Instrument Cable Resistance . These cables are designed to connect electrical instrument circuits and provide communication services in and around process plants (e.g. Instrumentation cables have many properties that enable them to be used reliably in harsh industrial environments, including resistance to temperature. Generally, instrument cable center conductors are in the range of 18 to 24 awg, with strands of 32 to 36 awg. For the transmission of data and control signals in harsh environments like oil, gas and petrochemical industries. Instrumentation cables are used to transmit digital or analogue signals for measurement or process control applications in fixed installation on. Many american wire mills simply cannot.
from electrical-engineering-portal.com
These cables are designed to connect electrical instrument circuits and provide communication services in and around process plants (e.g. For the transmission of data and control signals in harsh environments like oil, gas and petrochemical industries. Generally, instrument cable center conductors are in the range of 18 to 24 awg, with strands of 32 to 36 awg. Instrumentation cables are used to transmit digital or analogue signals for measurement or process control applications in fixed installation on. Instrumentation cables have many properties that enable them to be used reliably in harsh industrial environments, including resistance to temperature. Many american wire mills simply cannot.
Cable sizing of submain electrical circuits (working examples) EEP
Instrument Cable Resistance Instrumentation cables are used to transmit digital or analogue signals for measurement or process control applications in fixed installation on. Generally, instrument cable center conductors are in the range of 18 to 24 awg, with strands of 32 to 36 awg. Many american wire mills simply cannot. These cables are designed to connect electrical instrument circuits and provide communication services in and around process plants (e.g. Instrumentation cables are used to transmit digital or analogue signals for measurement or process control applications in fixed installation on. For the transmission of data and control signals in harsh environments like oil, gas and petrochemical industries. Instrumentation cables have many properties that enable them to be used reliably in harsh industrial environments, including resistance to temperature.
From www.eng-tips.com
IEC Version of NEC Table 9 Electric power & transmission Instrument Cable Resistance Instrumentation cables are used to transmit digital or analogue signals for measurement or process control applications in fixed installation on. Generally, instrument cable center conductors are in the range of 18 to 24 awg, with strands of 32 to 36 awg. Many american wire mills simply cannot. For the transmission of data and control signals in harsh environments like oil,. Instrument Cable Resistance.
From www.ppgolden.com
CONDUCTOR RESISTANCE SUMMIT CROSS P.P. GOLDEN WIRE CABLE POWER CORD Instrument Cable Resistance Generally, instrument cable center conductors are in the range of 18 to 24 awg, with strands of 32 to 36 awg. Instrumentation cables are used to transmit digital or analogue signals for measurement or process control applications in fixed installation on. Many american wire mills simply cannot. For the transmission of data and control signals in harsh environments like oil,. Instrument Cable Resistance.
From www.youtube.com
CABLE RESISTANCE TABLES OSG ONSITE GUIDE GUIDANCE NOTE 3 HOW TO Instrument Cable Resistance These cables are designed to connect electrical instrument circuits and provide communication services in and around process plants (e.g. For the transmission of data and control signals in harsh environments like oil, gas and petrochemical industries. Instrumentation cables have many properties that enable them to be used reliably in harsh industrial environments, including resistance to temperature. Generally, instrument cable center. Instrument Cable Resistance.
From www.youtube.com
CABLE LENGTH FROM RESISTANCE EASY CALCULATIONS HELPFUL TABLE YouTube Instrument Cable Resistance For the transmission of data and control signals in harsh environments like oil, gas and petrochemical industries. Instrumentation cables are used to transmit digital or analogue signals for measurement or process control applications in fixed installation on. These cables are designed to connect electrical instrument circuits and provide communication services in and around process plants (e.g. Generally, instrument cable center. Instrument Cable Resistance.
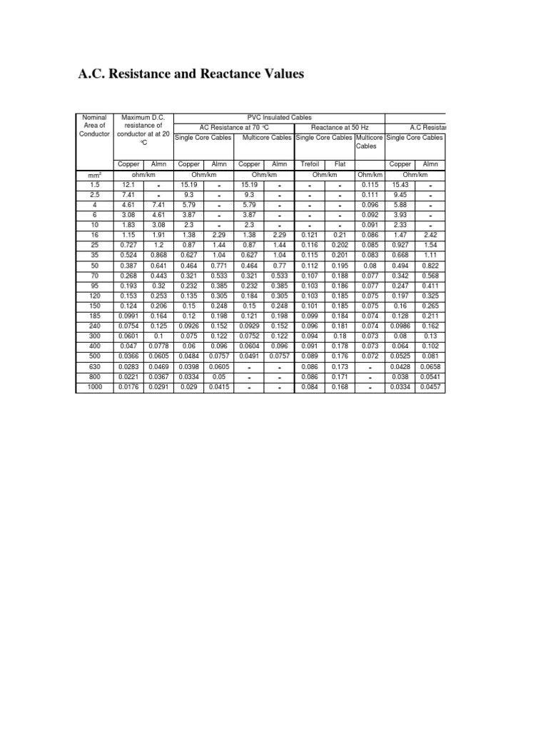
From www.scribd.com
Resistance and Reactance Per KM of Copper and Aluminium Cables LF Instrument Cable Resistance Many american wire mills simply cannot. Instrumentation cables have many properties that enable them to be used reliably in harsh industrial environments, including resistance to temperature. For the transmission of data and control signals in harsh environments like oil, gas and petrochemical industries. Instrumentation cables are used to transmit digital or analogue signals for measurement or process control applications in. Instrument Cable Resistance.
