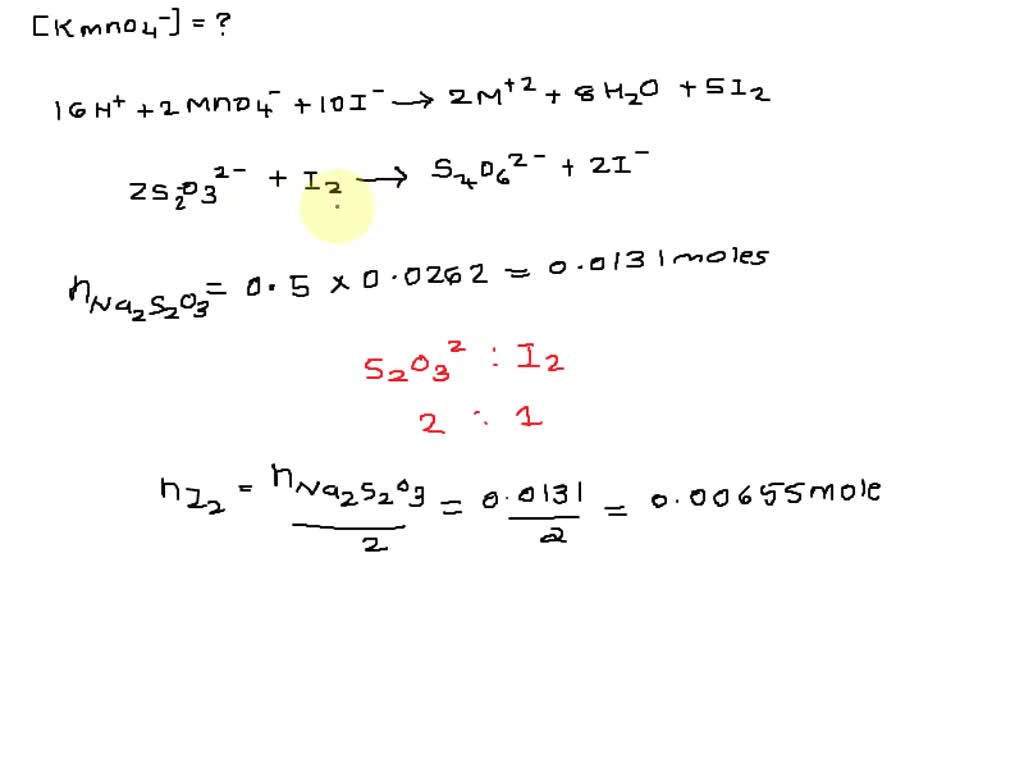
SOLVED Potassium manganate(VII), KMnO4, oxidizes potassium iodide, KI Titration Between Ki And Na2S2O3 The standardization titration should be repeatable to within 5%. Add 4.0 g of ki to one of your samples and titrate immediately with the standard thiosulfate solution. The balanced equations for the standardization reactions are as follows: In order to find out how many moles of iodine have been produced, the solution is titrated with a solution of sodium thiosulfate. Titration Between Ki And Na2S2O3.
From slideplayer.com
Table Salt for KI Content Theory and Background ppt download Titration Between Ki And Na2S2O3 In order to find out how many moles of iodine have been produced, the solution is titrated with a solution of sodium thiosulfate (na₂s₂o₃) of known concentration. The standardization titration should be repeatable to within 5%. The balanced equations for the standardization reactions are as follows: Add 4.0 g of ki to one of your samples and titrate immediately with. Titration Between Ki And Na2S2O3.
From www.numerade.com
SOLVED Why is it important t0 start the titration soon afler adding KI Titration Between Ki And Na2S2O3 The standardization titration should be repeatable to within 5%. The balanced equations for the standardization reactions are as follows: In order to find out how many moles of iodine have been produced, the solution is titrated with a solution of sodium thiosulfate (na₂s₂o₃) of known concentration. Add 4.0 g of ki to one of your samples and titrate immediately with. Titration Between Ki And Na2S2O3.
From dykjjiebeco.blob.core.windows.net
Reaction Between Kio3 And Na2S2O3 at Joseph Johnson blog Titration Between Ki And Na2S2O3 Add 4.0 g of ki to one of your samples and titrate immediately with the standard thiosulfate solution. The standardization titration should be repeatable to within 5%. In order to find out how many moles of iodine have been produced, the solution is titrated with a solution of sodium thiosulfate (na₂s₂o₃) of known concentration. The balanced equations for the standardization. Titration Between Ki And Na2S2O3.
From dykjjiebeco.blob.core.windows.net
Reaction Between Kio3 And Na2S2O3 at Joseph Johnson blog Titration Between Ki And Na2S2O3 Add 4.0 g of ki to one of your samples and titrate immediately with the standard thiosulfate solution. In order to find out how many moles of iodine have been produced, the solution is titrated with a solution of sodium thiosulfate (na₂s₂o₃) of known concentration. The standardization titration should be repeatable to within 5%. The balanced equations for the standardization. Titration Between Ki And Na2S2O3.
