Dice Meaning In Marathi . (अन्न किंवा इतर साहित्य) लहान चौकोनी तुकडे करा. Meaning of dice in english. See pronunciation, translation, synonyms, examples, definitions of dice in. What is dice meaning in marathi? What is dice in marathi? फासे सह जुगार किंवा पैज. Play or gamble with dice. Small cubes used in gaming or in determining by chance; फासे, द्युत, बारीक चौकोनी तुकडे करणे. निःशुल्क देऊ केली जाणारी google ची सेवा ही शब्द, वाक्य आणि वेब पेज यांचे इंग्रजीमधून १०० पेक्षा जास्त भाषांमध्ये झटपट भाषांतर करते. The word or phrase dice refers to a small cube with 1 to 6 spots on the six faces; Also, the game played with dice. Meaning of ‘dice’ in marathi. The meaning of dice in marathi is फासे. Cut (food or other matter).
from www.doubtnut.com
निःशुल्क देऊ केली जाणारी google ची सेवा ही शब्द, वाक्य आणि वेब पेज यांचे इंग्रजीमधून १०० पेक्षा जास्त भाषांमध्ये झटपट भाषांतर करते. फासे सह जुगार किंवा पैज. What is dice in marathi? Also, the game played with dice. What is dice meaning in marathi? Cut (food or other matter). The word or phrase dice refers to a small cube with 1 to 6 spots on the six faces; Small cubes used in gaming or in determining by chance; The meaning of dice in marathi is फासे. फासे, एखादी व्यक्ती सतत अपयशी होते, उलटे दान पडते, फाशांचा खेळ खेळणे, फाशांच्या आकाराचे तुकडे पाडणे.
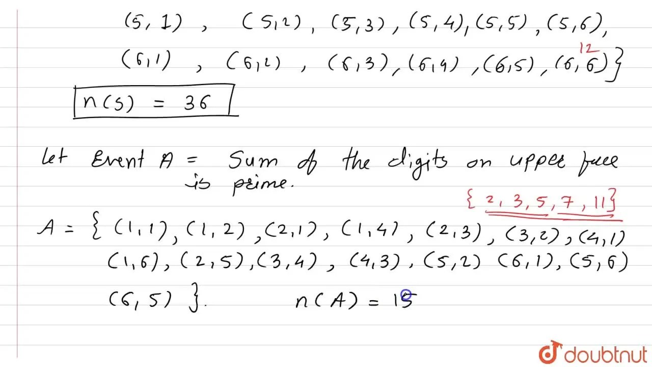
[Marathi] Two dice are rolled, write the sample space 'S' and number
Dice Meaning In Marathi Play or gamble with dice. Cut (food or other matter). Play or gamble with dice. निःशुल्क देऊ केली जाणारी google ची सेवा ही शब्द, वाक्य आणि वेब पेज यांचे इंग्रजीमधून १०० पेक्षा जास्त भाषांमध्ये झटपट भाषांतर करते. Meaning of ‘dice’ in marathi. Small cubes used in gaming or in determining by chance; (अन्न किंवा इतर साहित्य) लहान चौकोनी तुकडे करा. फासे सह जुगार किंवा पैज. See pronunciation, translation, synonyms, examples, definitions of dice in. The meaning of dice in marathi is फासे. Meaning of dice in english. What is dice in marathi? The word or phrase dice refers to a small cube with 1 to 6 spots on the six faces; What is dice meaning in marathi? फासे, एखादी व्यक्ती सतत अपयशी होते, उलटे दान पडते, फाशांचा खेळ खेळणे, फाशांच्या आकाराचे तुकडे पाडणे. फासे, द्युत, बारीक चौकोनी तुकडे करणे.
From www.youtube.com
Dice trick marathi डायस फासा घनtrick Dice cube short trick Dice Meaning In Marathi Play or gamble with dice. Meaning of ‘dice’ in marathi. Small cubes used in gaming or in determining by chance; फासे, एखादी व्यक्ती सतत अपयशी होते, उलटे दान पडते, फाशांचा खेळ खेळणे, फाशांच्या आकाराचे तुकडे पाडणे. निःशुल्क देऊ केली जाणारी google ची सेवा ही शब्द, वाक्य आणि वेब पेज यांचे इंग्रजीमधून १०० पेक्षा जास्त भाषांमध्ये झटपट भाषांतर करते. Meaning of. Dice Meaning In Marathi.