From exoutevhf.blob.core.windows.net
Insulation Resistance For Cable at Monica Shine blog Instrument Cable Resistance For the transmission of data and control signals in harsh environments like oil, gas and petrochemical industries. These cables are designed to connect electrical instrument circuits and provide communication services in and around process plants (e.g. Instrumentation cables have many properties that enable them to be used reliably in harsh industrial environments, including resistance to temperature. Generally, instrument cable center. Instrument Cable Resistance.
From kaicourseworkbtu.web.fc2.com
Resistance of wire gcse coursework Instrument Cable Resistance Generally, instrument cable center conductors are in the range of 18 to 24 awg, with strands of 32 to 36 awg. Instrumentation cables have many properties that enable them to be used reliably in harsh industrial environments, including resistance to temperature. These cables are designed to connect electrical instrument circuits and provide communication services in and around process plants (e.g.. Instrument Cable Resistance.
From www.linkedin.com
Instrumentation Cable Layers Instrument Cable Resistance Instrumentation cables have many properties that enable them to be used reliably in harsh industrial environments, including resistance to temperature. Many american wire mills simply cannot. Generally, instrument cable center conductors are in the range of 18 to 24 awg, with strands of 32 to 36 awg. For the transmission of data and control signals in harsh environments like oil,. Instrument Cable Resistance.
From www.engineeringtoolbox.com
Electric Wire Resistance Instrument Cable Resistance Many american wire mills simply cannot. These cables are designed to connect electrical instrument circuits and provide communication services in and around process plants (e.g. For the transmission of data and control signals in harsh environments like oil, gas and petrochemical industries. Instrumentation cables are used to transmit digital or analogue signals for measurement or process control applications in fixed. Instrument Cable Resistance.
From owlcation.com
An Investigation Into the Resistance of a Wire GCSE Physics Coursework Instrument Cable Resistance These cables are designed to connect electrical instrument circuits and provide communication services in and around process plants (e.g. Many american wire mills simply cannot. For the transmission of data and control signals in harsh environments like oil, gas and petrochemical industries. Generally, instrument cable center conductors are in the range of 18 to 24 awg, with strands of 32. Instrument Cable Resistance.
From www.dreamstime.com
Measurement of Cable Insulation Resistance by the Instrument Stock Instrument Cable Resistance Instrumentation cables have many properties that enable them to be used reliably in harsh industrial environments, including resistance to temperature. For the transmission of data and control signals in harsh environments like oil, gas and petrochemical industries. Generally, instrument cable center conductors are in the range of 18 to 24 awg, with strands of 32 to 36 awg. Instrumentation cables. Instrument Cable Resistance.
From www.whisperpumps.com
Understand Your Cable Resistance with our Comprehensive Chart Instrument Cable Resistance Instrumentation cables have many properties that enable them to be used reliably in harsh industrial environments, including resistance to temperature. These cables are designed to connect electrical instrument circuits and provide communication services in and around process plants (e.g. Instrumentation cables are used to transmit digital or analogue signals for measurement or process control applications in fixed installation on. For. Instrument Cable Resistance.
From www.pinterest.co.uk
Troubleshooting electrical equipment with insulation resistance test Instrument Cable Resistance Generally, instrument cable center conductors are in the range of 18 to 24 awg, with strands of 32 to 36 awg. Instrumentation cables have many properties that enable them to be used reliably in harsh industrial environments, including resistance to temperature. These cables are designed to connect electrical instrument circuits and provide communication services in and around process plants (e.g.. Instrument Cable Resistance.
From www.scribd.com
Cable Resistance Reactance Values PDF Instrument Cable Resistance These cables are designed to connect electrical instrument circuits and provide communication services in and around process plants (e.g. Instrumentation cables are used to transmit digital or analogue signals for measurement or process control applications in fixed installation on. Instrumentation cables have many properties that enable them to be used reliably in harsh industrial environments, including resistance to temperature. Generally,. Instrument Cable Resistance.