From www.numerade.com
SOLVED Add 24.2g of Na2S2O3 · 5H2O and add 0.1g of Na2CO3 to 1L of Titration Between Ki And Na2S2O3 The balanced equations for the standardization reactions are as follows: Add 4.0 g of ki to one of your samples and titrate immediately with the standard thiosulfate solution. In order to find out how many moles of iodine have been produced, the solution is titrated with a solution of sodium thiosulfate (na₂s₂o₃) of known concentration. The standardization titration should be. Titration Between Ki And Na2S2O3.
From xaydungso.vn
Na2S2O3 và H2SO4 Tìm Hiểu Phản Ứng Hóa Học và Ứng Dụng Thực Tiễn Titration Between Ki And Na2S2O3 The balanced equations for the standardization reactions are as follows: Add 4.0 g of ki to one of your samples and titrate immediately with the standard thiosulfate solution. The standardization titration should be repeatable to within 5%. In order to find out how many moles of iodine have been produced, the solution is titrated with a solution of sodium thiosulfate. Titration Between Ki And Na2S2O3.
From www.youtube.com
Cu2+ Na2S2O3 titration YouTube Titration Between Ki And Na2S2O3 In order to find out how many moles of iodine have been produced, the solution is titrated with a solution of sodium thiosulfate (na₂s₂o₃) of known concentration. Add 4.0 g of ki to one of your samples and titrate immediately with the standard thiosulfate solution. The standardization titration should be repeatable to within 5%. The balanced equations for the standardization. Titration Between Ki And Na2S2O3.
From mavink.com
Titration Photo Titration Between Ki And Na2S2O3 In order to find out how many moles of iodine have been produced, the solution is titrated with a solution of sodium thiosulfate (na₂s₂o₃) of known concentration. The standardization titration should be repeatable to within 5%. Add 4.0 g of ki to one of your samples and titrate immediately with the standard thiosulfate solution. The balanced equations for the standardization. Titration Between Ki And Na2S2O3.
From slideplayer.com
Lesson 9 Boltzmann Distribution ppt download Titration Between Ki And Na2S2O3 The balanced equations for the standardization reactions are as follows: In order to find out how many moles of iodine have been produced, the solution is titrated with a solution of sodium thiosulfate (na₂s₂o₃) of known concentration. The standardization titration should be repeatable to within 5%. Add 4.0 g of ki to one of your samples and titrate immediately with. Titration Between Ki And Na2S2O3.
From www.toppr.com
A solution of 12 in aqueous KI on being treated with an aqueous Titration Between Ki And Na2S2O3 Add 4.0 g of ki to one of your samples and titrate immediately with the standard thiosulfate solution. In order to find out how many moles of iodine have been produced, the solution is titrated with a solution of sodium thiosulfate (na₂s₂o₃) of known concentration. The standardization titration should be repeatable to within 5%. The balanced equations for the standardization. Titration Between Ki And Na2S2O3.
From slideplayer.com
Determination of Carbohydrate ppt download Titration Between Ki And Na2S2O3 The balanced equations for the standardization reactions are as follows: The standardization titration should be repeatable to within 5%. Add 4.0 g of ki to one of your samples and titrate immediately with the standard thiosulfate solution. In order to find out how many moles of iodine have been produced, the solution is titrated with a solution of sodium thiosulfate. Titration Between Ki And Na2S2O3.
From www.chegg.com
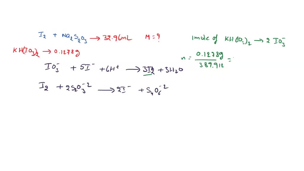
2. Two substances, potassium iodate (KIO3) and sodium Titration Between Ki And Na2S2O3 In order to find out how many moles of iodine have been produced, the solution is titrated with a solution of sodium thiosulfate (na₂s₂o₃) of known concentration. The balanced equations for the standardization reactions are as follows: The standardization titration should be repeatable to within 5%. Add 4.0 g of ki to one of your samples and titrate immediately with. Titration Between Ki And Na2S2O3.
From slideplayer.com
Redox titration Lecture 9 Associate prof . L.V. Vronska ppt download Titration Between Ki And Na2S2O3 The standardization titration should be repeatable to within 5%. In order to find out how many moles of iodine have been produced, the solution is titrated with a solution of sodium thiosulfate (na₂s₂o₃) of known concentration. The balanced equations for the standardization reactions are as follows: Add 4.0 g of ki to one of your samples and titrate immediately with. Titration Between Ki And Na2S2O3.
From www.chegg.com
Solved 2. Potassium iodate and sodium thiosulphate react Titration Between Ki And Na2S2O3 Add 4.0 g of ki to one of your samples and titrate immediately with the standard thiosulfate solution. In order to find out how many moles of iodine have been produced, the solution is titrated with a solution of sodium thiosulfate (na₂s₂o₃) of known concentration. The balanced equations for the standardization reactions are as follows: The standardization titration should be. Titration Between Ki And Na2S2O3.
From www.slideserve.com
PPT Sodium Thiosulfate Titrations PowerPoint Presentation, free Titration Between Ki And Na2S2O3 Add 4.0 g of ki to one of your samples and titrate immediately with the standard thiosulfate solution. The balanced equations for the standardization reactions are as follows: The standardization titration should be repeatable to within 5%. In order to find out how many moles of iodine have been produced, the solution is titrated with a solution of sodium thiosulfate. Titration Between Ki And Na2S2O3.