Electrochemical Cell Notation Calculator . An electrochemical cell can be succinctly represented using cell notation, which outlines the redox reaction without the need for elaborate. We use a vertical slash (|) to identify a boundary between two phases where a potential develops, and a comma (,) to separate species in the same phase or to identify a. In cell notation you start with the anode on the left, and write. Cell notation is a shorthand way for describing an electrochemical cell. Cell emf calculator helps you calculate the electromotive force of an electrochemical cell. A more useful way to describe an electrochemical cell is a shorthand notation that uses symbols to identify different phases and that lists the composition of each phase. The nernst equation calculator applies the fundamental electrochemistry equation to find the reduction potential in a cell reaction.
from www.chegg.com
In cell notation you start with the anode on the left, and write. We use a vertical slash (|) to identify a boundary between two phases where a potential develops, and a comma (,) to separate species in the same phase or to identify a. Cell notation is a shorthand way for describing an electrochemical cell. A more useful way to describe an electrochemical cell is a shorthand notation that uses symbols to identify different phases and that lists the composition of each phase. An electrochemical cell can be succinctly represented using cell notation, which outlines the redox reaction without the need for elaborate. Cell emf calculator helps you calculate the electromotive force of an electrochemical cell. The nernst equation calculator applies the fundamental electrochemistry equation to find the reduction potential in a cell reaction.
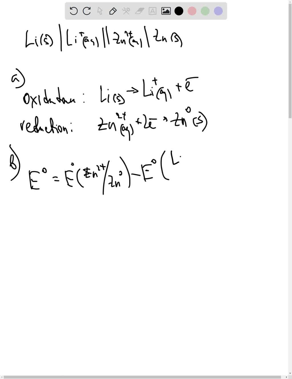
Solved 4 calculate the standard emf E° of an electrochemical
Electrochemical Cell Notation Calculator We use a vertical slash (|) to identify a boundary between two phases where a potential develops, and a comma (,) to separate species in the same phase or to identify a. In cell notation you start with the anode on the left, and write. An electrochemical cell can be succinctly represented using cell notation, which outlines the redox reaction without the need for elaborate. Cell emf calculator helps you calculate the electromotive force of an electrochemical cell. The nernst equation calculator applies the fundamental electrochemistry equation to find the reduction potential in a cell reaction. A more useful way to describe an electrochemical cell is a shorthand notation that uses symbols to identify different phases and that lists the composition of each phase. Cell notation is a shorthand way for describing an electrochemical cell. We use a vertical slash (|) to identify a boundary between two phases where a potential develops, and a comma (,) to separate species in the same phase or to identify a.
From www.numerade.com
SOLVED Write the correct electrochemical cell notation for the Electrochemical Cell Notation Calculator In cell notation you start with the anode on the left, and write. An electrochemical cell can be succinctly represented using cell notation, which outlines the redox reaction without the need for elaborate. Cell notation is a shorthand way for describing an electrochemical cell. The nernst equation calculator applies the fundamental electrochemistry equation to find the reduction potential in a. Electrochemical Cell Notation Calculator.
From www.youtube.com
Electrochemical Cell Notation YouTube Electrochemical Cell Notation Calculator An electrochemical cell can be succinctly represented using cell notation, which outlines the redox reaction without the need for elaborate. The nernst equation calculator applies the fundamental electrochemistry equation to find the reduction potential in a cell reaction. A more useful way to describe an electrochemical cell is a shorthand notation that uses symbols to identify different phases and that. Electrochemical Cell Notation Calculator.
From www.chegg.com
Solved An electrochemical cell with the given line notation Electrochemical Cell Notation Calculator Cell notation is a shorthand way for describing an electrochemical cell. The nernst equation calculator applies the fundamental electrochemistry equation to find the reduction potential in a cell reaction. A more useful way to describe an electrochemical cell is a shorthand notation that uses symbols to identify different phases and that lists the composition of each phase. An electrochemical cell. Electrochemical Cell Notation Calculator.
From wisc.pb.unizin.org
D40.2 Cell Notation Chemistry 109 Fall 2021 Electrochemical Cell Notation Calculator A more useful way to describe an electrochemical cell is a shorthand notation that uses symbols to identify different phases and that lists the composition of each phase. An electrochemical cell can be succinctly represented using cell notation, which outlines the redox reaction without the need for elaborate. Cell notation is a shorthand way for describing an electrochemical cell. In. Electrochemical Cell Notation Calculator.
