Expected Number Of Rolls To Get Three 6S . This approach can be generalized to an arbitrary. Use this dice odds calculator to easily calculate any type of dice roll probability: It's just two sequential sets of rolls to get a single six. What is the expected number of times we need to roll a die until we get two consecutive 6's? There is a trick that is very helpful in cases like these, when you have a process that stops when something specific happens, and. It's expected that we'll take, on average, six rolls to get the first six, then another six from that point to get the second six. Sum of two dice, sum of multiple dice, getting a value greater than or less than on a given throw of n dice, and so. Thus, the expected number of rolls to land \(2\) consecutive \(6\) ’s is \(42\). The expected value is $6.$ this means that if you performed the experiment a hundred times and added all the rolls from each experiment together you should get around. By definition, it is $\sum_{i=1}^\infty i\cdot.
from exofbajma.blob.core.windows.net
Use this dice odds calculator to easily calculate any type of dice roll probability: The expected value is $6.$ this means that if you performed the experiment a hundred times and added all the rolls from each experiment together you should get around. Sum of two dice, sum of multiple dice, getting a value greater than or less than on a given throw of n dice, and so. What is the expected number of times we need to roll a die until we get two consecutive 6's? It's expected that we'll take, on average, six rolls to get the first six, then another six from that point to get the second six. By definition, it is $\sum_{i=1}^\infty i\cdot. This approach can be generalized to an arbitrary. Thus, the expected number of rolls to land \(2\) consecutive \(6\) ’s is \(42\). There is a trick that is very helpful in cases like these, when you have a process that stops when something specific happens, and. It's just two sequential sets of rolls to get a single six.
The Expected Number Of Rolls Until All Six Faces Appear at Benjamin
Expected Number Of Rolls To Get Three 6S By definition, it is $\sum_{i=1}^\infty i\cdot. This approach can be generalized to an arbitrary. Use this dice odds calculator to easily calculate any type of dice roll probability: It's just two sequential sets of rolls to get a single six. It's expected that we'll take, on average, six rolls to get the first six, then another six from that point to get the second six. The expected value is $6.$ this means that if you performed the experiment a hundred times and added all the rolls from each experiment together you should get around. There is a trick that is very helpful in cases like these, when you have a process that stops when something specific happens, and. By definition, it is $\sum_{i=1}^\infty i\cdot. What is the expected number of times we need to roll a die until we get two consecutive 6's? Thus, the expected number of rolls to land \(2\) consecutive \(6\) ’s is \(42\). Sum of two dice, sum of multiple dice, getting a value greater than or less than on a given throw of n dice, and so.
From kaidesnhsweeney.blogspot.com
Probability of Rolling a 6 Three Times in a Row Expected Number Of Rolls To Get Three 6S The expected value is $6.$ this means that if you performed the experiment a hundred times and added all the rolls from each experiment together you should get around. It's expected that we'll take, on average, six rolls to get the first six, then another six from that point to get the second six. It's just two sequential sets of. Expected Number Of Rolls To Get Three 6S.
From online.visual-paradigm.com
6S Method 6S Template Expected Number Of Rolls To Get Three 6S By definition, it is $\sum_{i=1}^\infty i\cdot. It's just two sequential sets of rolls to get a single six. The expected value is $6.$ this means that if you performed the experiment a hundred times and added all the rolls from each experiment together you should get around. Use this dice odds calculator to easily calculate any type of dice roll. Expected Number Of Rolls To Get Three 6S.
From www.numerade.com
SOLVED Determine the probability distribution for the given experiment Expected Number Of Rolls To Get Three 6S What is the expected number of times we need to roll a die until we get two consecutive 6's? There is a trick that is very helpful in cases like these, when you have a process that stops when something specific happens, and. It's expected that we'll take, on average, six rolls to get the first six, then another six. Expected Number Of Rolls To Get Three 6S.
From kaidesnhsweeney.blogspot.com
Probability of Rolling a 6 Three Times in a Row Expected Number Of Rolls To Get Three 6S The expected value is $6.$ this means that if you performed the experiment a hundred times and added all the rolls from each experiment together you should get around. This approach can be generalized to an arbitrary. Sum of two dice, sum of multiple dice, getting a value greater than or less than on a given throw of n dice,. Expected Number Of Rolls To Get Three 6S.
From hxejnqsmq.blob.core.windows.net
Expected Value Of 3 Dice Rolls at Lydia Parrish blog Expected Number Of Rolls To Get Three 6S It's expected that we'll take, on average, six rolls to get the first six, then another six from that point to get the second six. Thus, the expected number of rolls to land \(2\) consecutive \(6\) ’s is \(42\). The expected value is $6.$ this means that if you performed the experiment a hundred times and added all the rolls. Expected Number Of Rolls To Get Three 6S.