From www.youtube.com
Verbs forms with Marathi meaning English words with Marathi v1 v2 v3 Dice Meaning In Marathi Play or gamble with dice. निःशुल्क देऊ केली जाणारी google ची सेवा ही शब्द, वाक्य आणि वेब पेज यांचे इंग्रजीमधून १०० पेक्षा जास्त भाषांमध्ये झटपट भाषांतर करते. Small cubes used in gaming or in determining by chance; फासे, एखादी व्यक्ती सतत अपयशी होते, उलटे दान पडते, फाशांचा खेळ खेळणे, फाशांच्या आकाराचे तुकडे पाडणे. Also, the game played with dice. Meaning. Dice Meaning In Marathi.
From it.hinative.com
Come si dice in Marathi? "mazn ang dukhat aahe" HiNative Dice Meaning In Marathi (अन्न किंवा इतर साहित्य) लहान चौकोनी तुकडे करा. फासे, एखादी व्यक्ती सतत अपयशी होते, उलटे दान पडते, फाशांचा खेळ खेळणे, फाशांच्या आकाराचे तुकडे पाडणे. Meaning of dice in english. See pronunciation, translation, synonyms, examples, definitions of dice in. Also, the game played with dice. What is dice meaning in marathi? निःशुल्क देऊ केली जाणारी google ची सेवा ही शब्द, वाक्य. Dice Meaning In Marathi.
From www.youtube.com
Top 50 Opposite Words in Marathi विरुद्धार्थी शब्द मराठी भाषेत Dice Meaning In Marathi What is dice meaning in marathi? Meaning of ‘dice’ in marathi. फासे, द्युत, बारीक चौकोनी तुकडे करणे. Small cubes used in gaming or in determining by chance; फासे, एखादी व्यक्ती सतत अपयशी होते, उलटे दान पडते, फाशांचा खेळ खेळणे, फाशांच्या आकाराचे तुकडे पाडणे. (अन्न किंवा इतर साहित्य) लहान चौकोनी तुकडे करा. Play or gamble with dice. निःशुल्क देऊ केली जाणारी. Dice Meaning In Marathi.
From www.collinsdictionary.com
Dice definition and meaning Collins English Dictionary Dice Meaning In Marathi फासे, एखादी व्यक्ती सतत अपयशी होते, उलटे दान पडते, फाशांचा खेळ खेळणे, फाशांच्या आकाराचे तुकडे पाडणे. See pronunciation, translation, synonyms, examples, definitions of dice in. फासे सह जुगार किंवा पैज. Meaning of dice in english. निःशुल्क देऊ केली जाणारी google ची सेवा ही शब्द, वाक्य आणि वेब पेज यांचे इंग्रजीमधून १०० पेक्षा जास्त भाषांमध्ये झटपट भाषांतर करते. What is dice. Dice Meaning In Marathi.
From www.youtube.com
English To Marathi Word Marathi word in English English to Marathi Dice Meaning In Marathi Cut (food or other matter). What is dice in marathi? फासे सह जुगार किंवा पैज. फासे, द्युत, बारीक चौकोनी तुकडे करणे. Small cubes used in gaming or in determining by chance; Also, the game played with dice. The meaning of dice in marathi is फासे. फासे, एखादी व्यक्ती सतत अपयशी होते, उलटे दान पडते, फाशांचा खेळ खेळणे, फाशांच्या आकाराचे तुकडे. Dice Meaning In Marathi.
From www.youtube.com
English word meaning in marathiDaily use English words vocabulary Dice Meaning In Marathi Meaning of dice in english. Cut (food or other matter). Also, the game played with dice. Meaning of ‘dice’ in marathi. Play or gamble with dice. फासे सह जुगार किंवा पैज. What is dice meaning in marathi? The word or phrase dice refers to a small cube with 1 to 6 spots on the six faces; फासे, द्युत, बारीक चौकोनी. Dice Meaning In Marathi.