From dokumen.tips
(PDF) Overview of an Electrochemical Process at Constant and Electrochemical Cell Notation Calculator A more useful way to describe an electrochemical cell is a shorthand notation that uses symbols to identify different phases and that lists the composition of each phase. Cell notation is a shorthand way for describing an electrochemical cell. We use a vertical slash (|) to identify a boundary between two phases where a potential develops, and a comma (,). Electrochemical Cell Notation Calculator.
From www.pearson.com
An electrochemical is depicted with the cell notation Cu Cu2 Electrochemical Cell Notation Calculator Cell notation is a shorthand way for describing an electrochemical cell. A more useful way to describe an electrochemical cell is a shorthand notation that uses symbols to identify different phases and that lists the composition of each phase. An electrochemical cell can be succinctly represented using cell notation, which outlines the redox reaction without the need for elaborate. The. Electrochemical Cell Notation Calculator.
From www.slideserve.com
PPT ELECTROCHEMISTRY Chapter 21 PowerPoint Presentation, free Electrochemical Cell Notation Calculator Cell emf calculator helps you calculate the electromotive force of an electrochemical cell. In cell notation you start with the anode on the left, and write. An electrochemical cell can be succinctly represented using cell notation, which outlines the redox reaction without the need for elaborate. The nernst equation calculator applies the fundamental electrochemistry equation to find the reduction potential. Electrochemical Cell Notation Calculator.
From www.nagwa.com
Question Video Identifying What the Double Vertical Line in Cell Electrochemical Cell Notation Calculator A more useful way to describe an electrochemical cell is a shorthand notation that uses symbols to identify different phases and that lists the composition of each phase. An electrochemical cell can be succinctly represented using cell notation, which outlines the redox reaction without the need for elaborate. We use a vertical slash (|) to identify a boundary between two. Electrochemical Cell Notation Calculator.
From www.coursehero.com
[Solved] Write the cell notation for an electrochemical cell consisting Electrochemical Cell Notation Calculator The nernst equation calculator applies the fundamental electrochemistry equation to find the reduction potential in a cell reaction. We use a vertical slash (|) to identify a boundary between two phases where a potential develops, and a comma (,) to separate species in the same phase or to identify a. A more useful way to describe an electrochemical cell is. Electrochemical Cell Notation Calculator.
From www.studypool.com
SOLUTION Electrochemical cells / cell notation Studypool Electrochemical Cell Notation Calculator In cell notation you start with the anode on the left, and write. An electrochemical cell can be succinctly represented using cell notation, which outlines the redox reaction without the need for elaborate. A more useful way to describe an electrochemical cell is a shorthand notation that uses symbols to identify different phases and that lists the composition of each. Electrochemical Cell Notation Calculator.
From www.youtube.com
Electrochemistry 04 Writing Electrochemical Cell Notation YouTube Electrochemical Cell Notation Calculator We use a vertical slash (|) to identify a boundary between two phases where a potential develops, and a comma (,) to separate species in the same phase or to identify a. Cell emf calculator helps you calculate the electromotive force of an electrochemical cell. The nernst equation calculator applies the fundamental electrochemistry equation to find the reduction potential in. Electrochemical Cell Notation Calculator.
From www.numerade.com
SOLVED Write the cell notation for an electrochemical cell consisting Electrochemical Cell Notation Calculator Cell notation is a shorthand way for describing an electrochemical cell. The nernst equation calculator applies the fundamental electrochemistry equation to find the reduction potential in a cell reaction. In cell notation you start with the anode on the left, and write. We use a vertical slash (|) to identify a boundary between two phases where a potential develops, and. Electrochemical Cell Notation Calculator.
From studylib.net
cell notation Electrochemical Cell Notation Calculator A more useful way to describe an electrochemical cell is a shorthand notation that uses symbols to identify different phases and that lists the composition of each phase. Cell notation is a shorthand way for describing an electrochemical cell. Cell emf calculator helps you calculate the electromotive force of an electrochemical cell. An electrochemical cell can be succinctly represented using. Electrochemical Cell Notation Calculator.
From general.chemistrysteps.com
Galvanic Cells Chemistry Steps Electrochemical Cell Notation Calculator A more useful way to describe an electrochemical cell is a shorthand notation that uses symbols to identify different phases and that lists the composition of each phase. The nernst equation calculator applies the fundamental electrochemistry equation to find the reduction potential in a cell reaction. Cell notation is a shorthand way for describing an electrochemical cell. In cell notation. Electrochemical Cell Notation Calculator.
From in.pinterest.com
What is Electrochemical Cell Notation Line notation Cell Diagram Electrochemical Cell Notation Calculator An electrochemical cell can be succinctly represented using cell notation, which outlines the redox reaction without the need for elaborate. In cell notation you start with the anode on the left, and write. A more useful way to describe an electrochemical cell is a shorthand notation that uses symbols to identify different phases and that lists the composition of each. Electrochemical Cell Notation Calculator.