From ckt2017.en.made-in-china.com
Ckt517b DC Low Resistance Tester Micro Ohm Meter for Cable Resistance Instrument Cable Resistance These cables are designed to connect electrical instrument circuits and provide communication services in and around process plants (e.g. Generally, instrument cable center conductors are in the range of 18 to 24 awg, with strands of 32 to 36 awg. Many american wire mills simply cannot. Instrumentation cables are used to transmit digital or analogue signals for measurement or process. Instrument Cable Resistance.
From exovcbexe.blob.core.windows.net
Insulation Resistance Of Ht Cable at Thomas Ruddell blog Instrument Cable Resistance These cables are designed to connect electrical instrument circuits and provide communication services in and around process plants (e.g. Generally, instrument cable center conductors are in the range of 18 to 24 awg, with strands of 32 to 36 awg. Instrumentation cables have many properties that enable them to be used reliably in harsh industrial environments, including resistance to temperature.. Instrument Cable Resistance.
From electrical-engineering-portal.com
Cable Sizing Of SubMain Electrical Circuits (Working Examples) EEP Instrument Cable Resistance These cables are designed to connect electrical instrument circuits and provide communication services in and around process plants (e.g. Generally, instrument cable center conductors are in the range of 18 to 24 awg, with strands of 32 to 36 awg. Many american wire mills simply cannot. Instrumentation cables have many properties that enable them to be used reliably in harsh. Instrument Cable Resistance.
From www.baoliyy.com
shielded swa instrument cable pvc insulated 2 cores shielded control Instrument Cable Resistance Generally, instrument cable center conductors are in the range of 18 to 24 awg, with strands of 32 to 36 awg. For the transmission of data and control signals in harsh environments like oil, gas and petrochemical industries. Many american wire mills simply cannot. Instrumentation cables are used to transmit digital or analogue signals for measurement or process control applications. Instrument Cable Resistance.
From www.youtube.com
CABLE LENGTHS RESISTANCE and CSA for ELECTRICAL CABLES YouTube Instrument Cable Resistance Instrumentation cables are used to transmit digital or analogue signals for measurement or process control applications in fixed installation on. These cables are designed to connect electrical instrument circuits and provide communication services in and around process plants (e.g. For the transmission of data and control signals in harsh environments like oil, gas and petrochemical industries. Many american wire mills. Instrument Cable Resistance.
From aipucable.en.made-in-china.com
BMS Control and Instrumentation Flexible Fire Resistance Cables Multi Instrument Cable Resistance Many american wire mills simply cannot. Instrumentation cables are used to transmit digital or analogue signals for measurement or process control applications in fixed installation on. For the transmission of data and control signals in harsh environments like oil, gas and petrochemical industries. Instrumentation cables have many properties that enable them to be used reliably in harsh industrial environments, including. Instrument Cable Resistance.
From loewtryzb.blob.core.windows.net
How To Check Insulation Resistance Of Cable With Megger at Jessie Instrument Cable Resistance Many american wire mills simply cannot. Instrumentation cables have many properties that enable them to be used reliably in harsh industrial environments, including resistance to temperature. For the transmission of data and control signals in harsh environments like oil, gas and petrochemical industries. Instrumentation cables are used to transmit digital or analogue signals for measurement or process control applications in. Instrument Cable Resistance.
From www.whisperpumps.com
Understand Your Cable Resistance with our Comprehensive Chart Instrument Cable Resistance Instrumentation cables are used to transmit digital or analogue signals for measurement or process control applications in fixed installation on. Generally, instrument cable center conductors are in the range of 18 to 24 awg, with strands of 32 to 36 awg. Instrumentation cables have many properties that enable them to be used reliably in harsh industrial environments, including resistance to. Instrument Cable Resistance.
From www.youtube.com
Resistance of a Wire Formula Resistance of a Conductor Depends on Instrument Cable Resistance Instrumentation cables have many properties that enable them to be used reliably in harsh industrial environments, including resistance to temperature. Instrumentation cables are used to transmit digital or analogue signals for measurement or process control applications in fixed installation on. Generally, instrument cable center conductors are in the range of 18 to 24 awg, with strands of 32 to 36. Instrument Cable Resistance.
From emproticos.org
What You Need To Know About Instrumentation Cables Instrument Cable Resistance Many american wire mills simply cannot. Instrumentation cables have many properties that enable them to be used reliably in harsh industrial environments, including resistance to temperature. Instrumentation cables are used to transmit digital or analogue signals for measurement or process control applications in fixed installation on. These cables are designed to connect electrical instrument circuits and provide communication services in. Instrument Cable Resistance.