From diarytrend.com
Battery About To Die Meaning In Marathi Dice Meaning In Marathi Meaning of dice in english. निःशुल्क देऊ केली जाणारी google ची सेवा ही शब्द, वाक्य आणि वेब पेज यांचे इंग्रजीमधून १०० पेक्षा जास्त भाषांमध्ये झटपट भाषांतर करते. See pronunciation, translation, synonyms, examples, definitions of dice in. The word or phrase dice refers to a small cube with 1 to 6 spots on the six faces; Also, the game played with. Dice Meaning In Marathi.
From www.indif.com
Marathi Alphabets (Varnmala) Chart with Pictures Dice Meaning In Marathi फासे सह जुगार किंवा पैज. Also, the game played with dice. Meaning of dice in english. Meaning of ‘dice’ in marathi. Play or gamble with dice. Cut (food or other matter). फासे, एखादी व्यक्ती सतत अपयशी होते, उलटे दान पडते, फाशांचा खेळ खेळणे, फाशांच्या आकाराचे तुकडे पाडणे. See pronunciation, translation, synonyms, examples, definitions of dice in. What is dice in. Dice Meaning In Marathi.
From www.youtube.com
Dice meaning of Dice YouTube Dice Meaning In Marathi The word or phrase dice refers to a small cube with 1 to 6 spots on the six faces; The meaning of dice in marathi is फासे. Also, the game played with dice. फासे, एखादी व्यक्ती सतत अपयशी होते, उलटे दान पडते, फाशांचा खेळ खेळणे, फाशांच्या आकाराचे तुकडे पाडणे. Cut (food or other matter). फासे, द्युत, बारीक चौकोनी तुकडे करणे.. Dice Meaning In Marathi.
From www.youtube.com
Common english words in marathiBasic English vocabulary English to Dice Meaning In Marathi फासे सह जुगार किंवा पैज. निःशुल्क देऊ केली जाणारी google ची सेवा ही शब्द, वाक्य आणि वेब पेज यांचे इंग्रजीमधून १०० पेक्षा जास्त भाषांमध्ये झटपट भाषांतर करते. What is dice in marathi? Also, the game played with dice. (अन्न किंवा इतर साहित्य) लहान चौकोनी तुकडे करा. Play or gamble with dice. Meaning of dice in english. Cut (food or other. Dice Meaning In Marathi.
From brainly.in
Vocabulary words with Marathi meaning PDF Brainly.in Dice Meaning In Marathi Meaning of dice in english. निःशुल्क देऊ केली जाणारी google ची सेवा ही शब्द, वाक्य आणि वेब पेज यांचे इंग्रजीमधून १०० पेक्षा जास्त भाषांमध्ये झटपट भाषांतर करते. फासे, द्युत, बारीक चौकोनी तुकडे करणे. See pronunciation, translation, synonyms, examples, definitions of dice in. Cut (food or other matter). Small cubes used in gaming or in determining by chance; Play or gamble. Dice Meaning In Marathi.
From www.doubtnut.com
[Marathi] Two dice are rolled, write the sample space 'S' and number Dice Meaning In Marathi Small cubes used in gaming or in determining by chance; The word or phrase dice refers to a small cube with 1 to 6 spots on the six faces; Play or gamble with dice. The meaning of dice in marathi is फासे. निःशुल्क देऊ केली जाणारी google ची सेवा ही शब्द, वाक्य आणि वेब पेज यांचे इंग्रजीमधून १०० पेक्षा जास्त. Dice Meaning In Marathi.
From englishseshuru.blogspot.com
Irregular verb form with Hindi and Marathi meaning set 1 Dice Meaning In Marathi The word or phrase dice refers to a small cube with 1 to 6 spots on the six faces; निःशुल्क देऊ केली जाणारी google ची सेवा ही शब्द, वाक्य आणि वेब पेज यांचे इंग्रजीमधून १०० पेक्षा जास्त भाषांमध्ये झटपट भाषांतर करते. Small cubes used in gaming or in determining by chance; What is dice in marathi? Play or gamble with. Dice Meaning In Marathi.