From www.coursehero.com
[Solved] The shorthand notation for an electrochemical cell is given Electrochemical Cell Notation Calculator Cell notation is a shorthand way for describing an electrochemical cell. The nernst equation calculator applies the fundamental electrochemistry equation to find the reduction potential in a cell reaction. We use a vertical slash (|) to identify a boundary between two phases where a potential develops, and a comma (,) to separate species in the same phase or to identify. Electrochemical Cell Notation Calculator.
From www.studypool.com
SOLUTION Electrochemical cells / cell notation Studypool Electrochemical Cell Notation Calculator An electrochemical cell can be succinctly represented using cell notation, which outlines the redox reaction without the need for elaborate. In cell notation you start with the anode on the left, and write. Cell notation is a shorthand way for describing an electrochemical cell. Cell emf calculator helps you calculate the electromotive force of an electrochemical cell. The nernst equation. Electrochemical Cell Notation Calculator.
From www.numerade.com
SOLVED For the following electrochemical cell written in Electrochemical Cell Notation Calculator We use a vertical slash (|) to identify a boundary between two phases where a potential develops, and a comma (,) to separate species in the same phase or to identify a. Cell emf calculator helps you calculate the electromotive force of an electrochemical cell. An electrochemical cell can be succinctly represented using cell notation, which outlines the redox reaction. Electrochemical Cell Notation Calculator.
From www.aiophotoz.com
What Is Electrochemical Cell Notation Line Notation Cell Diagram Electrochemical Cell Notation Calculator Cell emf calculator helps you calculate the electromotive force of an electrochemical cell. Cell notation is a shorthand way for describing an electrochemical cell. We use a vertical slash (|) to identify a boundary between two phases where a potential develops, and a comma (,) to separate species in the same phase or to identify a. An electrochemical cell can. Electrochemical Cell Notation Calculator.
From www.studypool.com
SOLUTION Electrochemical cells / cell notation Studypool Electrochemical Cell Notation Calculator A more useful way to describe an electrochemical cell is a shorthand notation that uses symbols to identify different phases and that lists the composition of each phase. An electrochemical cell can be succinctly represented using cell notation, which outlines the redox reaction without the need for elaborate. The nernst equation calculator applies the fundamental electrochemistry equation to find the. Electrochemical Cell Notation Calculator.
From www.numerade.com
SOLVED Use line notation to represent each electrochemical cell in Electrochemical Cell Notation Calculator Cell notation is a shorthand way for describing an electrochemical cell. In cell notation you start with the anode on the left, and write. A more useful way to describe an electrochemical cell is a shorthand notation that uses symbols to identify different phases and that lists the composition of each phase. We use a vertical slash (|) to identify. Electrochemical Cell Notation Calculator.
From www.youtube.com
Explain how to write the cell notation for reactions in electrochemical Electrochemical Cell Notation Calculator The nernst equation calculator applies the fundamental electrochemistry equation to find the reduction potential in a cell reaction. A more useful way to describe an electrochemical cell is a shorthand notation that uses symbols to identify different phases and that lists the composition of each phase. An electrochemical cell can be succinctly represented using cell notation, which outlines the redox. Electrochemical Cell Notation Calculator.
From schoolbag.info
Electrochemical Cells Electrochemistry Training MCAT General Electrochemical Cell Notation Calculator We use a vertical slash (|) to identify a boundary between two phases where a potential develops, and a comma (,) to separate species in the same phase or to identify a. A more useful way to describe an electrochemical cell is a shorthand notation that uses symbols to identify different phases and that lists the composition of each phase.. Electrochemical Cell Notation Calculator.
From mmerevise.co.uk
Calculating the EMF Electrochemical Cell Notation Calculator A more useful way to describe an electrochemical cell is a shorthand notation that uses symbols to identify different phases and that lists the composition of each phase. The nernst equation calculator applies the fundamental electrochemistry equation to find the reduction potential in a cell reaction. Cell emf calculator helps you calculate the electromotive force of an electrochemical cell. An. Electrochemical Cell Notation Calculator.
From school.careers360.com
Electrochemical Cell Overview, Structure, Properties & Uses Electrochemical Cell Notation Calculator An electrochemical cell can be succinctly represented using cell notation, which outlines the redox reaction without the need for elaborate. Cell notation is a shorthand way for describing an electrochemical cell. In cell notation you start with the anode on the left, and write. We use a vertical slash (|) to identify a boundary between two phases where a potential. Electrochemical Cell Notation Calculator.