From math.stackexchange.com
combinatorics A fair die is rolled five times. Mathematics Stack Expected Number Of Rolls To Get Three 6S By definition, it is $\sum_{i=1}^\infty i\cdot. It's expected that we'll take, on average, six rolls to get the first six, then another six from that point to get the second six. It's just two sequential sets of rolls to get a single six. There is a trick that is very helpful in cases like these, when you have a process. Expected Number Of Rolls To Get Three 6S.
From www.youtube.com
What's the chance of getting three sixes with three dice? The chance of Expected Number Of Rolls To Get Three 6S The expected value is $6.$ this means that if you performed the experiment a hundred times and added all the rolls from each experiment together you should get around. It's just two sequential sets of rolls to get a single six. Sum of two dice, sum of multiple dice, getting a value greater than or less than on a given. Expected Number Of Rolls To Get Three 6S.
From www.numerade.com
SOLVED Exercise 4.41. We roll die 72 times Approximate the probability Expected Number Of Rolls To Get Three 6S Thus, the expected number of rolls to land \(2\) consecutive \(6\) ’s is \(42\). It's just two sequential sets of rolls to get a single six. This approach can be generalized to an arbitrary. It's expected that we'll take, on average, six rolls to get the first six, then another six from that point to get the second six. Sum. Expected Number Of Rolls To Get Three 6S.
From www.numerade.com
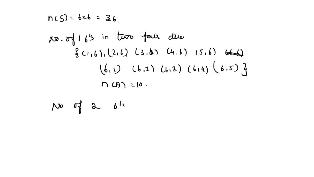
SOLVED Suppose you roll a pair of standard 6sided dice until you get Expected Number Of Rolls To Get Three 6S This approach can be generalized to an arbitrary. It's expected that we'll take, on average, six rolls to get the first six, then another six from that point to get the second six. The expected value is $6.$ this means that if you performed the experiment a hundred times and added all the rolls from each experiment together you should. Expected Number Of Rolls To Get Three 6S.
From giofmurun.blob.core.windows.net
Average Number Of Rolls To Get A 6 at John Barner blog Expected Number Of Rolls To Get Three 6S Use this dice odds calculator to easily calculate any type of dice roll probability: It's just two sequential sets of rolls to get a single six. This approach can be generalized to an arbitrary. Sum of two dice, sum of multiple dice, getting a value greater than or less than on a given throw of n dice, and so. It's. Expected Number Of Rolls To Get Three 6S.
From exofbajma.blob.core.windows.net
The Expected Number Of Rolls Until All Six Faces Appear at Benjamin Expected Number Of Rolls To Get Three 6S Thus, the expected number of rolls to land \(2\) consecutive \(6\) ’s is \(42\). It's expected that we'll take, on average, six rolls to get the first six, then another six from that point to get the second six. Sum of two dice, sum of multiple dice, getting a value greater than or less than on a given throw of. Expected Number Of Rolls To Get Three 6S.
From www.numerade.com
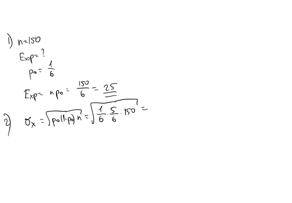
SOLVED 1) Find what the expected number of “6” is for a 150roll trial Expected Number Of Rolls To Get Three 6S This approach can be generalized to an arbitrary. It's just two sequential sets of rolls to get a single six. Use this dice odds calculator to easily calculate any type of dice roll probability: Thus, the expected number of rolls to land \(2\) consecutive \(6\) ’s is \(42\). There is a trick that is very helpful in cases like these,. Expected Number Of Rolls To Get Three 6S.
From www.chegg.com
Solved (20 points) Roll a fair sixsided die repeatedly Expected Number Of Rolls To Get Three 6S Use this dice odds calculator to easily calculate any type of dice roll probability: This approach can be generalized to an arbitrary. What is the expected number of times we need to roll a die until we get two consecutive 6's? By definition, it is $\sum_{i=1}^\infty i\cdot. Sum of two dice, sum of multiple dice, getting a value greater than. Expected Number Of Rolls To Get Three 6S.
From www.youtube.com
What is the expected number of rolls needed to see all 6 sides of a Expected Number Of Rolls To Get Three 6S What is the expected number of times we need to roll a die until we get two consecutive 6's? There is a trick that is very helpful in cases like these, when you have a process that stops when something specific happens, and. By definition, it is $\sum_{i=1}^\infty i\cdot. Use this dice odds calculator to easily calculate any type of. Expected Number Of Rolls To Get Three 6S.