From www.desievite.com
Marathi Quotations Dice Meaning In Marathi What is dice in marathi? फासे, द्युत, बारीक चौकोनी तुकडे करणे. The meaning of dice in marathi is फासे. (अन्न किंवा इतर साहित्य) लहान चौकोनी तुकडे करा. Play or gamble with dice. फासे सह जुगार किंवा पैज. See pronunciation, translation, synonyms, examples, definitions of dice in. The word or phrase dice refers to a small cube with 1 to 6. Dice Meaning In Marathi.
From www.youtube.com
DictionaryLearn in English, Hindi & Marathi English Speaking Course Dice Meaning In Marathi Meaning of dice in english. फासे सह जुगार किंवा पैज. See pronunciation, translation, synonyms, examples, definitions of dice in. What is dice in marathi? The word or phrase dice refers to a small cube with 1 to 6 spots on the six faces; Cut (food or other matter). फासे, एखादी व्यक्ती सतत अपयशी होते, उलटे दान पडते, फाशांचा खेळ खेळणे,. Dice Meaning In Marathi.
From www.youtube.com
Verbs forms with Marathi meaning English words with Marathi v1 v2 v3 Dice Meaning In Marathi Meaning of ‘dice’ in marathi. Play or gamble with dice. Cut (food or other matter). What is dice in marathi? (अन्न किंवा इतर साहित्य) लहान चौकोनी तुकडे करा. फासे सह जुगार किंवा पैज. फासे, द्युत, बारीक चौकोनी तुकडे करणे. Meaning of dice in english. फासे, एखादी व्यक्ती सतत अपयशी होते, उलटे दान पडते, फाशांचा खेळ खेळणे, फाशांच्या आकाराचे तुकडे पाडणे. Dice Meaning In Marathi.
From www.youtube.com
Relative English word marathi meaning Part 2 word meaning in marathi Dice Meaning In Marathi निःशुल्क देऊ केली जाणारी google ची सेवा ही शब्द, वाक्य आणि वेब पेज यांचे इंग्रजीमधून १०० पेक्षा जास्त भाषांमध्ये झटपट भाषांतर करते. Meaning of dice in english. Meaning of ‘dice’ in marathi. फासे सह जुगार किंवा पैज. Cut (food or other matter). See pronunciation, translation, synonyms, examples, definitions of dice in. The meaning of dice in marathi is फासे. Play. Dice Meaning In Marathi.
From www.youtube.com
Dice Meaning in Hindi/Dice ka Matlab kya Hota hai YouTube Dice Meaning In Marathi Play or gamble with dice. What is dice in marathi? See pronunciation, translation, synonyms, examples, definitions of dice in. The meaning of dice in marathi is फासे. The word or phrase dice refers to a small cube with 1 to 6 spots on the six faces; Meaning of ‘dice’ in marathi. Small cubes used in gaming or in determining by. Dice Meaning In Marathi.
From exowmknhr.blob.core.windows.net
Freestanding Meaning Marathi at Kimberly Denniston blog Dice Meaning In Marathi Cut (food or other matter). निःशुल्क देऊ केली जाणारी google ची सेवा ही शब्द, वाक्य आणि वेब पेज यांचे इंग्रजीमधून १०० पेक्षा जास्त भाषांमध्ये झटपट भाषांतर करते. Small cubes used in gaming or in determining by chance; What is dice meaning in marathi? The meaning of dice in marathi is फासे. See pronunciation, translation, synonyms, examples, definitions of dice in.. Dice Meaning In Marathi.
From www.youtube.com
बुद्धीमत्ता फासा / घन 5 Reasoning Dice For End Exam Short Dice Meaning In Marathi Play or gamble with dice. (अन्न किंवा इतर साहित्य) लहान चौकोनी तुकडे करा. फासे सह जुगार किंवा पैज. Small cubes used in gaming or in determining by chance; The meaning of dice in marathi is फासे. Meaning of dice in english. See pronunciation, translation, synonyms, examples, definitions of dice in. Cut (food or other matter). Meaning of ‘dice’ in marathi. Dice Meaning In Marathi.