From www.youtube.com
Cell Notation Practice Problems, Voltaic Cells Electrochemistry YouTube Electrochemical Cell Notation Calculator In cell notation you start with the anode on the left, and write. An electrochemical cell can be succinctly represented using cell notation, which outlines the redox reaction without the need for elaborate. The nernst equation calculator applies the fundamental electrochemistry equation to find the reduction potential in a cell reaction. Cell emf calculator helps you calculate the electromotive force. Electrochemical Cell Notation Calculator.
From www.youtube.com
Cell notation, Cell representation Electrochemical cell Electrochemical Cell Notation Calculator We use a vertical slash (|) to identify a boundary between two phases where a potential develops, and a comma (,) to separate species in the same phase or to identify a. In cell notation you start with the anode on the left, and write. Cell notation is a shorthand way for describing an electrochemical cell. An electrochemical cell can. Electrochemical Cell Notation Calculator.
From www.youtube.com
Calculating the Cell Potential of Electrochemical Cells. (Adv Chem Ch Electrochemical Cell Notation Calculator Cell notation is a shorthand way for describing an electrochemical cell. In cell notation you start with the anode on the left, and write. A more useful way to describe an electrochemical cell is a shorthand notation that uses symbols to identify different phases and that lists the composition of each phase. An electrochemical cell can be succinctly represented using. Electrochemical Cell Notation Calculator.
From www.chemicals.co.uk
A Level Chemistry Electrodes & Electrochemical Cells Electrochemical Cell Notation Calculator The nernst equation calculator applies the fundamental electrochemistry equation to find the reduction potential in a cell reaction. A more useful way to describe an electrochemical cell is a shorthand notation that uses symbols to identify different phases and that lists the composition of each phase. An electrochemical cell can be succinctly represented using cell notation, which outlines the redox. Electrochemical Cell Notation Calculator.
From www.chegg.com
Solved 4 calculate the standard emf E° of an electrochemical Electrochemical Cell Notation Calculator An electrochemical cell can be succinctly represented using cell notation, which outlines the redox reaction without the need for elaborate. We use a vertical slash (|) to identify a boundary between two phases where a potential develops, and a comma (,) to separate species in the same phase or to identify a. In cell notation you start with the anode. Electrochemical Cell Notation Calculator.
From worksheetlibstrains.z14.web.core.windows.net
Consider The Following Electrochemical Cell Electrochemical Cell Notation Calculator Cell notation is a shorthand way for describing an electrochemical cell. Cell emf calculator helps you calculate the electromotive force of an electrochemical cell. In cell notation you start with the anode on the left, and write. We use a vertical slash (|) to identify a boundary between two phases where a potential develops, and a comma (,) to separate. Electrochemical Cell Notation Calculator.
From www.showme.com
Electrochemical cell notation Science, Chemistry ShowMe Electrochemical Cell Notation Calculator Cell emf calculator helps you calculate the electromotive force of an electrochemical cell. We use a vertical slash (|) to identify a boundary between two phases where a potential develops, and a comma (,) to separate species in the same phase or to identify a. Cell notation is a shorthand way for describing an electrochemical cell. In cell notation you. Electrochemical Cell Notation Calculator.
From www.studypool.com
SOLUTION Electrochemical cells / cell notation Studypool Electrochemical Cell Notation Calculator Cell emf calculator helps you calculate the electromotive force of an electrochemical cell. A more useful way to describe an electrochemical cell is a shorthand notation that uses symbols to identify different phases and that lists the composition of each phase. An electrochemical cell can be succinctly represented using cell notation, which outlines the redox reaction without the need for. Electrochemical Cell Notation Calculator.
From www.numerade.com
SOLVEDWrite the cell notation for an electrochemical cell consisting Electrochemical Cell Notation Calculator The nernst equation calculator applies the fundamental electrochemistry equation to find the reduction potential in a cell reaction. We use a vertical slash (|) to identify a boundary between two phases where a potential develops, and a comma (,) to separate species in the same phase or to identify a. A more useful way to describe an electrochemical cell is. Electrochemical Cell Notation Calculator.
From www.numerade.com
SOLVED Construct Nernst equation electrochemical cell potential Electrochemical Cell Notation Calculator In cell notation you start with the anode on the left, and write. Cell emf calculator helps you calculate the electromotive force of an electrochemical cell. A more useful way to describe an electrochemical cell is a shorthand notation that uses symbols to identify different phases and that lists the composition of each phase. We use a vertical slash (|). Electrochemical Cell Notation Calculator.