From www.numerade.com
SOLVED Exercise 4.41. We roll a die 72 times. Approximate the Expected Number Of Rolls To Get Three 6S Thus, the expected number of rolls to land \(2\) consecutive \(6\) ’s is \(42\). It's expected that we'll take, on average, six rolls to get the first six, then another six from that point to get the second six. There is a trick that is very helpful in cases like these, when you have a process that stops when something. Expected Number Of Rolls To Get Three 6S.
From www.youtube.com
Probability Interview Questions Part2/2 Expected Dice Rolls to get 2 Expected Number Of Rolls To Get Three 6S By definition, it is $\sum_{i=1}^\infty i\cdot. The expected value is $6.$ this means that if you performed the experiment a hundred times and added all the rolls from each experiment together you should get around. Sum of two dice, sum of multiple dice, getting a value greater than or less than on a given throw of n dice, and so.. Expected Number Of Rolls To Get Three 6S.
From www.chegg.com
We roll a standard fair die over and over. What is Expected Number Of Rolls To Get Three 6S The expected value is $6.$ this means that if you performed the experiment a hundred times and added all the rolls from each experiment together you should get around. It's just two sequential sets of rolls to get a single six. What is the expected number of times we need to roll a die until we get two consecutive 6's?. Expected Number Of Rolls To Get Three 6S.
From www.numerade.com
SOLVED We roll a fair dice until there are three consecutive 2's. What Expected Number Of Rolls To Get Three 6S Sum of two dice, sum of multiple dice, getting a value greater than or less than on a given throw of n dice, and so. By definition, it is $\sum_{i=1}^\infty i\cdot. What is the expected number of times we need to roll a die until we get two consecutive 6's? The expected value is $6.$ this means that if you. Expected Number Of Rolls To Get Three 6S.
From www.gauthmath.com
Solved The table shows the of rolling two number cubes at the Expected Number Of Rolls To Get Three 6S Use this dice odds calculator to easily calculate any type of dice roll probability: It's just two sequential sets of rolls to get a single six. The expected value is $6.$ this means that if you performed the experiment a hundred times and added all the rolls from each experiment together you should get around. Thus, the expected number of. Expected Number Of Rolls To Get Three 6S.
From www.numerade.com
SOLVED A person rolls a standard sixsided die 8 times. In how many Expected Number Of Rolls To Get Three 6S It's just two sequential sets of rolls to get a single six. There is a trick that is very helpful in cases like these, when you have a process that stops when something specific happens, and. Thus, the expected number of rolls to land \(2\) consecutive \(6\) ’s is \(42\). Sum of two dice, sum of multiple dice, getting a. Expected Number Of Rolls To Get Three 6S.
From www.gauthmath.com
Solved A biased dice was rolled and the scores recorded in the table Expected Number Of Rolls To Get Three 6S It's just two sequential sets of rolls to get a single six. This approach can be generalized to an arbitrary. What is the expected number of times we need to roll a die until we get two consecutive 6's? Sum of two dice, sum of multiple dice, getting a value greater than or less than on a given throw of. Expected Number Of Rolls To Get Three 6S.
From www.chegg.com
Solved A die is rolled 11 times. Find the probability of Expected Number Of Rolls To Get Three 6S By definition, it is $\sum_{i=1}^\infty i\cdot. Thus, the expected number of rolls to land \(2\) consecutive \(6\) ’s is \(42\). There is a trick that is very helpful in cases like these, when you have a process that stops when something specific happens, and. It's expected that we'll take, on average, six rolls to get the first six, then another. Expected Number Of Rolls To Get Three 6S.
From www.numerade.com
SOLVED Shomee is rolling a die repeatedly. What is the probability Expected Number Of Rolls To Get Three 6S Thus, the expected number of rolls to land \(2\) consecutive \(6\) ’s is \(42\). Use this dice odds calculator to easily calculate any type of dice roll probability: What is the expected number of times we need to roll a die until we get two consecutive 6's? This approach can be generalized to an arbitrary. Sum of two dice, sum. Expected Number Of Rolls To Get Three 6S.
From www.researchgate.net
(PDF) Expected Number of Dice Rolls Until an Increasing Run of Three Expected Number Of Rolls To Get Three 6S It's just two sequential sets of rolls to get a single six. Use this dice odds calculator to easily calculate any type of dice roll probability: What is the expected number of times we need to roll a die until we get two consecutive 6's? Thus, the expected number of rolls to land \(2\) consecutive \(6\) ’s is \(42\). This. Expected Number Of Rolls To Get Three 6S.
From www.numerade.com
SOLVED (10 points) sixsided die is rolled continually until two Expected Number Of Rolls To Get Three 6S Thus, the expected number of rolls to land \(2\) consecutive \(6\) ’s is \(42\). What is the expected number of times we need to roll a die until we get two consecutive 6's? Sum of two dice, sum of multiple dice, getting a value greater than or less than on a given throw of n dice, and so. It's expected. Expected Number Of Rolls To Get Three 6S.