From www.youtube.com
CSAT DICE tricks in Marathi घन/ठोकळा/ सोंगटी/ फासा 100 AWESOME Dice Meaning In Marathi निःशुल्क देऊ केली जाणारी google ची सेवा ही शब्द, वाक्य आणि वेब पेज यांचे इंग्रजीमधून १०० पेक्षा जास्त भाषांमध्ये झटपट भाषांतर करते. Small cubes used in gaming or in determining by chance; Meaning of dice in english. Also, the game played with dice. The word or phrase dice refers to a small cube with 1 to 6 spots on the. Dice Meaning In Marathi.
From bceweb.org
Marathi Barakhadi Chart A Visual Reference of Charts Chart Master Dice Meaning In Marathi Meaning of dice in english. Also, the game played with dice. What is dice in marathi? See pronunciation, translation, synonyms, examples, definitions of dice in. निःशुल्क देऊ केली जाणारी google ची सेवा ही शब्द, वाक्य आणि वेब पेज यांचे इंग्रजीमधून १०० पेक्षा जास्त भाषांमध्ये झटपट भाषांतर करते. What is dice meaning in marathi? Cut (food or other matter). फासे, द्युत,. Dice Meaning In Marathi.
From www.youtube.com
Learn Marathi Phrases Learn Marathi Through English Learn Marathi Dice Meaning In Marathi What is dice in marathi? Meaning of ‘dice’ in marathi. The meaning of dice in marathi is फासे. (अन्न किंवा इतर साहित्य) लहान चौकोनी तुकडे करा. Small cubes used in gaming or in determining by chance; फासे, एखादी व्यक्ती सतत अपयशी होते, उलटे दान पडते, फाशांचा खेळ खेळणे, फाशांच्या आकाराचे तुकडे पाडणे. Cut (food or other matter). फासे, द्युत, बारीक. Dice Meaning In Marathi.
From www.youtube.com
Spellings and their meanings in Marathi YouTube Dice Meaning In Marathi Small cubes used in gaming or in determining by chance; What is dice meaning in marathi? Meaning of dice in english. Cut (food or other matter). What is dice in marathi? The word or phrase dice refers to a small cube with 1 to 6 spots on the six faces; Meaning of ‘dice’ in marathi. (अन्न किंवा इतर साहित्य) लहान. Dice Meaning In Marathi.
From www.youtube.com
Dice in marathi फासा आणि घन Fasa ani ghan phasa ani ghan एकदम Dice Meaning In Marathi फासे, द्युत, बारीक चौकोनी तुकडे करणे. The word or phrase dice refers to a small cube with 1 to 6 spots on the six faces; What is dice in marathi? Small cubes used in gaming or in determining by chance; The meaning of dice in marathi is फासे. Also, the game played with dice. फासे सह जुगार किंवा पैज. निःशुल्क. Dice Meaning In Marathi.
From www.youtube.com
Dice in marathi ग्रामसेवक गणित प्रश्न भाग 10 gramsevakexam Dice Meaning In Marathi The meaning of dice in marathi is फासे. See pronunciation, translation, synonyms, examples, definitions of dice in. What is dice meaning in marathi? Meaning of dice in english. What is dice in marathi? फासे सह जुगार किंवा पैज. Also, the game played with dice. Cut (food or other matter). Small cubes used in gaming or in determining by chance; Dice Meaning In Marathi.
From play.google.com
English to Marathi Dictionary Apps on Google Play Dice Meaning In Marathi Meaning of ‘dice’ in marathi. निःशुल्क देऊ केली जाणारी google ची सेवा ही शब्द, वाक्य आणि वेब पेज यांचे इंग्रजीमधून १०० पेक्षा जास्त भाषांमध्ये झटपट भाषांतर करते. Small cubes used in gaming or in determining by chance; Cut (food or other matter). What is dice meaning in marathi? The meaning of dice in marathi is फासे. What is dice in. Dice Meaning In Marathi.
From www.youtube.com
Verbs forms with Marathi meaning English words with Marathi v1 v2 v3 Dice Meaning In Marathi Meaning of ‘dice’ in marathi. निःशुल्क देऊ केली जाणारी google ची सेवा ही शब्द, वाक्य आणि वेब पेज यांचे इंग्रजीमधून १०० पेक्षा जास्त भाषांमध्ये झटपट भाषांतर करते. (अन्न किंवा इतर साहित्य) लहान चौकोनी तुकडे करा. Meaning of dice in english. फासे, एखादी व्यक्ती सतत अपयशी होते, उलटे दान पडते, फाशांचा खेळ खेळणे, फाशांच्या आकाराचे तुकडे पाडणे. Cut (food or other. Dice Meaning In Marathi.