From www.eng-tips.com
30*C AC Wire Resistance Electric power & transmission & distribution Instrument Cable Resistance These cables are designed to connect electrical instrument circuits and provide communication services in and around process plants (e.g. Generally, instrument cable center conductors are in the range of 18 to 24 awg, with strands of 32 to 36 awg. Instrumentation cables are used to transmit digital or analogue signals for measurement or process control applications in fixed installation on.. Instrument Cable Resistance.
From wiki.testguy.net
Power Cable Testing and Diagnostics Overview Articles TestGuy Instrument Cable Resistance Many american wire mills simply cannot. Instrumentation cables have many properties that enable them to be used reliably in harsh industrial environments, including resistance to temperature. These cables are designed to connect electrical instrument circuits and provide communication services in and around process plants (e.g. Generally, instrument cable center conductors are in the range of 18 to 24 awg, with. Instrument Cable Resistance.
From www.adminstrumentengineering.com.au
Running 420mA Loops over Long Distances ADM Instrument Engineering Instrument Cable Resistance Instrumentation cables are used to transmit digital or analogue signals for measurement or process control applications in fixed installation on. Many american wire mills simply cannot. Instrumentation cables have many properties that enable them to be used reliably in harsh industrial environments, including resistance to temperature. Generally, instrument cable center conductors are in the range of 18 to 24 awg,. Instrument Cable Resistance.
From eacove.blogspot.com
cable resistance table bs7671 eacove Instrument Cable Resistance Generally, instrument cable center conductors are in the range of 18 to 24 awg, with strands of 32 to 36 awg. These cables are designed to connect electrical instrument circuits and provide communication services in and around process plants (e.g. For the transmission of data and control signals in harsh environments like oil, gas and petrochemical industries. Many american wire. Instrument Cable Resistance.
From deekayelectricals.com
Polycab Instrumentation Cable Deekay Electricals Instrument Cable Resistance For the transmission of data and control signals in harsh environments like oil, gas and petrochemical industries. Instrumentation cables have many properties that enable them to be used reliably in harsh industrial environments, including resistance to temperature. These cables are designed to connect electrical instrument circuits and provide communication services in and around process plants (e.g. Many american wire mills. Instrument Cable Resistance.
From www.youtube.com
How Calculate Resistance of Wire ? YouTube Instrument Cable Resistance Instrumentation cables are used to transmit digital or analogue signals for measurement or process control applications in fixed installation on. For the transmission of data and control signals in harsh environments like oil, gas and petrochemical industries. Many american wire mills simply cannot. These cables are designed to connect electrical instrument circuits and provide communication services in and around process. Instrument Cable Resistance.
From longtermcable-99.en.made-in-china.com
High Temperature Resistance Shielded Cable Electric Computer Instrument Instrument Cable Resistance For the transmission of data and control signals in harsh environments like oil, gas and petrochemical industries. Instrumentation cables have many properties that enable them to be used reliably in harsh industrial environments, including resistance to temperature. Many american wire mills simply cannot. Generally, instrument cable center conductors are in the range of 18 to 24 awg, with strands of. Instrument Cable Resistance.
From www.chinacablesbuy.com
Cable Shielding of Shielded Twisted Pair Instrument Cable Resistance These cables are designed to connect electrical instrument circuits and provide communication services in and around process plants (e.g. Many american wire mills simply cannot. Generally, instrument cable center conductors are in the range of 18 to 24 awg, with strands of 32 to 36 awg. Instrumentation cables are used to transmit digital or analogue signals for measurement or process. Instrument Cable Resistance.
From automationforum.co
cable1 Instrumentation and Control Engineering Instrument Cable Resistance Instrumentation cables are used to transmit digital or analogue signals for measurement or process control applications in fixed installation on. Instrumentation cables have many properties that enable them to be used reliably in harsh industrial environments, including resistance to temperature. Generally, instrument cable center conductors are in the range of 18 to 24 awg, with strands of 32 to 36. Instrument Cable Resistance.
From electrical-engineering-portal.com
Cable sizing of submain electrical circuits (working examples) EEP Instrument Cable Resistance Instrumentation cables are used to transmit digital or analogue signals for measurement or process control applications in fixed installation on. These cables are designed to connect electrical instrument circuits and provide communication services in and around process plants (e.g. Generally, instrument cable center conductors are in the range of 18 to 24 awg, with strands of 32 to 36 awg.. Instrument Cable Resistance.
From ssubstation.blogspot.com
Substation Blog Low Voltage and High Voltage Cable Testing Instrument Cable Resistance Generally, instrument cable center conductors are in the range of 18 to 24 awg, with strands of 32 to 36 awg. Many american wire mills simply cannot. Instrumentation cables have many properties that enable them to be used reliably in harsh industrial environments, including resistance to temperature. Instrumentation cables are used to transmit digital or analogue signals for measurement or. Instrument Cable Resistance.