From www.bartleby.com
Answered Calculate the average number of rolls… bartleby Expected Number Of Rolls To Get Three 6S By definition, it is $\sum_{i=1}^\infty i\cdot. Use this dice odds calculator to easily calculate any type of dice roll probability: It's expected that we'll take, on average, six rolls to get the first six, then another six from that point to get the second six. What is the expected number of times we need to roll a die until we. Expected Number Of Rolls To Get Three 6S.
From exofbajma.blob.core.windows.net
The Expected Number Of Rolls Until All Six Faces Appear at Benjamin Expected Number Of Rolls To Get Three 6S It's expected that we'll take, on average, six rolls to get the first six, then another six from that point to get the second six. The expected value is $6.$ this means that if you performed the experiment a hundred times and added all the rolls from each experiment together you should get around. What is the expected number of. Expected Number Of Rolls To Get Three 6S.
From slideplayer.com
Unit 6 Random Variables. ppt download Expected Number Of Rolls To Get Three 6S By definition, it is $\sum_{i=1}^\infty i\cdot. There is a trick that is very helpful in cases like these, when you have a process that stops when something specific happens, and. Sum of two dice, sum of multiple dice, getting a value greater than or less than on a given throw of n dice, and so. Thus, the expected number of. Expected Number Of Rolls To Get Three 6S.
From www.mounthnails.com
Dice Average Calculator An Indepth Guide to Calculating Dice Expected Number Of Rolls To Get Three 6S It's just two sequential sets of rolls to get a single six. By definition, it is $\sum_{i=1}^\infty i\cdot. The expected value is $6.$ this means that if you performed the experiment a hundred times and added all the rolls from each experiment together you should get around. What is the expected number of times we need to roll a die. Expected Number Of Rolls To Get Three 6S.
From giofmurun.blob.core.windows.net
Average Number Of Rolls To Get A 6 at John Barner blog Expected Number Of Rolls To Get Three 6S The expected value is $6.$ this means that if you performed the experiment a hundred times and added all the rolls from each experiment together you should get around. By definition, it is $\sum_{i=1}^\infty i\cdot. Thus, the expected number of rolls to land \(2\) consecutive \(6\) ’s is \(42\). Sum of two dice, sum of multiple dice, getting a value. Expected Number Of Rolls To Get Three 6S.
From slideplayer.com
The Language of Statistical Decision Making ppt download Expected Number Of Rolls To Get Three 6S Use this dice odds calculator to easily calculate any type of dice roll probability: Thus, the expected number of rolls to land \(2\) consecutive \(6\) ’s is \(42\). This approach can be generalized to an arbitrary. The expected value is $6.$ this means that if you performed the experiment a hundred times and added all the rolls from each experiment. Expected Number Of Rolls To Get Three 6S.
From exofbajma.blob.core.windows.net
The Expected Number Of Rolls Until All Six Faces Appear at Benjamin Expected Number Of Rolls To Get Three 6S Sum of two dice, sum of multiple dice, getting a value greater than or less than on a given throw of n dice, and so. It's just two sequential sets of rolls to get a single six. This approach can be generalized to an arbitrary. The expected value is $6.$ this means that if you performed the experiment a hundred. Expected Number Of Rolls To Get Three 6S.
From www.youtube.com
Find the expected number of rolls of the dice YouTube Expected Number Of Rolls To Get Three 6S Sum of two dice, sum of multiple dice, getting a value greater than or less than on a given throw of n dice, and so. It's expected that we'll take, on average, six rolls to get the first six, then another six from that point to get the second six. Thus, the expected number of rolls to land \(2\) consecutive. Expected Number Of Rolls To Get Three 6S.
From exofbajma.blob.core.windows.net
The Expected Number Of Rolls Until All Six Faces Appear at Benjamin Expected Number Of Rolls To Get Three 6S By definition, it is $\sum_{i=1}^\infty i\cdot. The expected value is $6.$ this means that if you performed the experiment a hundred times and added all the rolls from each experiment together you should get around. Thus, the expected number of rolls to land \(2\) consecutive \(6\) ’s is \(42\). There is a trick that is very helpful in cases like. Expected Number Of Rolls To Get Three 6S.
From exofbajma.blob.core.windows.net
The Expected Number Of Rolls Until All Six Faces Appear at Benjamin Expected Number Of Rolls To Get Three 6S It's expected that we'll take, on average, six rolls to get the first six, then another six from that point to get the second six. There is a trick that is very helpful in cases like these, when you have a process that stops when something specific happens, and. What is the expected number of times we need to roll. Expected Number Of Rolls To Get Three 6S.