From studydavid.z19.web.core.windows.net
Marathi Numbers In Words Dice Meaning In Marathi Cut (food or other matter). Small cubes used in gaming or in determining by chance; Meaning of dice in english. The meaning of dice in marathi is फासे. निःशुल्क देऊ केली जाणारी google ची सेवा ही शब्द, वाक्य आणि वेब पेज यांचे इंग्रजीमधून १०० पेक्षा जास्त भाषांमध्ये झटपट भाषांतर करते. What is dice meaning in marathi? Also, the game played. Dice Meaning In Marathi.
From www.youtube.com
100 common english words with marathi meanings दररोज वापरले जाणारे Dice Meaning In Marathi फासे, द्युत, बारीक चौकोनी तुकडे करणे. फासे सह जुगार किंवा पैज. Play or gamble with dice. (अन्न किंवा इतर साहित्य) लहान चौकोनी तुकडे करा. See pronunciation, translation, synonyms, examples, definitions of dice in. Meaning of ‘dice’ in marathi. Also, the game played with dice. फासे, एखादी व्यक्ती सतत अपयशी होते, उलटे दान पडते, फाशांचा खेळ खेळणे, फाशांच्या आकाराचे तुकडे पाडणे.. Dice Meaning In Marathi.
From mayboli.in
Die With Memories Not Dreams Meaning in Marathi Mayboli.in Dice Meaning In Marathi Meaning of dice in english. फासे, एखादी व्यक्ती सतत अपयशी होते, उलटे दान पडते, फाशांचा खेळ खेळणे, फाशांच्या आकाराचे तुकडे पाडणे. What is dice meaning in marathi? Also, the game played with dice. फासे सह जुगार किंवा पैज. निःशुल्क देऊ केली जाणारी google ची सेवा ही शब्द, वाक्य आणि वेब पेज यांचे इंग्रजीमधून १०० पेक्षा जास्त भाषांमध्ये झटपट भाषांतर करते.. Dice Meaning In Marathi.
From www.youtube.com
Dice Reasoning Tricks For SSC GD फासा Class 2 In Marathi SSC GD Dice Meaning In Marathi The word or phrase dice refers to a small cube with 1 to 6 spots on the six faces; Play or gamble with dice. फासे, एखादी व्यक्ती सतत अपयशी होते, उलटे दान पडते, फाशांचा खेळ खेळणे, फाशांच्या आकाराचे तुकडे पाडणे. The meaning of dice in marathi is फासे. Also, the game played with dice. Cut (food or other matter). What. Dice Meaning In Marathi.
From www.youtube.com
100 common english words with marathi meanings दररोज वापरले जाणारे Dice Meaning In Marathi Meaning of dice in english. फासे, एखादी व्यक्ती सतत अपयशी होते, उलटे दान पडते, फाशांचा खेळ खेळणे, फाशांच्या आकाराचे तुकडे पाडणे. Also, the game played with dice. निःशुल्क देऊ केली जाणारी google ची सेवा ही शब्द, वाक्य आणि वेब पेज यांचे इंग्रजीमधून १०० पेक्षा जास्त भाषांमध्ये झटपट भाषांतर करते. The word or phrase dice refers to a small cube with. Dice Meaning In Marathi.
From www.youtube.com
English words meaning in marathi Word Meaning in marathi YouTube Dice Meaning In Marathi Play or gamble with dice. See pronunciation, translation, synonyms, examples, definitions of dice in. फासे सह जुगार किंवा पैज. निःशुल्क देऊ केली जाणारी google ची सेवा ही शब्द, वाक्य आणि वेब पेज यांचे इंग्रजीमधून १०० पेक्षा जास्त भाषांमध्ये झटपट भाषांतर करते. The word or phrase dice refers to a small cube with 1 to 6 spots on the six faces;. Dice Meaning In Marathi.